Heavy Alcohol Drinking Associated Akathisia and Management with Quetiapine XR in Alcohol Dependent Patients.

IF 0.1 3区 文学 0 LITERARY REVIEWS
CHICAGO REVIEW Pub Date : 2016-01-01 Epub Date: 2016-10-25 DOI:10.1155/2016/6028971
Zimple Kurlawala, Vatsalya Vatsalya
{"title":"Heavy Alcohol Drinking Associated Akathisia and Management with Quetiapine XR in Alcohol Dependent Patients.","authors":"Zimple Kurlawala, Vatsalya Vatsalya","doi":"10.1155/2016/6028971","DOIUrl":null,"url":null,"abstract":"<p><p>Heavy drinking contributes to involuntary body movements such as akathisia. Quetiapine has been shown to alleviate symptoms of akathisia; however, its efficacy in the alcohol dependent population is not well established. Thus, we aimed to identify efficacy of Quetiapine in treating akathisia in very heavy drinking alcohol dependent patients. 108 male and female heavy alcohol consuming study participants received 13 weeks of Quetiapine XR. Drinking history (Timeline Followback, TLFB), depression (Montgomery-Asberg Depression Rating Scale, MADRS), and movement (Barnes Akathisia Scale, BARS) measures were collected at baseline (0 W), week 6 (6 W), and week 12 (12 W). The role of drinking, symptoms of depression, and efficacy of Quetiapine for treating akathisia were assessed. In patients with no symptoms of depression (low MADRS), Quetiapine treatment decreased symptoms of akathisia. Patients with clinically significant depression (high MADRS) reported a significant increase in akathisia measures at 6 W which eventually decreased at 12 W to below baseline levels. The increase in akathisia at 6 W corresponded with a significant increase in the patients' total drinks and heavy drinking pattern. Treatment with Quetiapine progressively lowered the occurrence of akathisia in alcohol dependent patients who do not show symptoms of depression. Quetiapine treatment lowered akathisia over time in heavy drinkers who had clinically significant symptoms of depression.</p>","PeriodicalId":42508,"journal":{"name":"CHICAGO REVIEW","volume":"33 1","pages":"6028971"},"PeriodicalIF":0.1000,"publicationDate":"2016-01-01","publicationTypes":"Journal Article","fieldsOfStudy":null,"isOpenAccess":false,"openAccessPdf":"https://www.ncbi.nlm.nih.gov/pmc/articles/PMC5099459/pdf/","citationCount":"0","resultStr":null,"platform":"Semanticscholar","paperid":null,"PeriodicalName":"CHICAGO REVIEW","FirstCategoryId":"1085","ListUrlMain":"https://doi.org/10.1155/2016/6028971","RegionNum":3,"RegionCategory":"文学","ArticlePicture":[],"TitleCN":null,"AbstractTextCN":null,"PMCID":null,"EPubDate":"2016/10/25 0:00:00","PubModel":"Epub","JCR":"0","JCRName":"LITERARY REVIEWS","Score":null,"Total":0}
引用次数: 0

Abstract

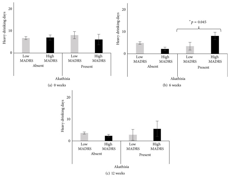
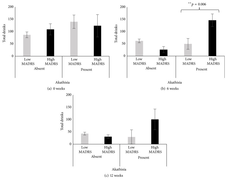
Heavy drinking contributes to involuntary body movements such as akathisia. Quetiapine has been shown to alleviate symptoms of akathisia; however, its efficacy in the alcohol dependent population is not well established. Thus, we aimed to identify efficacy of Quetiapine in treating akathisia in very heavy drinking alcohol dependent patients. 108 male and female heavy alcohol consuming study participants received 13 weeks of Quetiapine XR. Drinking history (Timeline Followback, TLFB), depression (Montgomery-Asberg Depression Rating Scale, MADRS), and movement (Barnes Akathisia Scale, BARS) measures were collected at baseline (0 W), week 6 (6 W), and week 12 (12 W). The role of drinking, symptoms of depression, and efficacy of Quetiapine for treating akathisia were assessed. In patients with no symptoms of depression (low MADRS), Quetiapine treatment decreased symptoms of akathisia. Patients with clinically significant depression (high MADRS) reported a significant increase in akathisia measures at 6 W which eventually decreased at 12 W to below baseline levels. The increase in akathisia at 6 W corresponded with a significant increase in the patients' total drinks and heavy drinking pattern. Treatment with Quetiapine progressively lowered the occurrence of akathisia in alcohol dependent patients who do not show symptoms of depression. Quetiapine treatment lowered akathisia over time in heavy drinkers who had clinically significant symptoms of depression.

Abstract Image

Abstract Image

酒精依赖症患者与大量饮酒相关的发作性肌痉挛以及喹硫平 XR 的治疗方法
大量饮酒会导致不自主的肢体运动,如 "无意识运动"。喹硫平已被证明可减轻无运动症状,但其对酒精依赖人群的疗效尚未得到充分证实。因此,我们旨在确定喹硫平治疗大量饮酒酒精依赖症患者的运动迟缓的疗效。108名男性和女性重度饮酒研究参与者接受了为期13周的喹硫平XR治疗。研究人员在基线(0 W)、第 6 周(6 W)和第 12 周(12 W)收集了饮酒史(时间线随访,TLFB)、抑郁(蒙哥马利-阿斯伯格抑郁量表,MADRS)和运动(巴恩斯运动障碍量表,BARS)测量数据。对饮酒的作用、抑郁症状以及喹硫平治疗无运动症状的疗效进行了评估。对于没有抑郁症状(MADRS评分较低)的患者,喹硫平治疗可减轻他们的自动症症状。临床症状明显的抑郁症患者(MADRS评分较高)在接受治疗6周后,其自动症症状显著增加,但在接受治疗12周后又降至基线水平以下。患者在 6 个月时出现的运动迟缓现象与患者的总饮酒量和大量饮酒模式的显著增加相对应。使用喹硫平治疗可逐步降低未出现抑郁症状的酒精依赖症患者的自动症发生率。喹硫平治疗可逐渐降低临床上有明显抑郁症状的大量饮酒者的自动症发生率。
本文章由计算机程序翻译,如有差异,请以英文原文为准。
求助全文
约1分钟内获得全文 求助全文
来源期刊
CHICAGO REVIEW
CHICAGO REVIEW LITERARY REVIEWS-
自引率
0.00%
发文量
0
期刊介绍: In the back issues room down the hall from Chicago Review’s offices on the third floor of Lillie House sit hundreds of unread magazines, yearning to see the light of day. These historic issues from the Chicago Review archives may now be ordered online with a credit card (via CCNow). Some of them are groundbreaking anthologies, others outstanding general issues.
×
引用
GB/T 7714-2015
复制
MLA
复制
APA
复制
导出至
BibTeX EndNote RefMan NoteFirst NoteExpress
×
提示
您的信息不完整,为了账户安全,请先补充。
现在去补充
×
提示
您因"违规操作"
具体请查看互助需知
我知道了
×
提示
确定
请完成安全验证×
copy
已复制链接
快去分享给好友吧!
我知道了
右上角分享
点击右上角分享
0
联系我们:info@booksci.cn Book学术提供免费学术资源搜索服务,方便国内外学者检索中英文文献。致力于提供最便捷和优质的服务体验。 Copyright © 2023 布克学术 All rights reserved.
京ICP备2023020795号-1
ghs 京公网安备 11010802042870号
Book学术文献互助
Book学术文献互助群
群 号:604180095
Book学术官方微信