A Diffusion Model Analysis of Object-Based Selective Attention in the Eriksen Flanker Task.

IF 1.3 4区 心理学 Q4 PSYCHOLOGY, EXPERIMENTAL
Paul Kelber, Martina Gierlich, Jonathan Göth, Martin Georg Jeschke, Ian Grant Mackenzie, Victor Mittelstädt
{"title":"A Diffusion Model Analysis of Object-Based Selective Attention in the Eriksen Flanker Task.","authors":"Paul Kelber, Martina Gierlich, Jonathan Göth, Martin Georg Jeschke, Ian Grant Mackenzie, Victor Mittelstädt","doi":"10.1027/1618-3169/a000588","DOIUrl":null,"url":null,"abstract":"<p><p><b></b> Selective attention might be space-, feature-, and/or object-based. Clear support for the involvement of an object-based mechanism is rather scarce, possibly because the predictions of models from these different classes often overlap. Yet, only object-based models can account for a larger congruency effect (CE) in the Eriksen flanker task when flankers are more (vs. less) strongly grouped to the target, but spacing and other response-irrelevant features of target and flankers are held constant. Exactly this was observed by Kramer and Jacobson (1991). So far, this theoretically relevant finding has not been replicated closely. We replicated the finding in two web-based experiments. Specifically, CEs were larger when flanker lines were connected to the central target line (vs. to outer neutral lines). We also successfully fitted the Diffusion Model for Conflict tasks (DMC) to the experimental data. Critically, diffusion modeling (DMC) and distributional analyses (delta functions) revealed that object membership primarily affected target processing strength rather than strength or timing of flanker processing. This challenges the prominent attentional spreading (sensory enhancement) account of object-based selective attention and motivates an alternative target attenuation account.</p>","PeriodicalId":12173,"journal":{"name":"Experimental psychology","volume":"70 3","pages":"155-170"},"PeriodicalIF":1.3000,"publicationDate":"2023-05-01","publicationTypes":"Journal Article","fieldsOfStudy":null,"isOpenAccess":false,"openAccessPdf":"https://www.ncbi.nlm.nih.gov/pmc/articles/PMC10642289/pdf/","citationCount":"0","resultStr":null,"platform":"Semanticscholar","paperid":null,"PeriodicalName":"Experimental psychology","FirstCategoryId":"102","ListUrlMain":"https://doi.org/10.1027/1618-3169/a000588","RegionNum":4,"RegionCategory":"心理学","ArticlePicture":[],"TitleCN":null,"AbstractTextCN":null,"PMCID":null,"EPubDate":"","PubModel":"","JCR":"Q4","JCRName":"PSYCHOLOGY, EXPERIMENTAL","Score":null,"Total":0}
引用次数: 0

Abstract

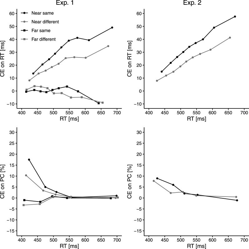
Selective attention might be space-, feature-, and/or object-based. Clear support for the involvement of an object-based mechanism is rather scarce, possibly because the predictions of models from these different classes often overlap. Yet, only object-based models can account for a larger congruency effect (CE) in the Eriksen flanker task when flankers are more (vs. less) strongly grouped to the target, but spacing and other response-irrelevant features of target and flankers are held constant. Exactly this was observed by Kramer and Jacobson (1991). So far, this theoretically relevant finding has not been replicated closely. We replicated the finding in two web-based experiments. Specifically, CEs were larger when flanker lines were connected to the central target line (vs. to outer neutral lines). We also successfully fitted the Diffusion Model for Conflict tasks (DMC) to the experimental data. Critically, diffusion modeling (DMC) and distributional analyses (delta functions) revealed that object membership primarily affected target processing strength rather than strength or timing of flanker processing. This challenges the prominent attentional spreading (sensory enhancement) account of object-based selective attention and motivates an alternative target attenuation account.

Abstract Image

Abstract Image

Abstract Image

Eriksen Flanker任务中基于对象的选择性注意的扩散模型分析。
选择性注意力可能是基于空间、特征和/或对象的。对基于对象的机制的参与的明确支持相当少,可能是因为来自这些不同类别的模型的预测经常重叠。然而,只有基于对象的模型才能在Eriksen侧卫任务中解释更大的一致性效应(CE),当侧卫与目标更紧密地分组时,但目标和侧卫的间距和其他与响应无关的特征保持不变。Kramer和Jacobson(1991)观察到了这一点。到目前为止,这一理论上相关的发现还没有得到密切的复制。我们在两个基于网络的实验中重复了这一发现。具体而言,当侧卫线连接到中心目标线(相对于外部中性线)时,CE更大。我们还成功地将冲突任务的扩散模型(DMC)与实验数据进行了拟合。至关重要的是,扩散建模(DMC)和分布分析(德尔塔函数)表明,对象隶属度主要影响目标处理强度,而不是侧卫处理的强度或时间。这挑战了基于对象的选择性注意的显著注意传播(感觉增强)解释,并激发了另一种目标衰减解释。
本文章由计算机程序翻译,如有差异,请以英文原文为准。
求助全文
约1分钟内获得全文 求助全文
来源期刊
Experimental psychology
Experimental psychology PSYCHOLOGY, EXPERIMENTAL-
CiteScore
2.00
自引率
7.70%
发文量
18
期刊介绍: As its name implies, Experimental Psychology (ISSN 1618-3169) publishes innovative, original, high-quality experimental research in psychology — quickly! It aims to provide a particularly fast outlet for such research, relying heavily on electronic exchange of information which begins with the electronic submission of manuscripts, and continues throughout the entire review and production process. The scope of the journal is defined by the experimental method, and so papers based on experiments from all areas of psychology are published. In addition to research articles, Experimental Psychology includes occasional theoretical and review articles.
×
引用
GB/T 7714-2015
复制
MLA
复制
APA
复制
导出至
BibTeX EndNote RefMan NoteFirst NoteExpress
×
提示
您的信息不完整,为了账户安全,请先补充。
现在去补充
×
提示
您因"违规操作"
具体请查看互助需知
我知道了
×
提示
确定
请完成安全验证×
copy
已复制链接
快去分享给好友吧!
我知道了
右上角分享
点击右上角分享
0
联系我们:info@booksci.cn Book学术提供免费学术资源搜索服务,方便国内外学者检索中英文文献。致力于提供最便捷和优质的服务体验。 Copyright © 2023 布克学术 All rights reserved.
京ICP备2023020795号-1
ghs 京公网安备 11010802042870号
Book学术文献互助
Book学术文献互助群
群 号:604180095
Book学术官方微信