Significant reduction of humoral response to SARS-CoV-2 4 months after the diagnosis of COVID-19.

Q4 Agricultural and Biological Sciences
Kang Zhang, Zhen-Guo Ma, Lei Yang, Wei Kang, Yun Yin, Johnson Yiu-Nam Lau
{"title":"Significant reduction of humoral response to SARS-CoV-2 4 months after the diagnosis of COVID-19.","authors":"Kang Zhang, Zhen-Guo Ma, Lei Yang, Wei Kang, Yun Yin, Johnson Yiu-Nam Lau","doi":"10.1093/pcmedi/pbaa036","DOIUrl":null,"url":null,"abstract":"<p><p>A commentary on \"Humoral immune response to SARS-CoV-2 in Iceland\".</p>","PeriodicalId":34978,"journal":{"name":"International Journal of Agricultural Resources, Governance and Ecology","volume":"1 1","pages":"73-76"},"PeriodicalIF":0.0000,"publicationDate":"2020-11-10","publicationTypes":"Journal Article","fieldsOfStudy":null,"isOpenAccess":false,"openAccessPdf":"https://www.ncbi.nlm.nih.gov/pmc/articles/PMC7717369/pdf/","citationCount":"0","resultStr":null,"platform":"Semanticscholar","paperid":null,"PeriodicalName":"International Journal of Agricultural Resources, Governance and Ecology","FirstCategoryId":"3","ListUrlMain":"https://doi.org/10.1093/pcmedi/pbaa036","RegionNum":0,"RegionCategory":null,"ArticlePicture":[],"TitleCN":null,"AbstractTextCN":null,"PMCID":null,"EPubDate":"2021/3/1 0:00:00","PubModel":"eCollection","JCR":"Q4","JCRName":"Agricultural and Biological Sciences","Score":null,"Total":0}
引用次数: 0

Abstract

A commentary on "Humoral immune response to SARS-CoV-2 in Iceland".

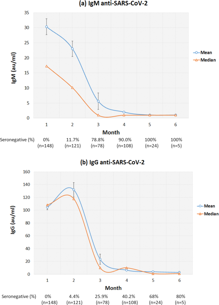
Abstract Image

COVID-19 诊断 4 个月后,对 SARS-CoV-2 的体液反应明显降低。
关于 "冰岛对 SARS-CoV-2 的体液免疫反应 "的评论。
本文章由计算机程序翻译,如有差异,请以英文原文为准。
求助全文
约1分钟内获得全文 求助全文
来源期刊
International Journal of Agricultural Resources, Governance and Ecology
International Journal of Agricultural Resources, Governance and Ecology Agricultural and Biological Sciences-Agronomy and Crop Science
CiteScore
0.90
自引率
0.00%
发文量
23
期刊介绍: IJARGE proposes and fosters discussion on the evolution and governance of agricultural resources, with emphasis on the implications that policy choices have on both the welfare of humans and the ecology of the planet. This perspective acknowledges the complexity of the agricultural sector as an interface between ecological and socio-economic processes operating in parallel over different space-time scales, as well as the reflexive characteristic of human systems.
×
引用
GB/T 7714-2015
复制
MLA
复制
APA
复制
导出至
BibTeX EndNote RefMan NoteFirst NoteExpress
×
提示
您的信息不完整,为了账户安全,请先补充。
现在去补充
×
提示
您因"违规操作"
具体请查看互助需知
我知道了
×
提示
确定
请完成安全验证×
copy
已复制链接
快去分享给好友吧!
我知道了
右上角分享
点击右上角分享
0
联系我们:info@booksci.cn Book学术提供免费学术资源搜索服务,方便国内外学者检索中英文文献。致力于提供最便捷和优质的服务体验。 Copyright © 2023 布克学术 All rights reserved.
京ICP备2023020795号-1
ghs 京公网安备 11010802042870号
Book学术文献互助
Book学术文献互助群
群 号:604180095
Book学术官方微信