Impact of additional green light and deficit in cryptochrome 1 on photosynthetic activity and pro-/antioxidant balance in Arabidopsis thaliana.

IF 1.6 4区 生物学 Q2 PLANT SCIENCES
Photosynthetica Pub Date : 2023-03-24 eCollection Date: 2023-01-01 DOI:10.32615/ps.2023.009
V Kreslavski, A Khudyakova, A Kosobryukhov, P Pashkovskiy, M Vereshchagin, T Balakhnina, H F Alharby, S I Allakhverdiev
{"title":"Impact of additional green light and deficit in cryptochrome 1 on photosynthetic activity and pro-/antioxidant balance in <i>Arabidopsis thaliana</i>.","authors":"V Kreslavski, A Khudyakova, A Kosobryukhov, P Pashkovskiy, M Vereshchagin, T Balakhnina, H F Alharby, S I Allakhverdiev","doi":"10.32615/ps.2023.009","DOIUrl":null,"url":null,"abstract":"<p><p>The light spectral composition acting through a set of photoreceptors, such as cryptochromes and phytochromes, plays an important role in maintaining sustainable photosynthesis. An impact of cryptochrome 1 deficiency and additions of green light (GL) against the background of red (RL) and blue (BL) (different ratios of RL:BL:GL) on the activity of the photosynthetic apparatus, the content of photosynthetic pigments, pro-/antioxidant balance, and expression of some genes in the leaves of 23-d-old <i>Arabidopsis thaliana hy4</i> mutant plants was studied. The deficiency of cryptochrome 1 at RL/BL ratio of 4:1 led to a decrease in the rate of photosynthesis, photosystem II activity, and activity of ascorbate peroxidase and total peroxidase but to an increase in the content of products reacting with thiobarbituric acid. However, in the presence of additional GL, this difference for photosynthetic parameters either decreased or was absent, likely due to a GL-induced decrease in the content of active cryptochrome.</p>","PeriodicalId":20157,"journal":{"name":"Photosynthetica","volume":"42 1","pages":"215-224"},"PeriodicalIF":1.6000,"publicationDate":"2023-03-24","publicationTypes":"Journal Article","fieldsOfStudy":null,"isOpenAccess":false,"openAccessPdf":"https://www.ncbi.nlm.nih.gov/pmc/articles/PMC11515821/pdf/","citationCount":"0","resultStr":null,"platform":"Semanticscholar","paperid":null,"PeriodicalName":"Photosynthetica","FirstCategoryId":"99","ListUrlMain":"https://doi.org/10.32615/ps.2023.009","RegionNum":4,"RegionCategory":"生物学","ArticlePicture":[],"TitleCN":null,"AbstractTextCN":null,"PMCID":null,"EPubDate":"2023/1/1 0:00:00","PubModel":"eCollection","JCR":"Q2","JCRName":"PLANT SCIENCES","Score":null,"Total":0}
引用次数: 0

Abstract

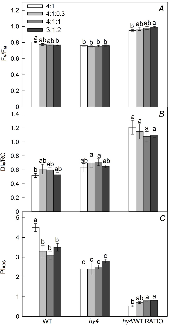
The light spectral composition acting through a set of photoreceptors, such as cryptochromes and phytochromes, plays an important role in maintaining sustainable photosynthesis. An impact of cryptochrome 1 deficiency and additions of green light (GL) against the background of red (RL) and blue (BL) (different ratios of RL:BL:GL) on the activity of the photosynthetic apparatus, the content of photosynthetic pigments, pro-/antioxidant balance, and expression of some genes in the leaves of 23-d-old Arabidopsis thaliana hy4 mutant plants was studied. The deficiency of cryptochrome 1 at RL/BL ratio of 4:1 led to a decrease in the rate of photosynthesis, photosystem II activity, and activity of ascorbate peroxidase and total peroxidase but to an increase in the content of products reacting with thiobarbituric acid. However, in the presence of additional GL, this difference for photosynthetic parameters either decreased or was absent, likely due to a GL-induced decrease in the content of active cryptochrome.

Abstract Image

Abstract Image

Abstract Image

额外绿光和隐色素1缺失对拟南芥光合活性和促抗氧化平衡的影响
通过一组光感受器(如隐色素和光敏色素)作用的光谱成分在维持可持续光合作用中起重要作用。以23 d龄拟南芥为材料,研究了隐色素1缺乏和添加绿光(GL)对红蓝(RL:BL:GL)突变体叶片光合器官活性、光合色素含量、促抗平衡及部分基因表达的影响。在RL/BL为4:1时,隐色素1缺乏导致光合速率、光系统II活性、抗坏血酸过氧化物酶和总过氧化物酶活性降低,但与硫代巴比托酸反应的产物含量增加。然而,当存在额外的GL时,这种光合参数的差异减小或不存在,可能是由于GL诱导活性隐花色素含量的减少。
本文章由计算机程序翻译,如有差异,请以英文原文为准。
求助全文
约1分钟内获得全文 求助全文
来源期刊
Photosynthetica
Photosynthetica 生物-植物科学
CiteScore
5.60
自引率
7.40%
发文量
55
审稿时长
3.8 months
期刊介绍: Photosynthetica publishes original scientific papers and brief communications, reviews on specialized topics, book reviews and announcements and reports covering wide range of photosynthesis research or research including photosynthetic parameters of both experimental and theoretical nature and dealing with physiology, biophysics, biochemistry, molecular biology on one side and leaf optics, stress physiology and ecology of photosynthesis on the other side. The language of journal is English (British or American). Papers should not be published or under consideration for publication elsewhere.
×
引用
GB/T 7714-2015
复制
MLA
复制
APA
复制
导出至
BibTeX EndNote RefMan NoteFirst NoteExpress
×
提示
您的信息不完整,为了账户安全,请先补充。
现在去补充
×
提示
您因"违规操作"
具体请查看互助需知
我知道了
×
提示
确定
请完成安全验证×
copy
已复制链接
快去分享给好友吧!
我知道了
右上角分享
点击右上角分享
0
联系我们:info@booksci.cn Book学术提供免费学术资源搜索服务,方便国内外学者检索中英文文献。致力于提供最便捷和优质的服务体验。 Copyright © 2023 布克学术 All rights reserved.
京ICP备2023020795号-1
ghs 京公网安备 11010802042870号
Book学术文献互助
Book学术文献互助群
群 号:604180095
Book学术官方微信