Socioeconomic status and entrepreneurial networking responses to the COVID-19 crisis.

British Heart Journal Pub Date : 2023-01-01 Epub Date: 2022-11-22 DOI:10.1007/s11573-022-01120-w
Leif Brändle, Helen Signer, Andreas Kuckertz
{"title":"Socioeconomic status and entrepreneurial networking responses to the COVID-19 crisis.","authors":"Leif Brändle, Helen Signer, Andreas Kuckertz","doi":"10.1007/s11573-022-01120-w","DOIUrl":null,"url":null,"abstract":"<p><p>Networks play a vital role for entrepreneurs in overcoming crises. The most vulnerable to crises are those from lower socioeconomic backgrounds. However, we know less about the role of socioeconomic status in entrepreneurial networking. This study investigates whom entrepreneurs call in case of emergency. We develop hypotheses on how entrepreneurs' socioeconomic status influences models of networking agency in situations of economic threat. The results of a pre-registered randomized experiment in the COVID-19 context conducted with 122 entrepreneurs from the US indicate that entrepreneurs in higher socioeconomic status positions activate contacts to serve their own goals (i.e., independent networking agency) when facing an economic threat. In contrast, and counter-intuitively, entrepreneurs of lower socioeconomic status are more likely to support others when facing an economic threat (i.e., interdependent networking agency). Exploring the evolving network structure, our explorative post-hoc analyses suggest that entrepreneurs activate closer networks (i.e., higher density and stronger ties) under threat. The study discusses the implications of these findings for the theory of entrepreneurial networking in general and network responses to crises in particular.</p>","PeriodicalId":9311,"journal":{"name":"British Heart Journal","volume":"97 1","pages":"111-147"},"PeriodicalIF":0.0000,"publicationDate":"2023-01-01","publicationTypes":"Journal Article","fieldsOfStudy":null,"isOpenAccess":false,"openAccessPdf":"https://www.ncbi.nlm.nih.gov/pmc/articles/PMC9684885/pdf/","citationCount":"0","resultStr":null,"platform":"Semanticscholar","paperid":null,"PeriodicalName":"British Heart Journal","FirstCategoryId":"1085","ListUrlMain":"https://doi.org/10.1007/s11573-022-01120-w","RegionNum":0,"RegionCategory":null,"ArticlePicture":[],"TitleCN":null,"AbstractTextCN":null,"PMCID":null,"EPubDate":"2022/11/22 0:00:00","PubModel":"Epub","JCR":"","JCRName":"","Score":null,"Total":0}
引用次数: 0

Abstract

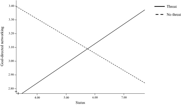
Networks play a vital role for entrepreneurs in overcoming crises. The most vulnerable to crises are those from lower socioeconomic backgrounds. However, we know less about the role of socioeconomic status in entrepreneurial networking. This study investigates whom entrepreneurs call in case of emergency. We develop hypotheses on how entrepreneurs' socioeconomic status influences models of networking agency in situations of economic threat. The results of a pre-registered randomized experiment in the COVID-19 context conducted with 122 entrepreneurs from the US indicate that entrepreneurs in higher socioeconomic status positions activate contacts to serve their own goals (i.e., independent networking agency) when facing an economic threat. In contrast, and counter-intuitively, entrepreneurs of lower socioeconomic status are more likely to support others when facing an economic threat (i.e., interdependent networking agency). Exploring the evolving network structure, our explorative post-hoc analyses suggest that entrepreneurs activate closer networks (i.e., higher density and stronger ties) under threat. The study discusses the implications of these findings for the theory of entrepreneurial networking in general and network responses to crises in particular.

Abstract Image

Abstract Image

Abstract Image

社会经济地位和企业网络应对COVID-19危机
网络在企业家克服危机方面发挥着至关重要的作用。最容易受到危机影响的是那些社会经济背景较低的人。然而,我们对社会经济地位在创业网络中的作用知之甚少。这项研究调查了企业家在紧急情况下打电话给谁。我们提出了在经济威胁情况下企业家的社会经济地位如何影响网络代理模型的假设。在新冠肺炎背景下,对122名美国企业家进行的预登记随机实验结果表明,在面临经济威胁时,社会经济地位较高的企业家会激活联系人,以实现自己的目标(即独立的网络机构)。相反,与直觉相反,社会经济地位较低的企业家在面临经济威胁(即相互依赖的网络机构)时更有可能支持他人。探索不断演变的网络结构,我们的探索性事后分析表明,企业家在威胁下激活更紧密的网络(即更高的密度和更强的联系)。本研究讨论了这些发现对创业网络理论的影响,特别是对危机的网络反应。
本文章由计算机程序翻译,如有差异,请以英文原文为准。
求助全文
约1分钟内获得全文 求助全文
来源期刊
自引率
0.00%
发文量
0
×
引用
GB/T 7714-2015
复制
MLA
复制
APA
复制
导出至
BibTeX EndNote RefMan NoteFirst NoteExpress
×
提示
您的信息不完整,为了账户安全,请先补充。
现在去补充
×
提示
您因"违规操作"
具体请查看互助需知
我知道了
×
提示
确定
请完成安全验证×
copy
已复制链接
快去分享给好友吧!
我知道了
右上角分享
点击右上角分享
0
联系我们:info@booksci.cn Book学术提供免费学术资源搜索服务,方便国内外学者检索中英文文献。致力于提供最便捷和优质的服务体验。 Copyright © 2023 布克学术 All rights reserved.
京ICP备2023020795号-1
ghs 京公网安备 11010802042870号
Book学术文献互助
Book学术文献互助群
群 号:604180095
Book学术官方微信
小红书