Visual Profile of Children who Passed or Failed the UK School Vision Screening Protocol.

Q3 Medicine
Sara McCullough, Kathryn Saunders
{"title":"Visual Profile of Children who Passed or Failed the UK School Vision Screening Protocol.","authors":"Sara McCullough,&nbsp;Kathryn Saunders","doi":"10.22599/bioj.121","DOIUrl":null,"url":null,"abstract":"<p><strong>Background: </strong>We applied the National Screening Committee vision screening protocol [pass criterion monocular acuity ≤ 0.2 LogMAR in both eyes(BE)] to children four to five years old to investigate the visual profile of children who passed/failed. Previous studies have only evaluated those failing. The aim was to derive false positive and negative values, specificity/sensitivity of the vision screening protocol for detecting significant visual defects (strabismus and/or significant refractive error) and the utility of a 'plus blur test' in identifying hyperopia.</p><p><strong>Methods: </strong>Participants included 294 children (5.2 ± 0.4 yrs). In addition to the vision screening protocol (monocular acuity-3 m crowded Keeler LogMAR letters), acuities were recorded through +2.50D and +4.00D lenses and ocular alignment and cycloplegic refractive error were assessed. Using acuity measures, participants were classed as passing/failing the screening protocol. Each participant was also classed as having a strabismus and/or significant refractive error (hyperopia ≥ +4.00DS; myopia ≤ -0.50DS; astigmatism ≤ -1.50DC; anisometropia ≥ +1.50DS) or no significant visual defects.</p><p><strong>Results: </strong>Of the 284 children who completed all tests, 27.8% failed to achieve 0.2 LogMAR in BE. The acuity pass/fail criterion had a sensitivity of 70.4% and specificity of 82.2% for detecting strabismus and/or significant refractive error. Of those who failed, 51.9% (n = 41/79) had no strabismus and/or significant refractive error (false positives). Of those who passed, 7.8% (n = 16/205) had visual defects (false negatives). The 'plus blur tests' improved sensitivity in detecting significant refractive error (+2.50D & +4.00D 90.7%) but significantly reduced specificity (+2.50D = 65.2%; +4.00D = 60.9%).</p><p><strong>Conclusions: </strong>School-entry vision screening is reasonably sensitive and specific for detecting strabismus and/or significant refractive error. Most children with visions poorer than 0.2 LogMAR need refractive intervention, and the majority of the remainder are likely false positives for significant visual defects. One in 13 children who pass have either strabismus and/or significant refractive error (7.8%). The inclusion of a 'plus blur test' was not a useful addition to the vision screening protocol.</p>","PeriodicalId":36083,"journal":{"name":"British and Irish Orthoptic Journal","volume":"15 1","pages":"36-46"},"PeriodicalIF":0.0000,"publicationDate":"2019-03-26","publicationTypes":"Journal Article","fieldsOfStudy":null,"isOpenAccess":false,"openAccessPdf":"https://www.ncbi.nlm.nih.gov/pmc/articles/PMC7510406/pdf/","citationCount":"3","resultStr":null,"platform":"Semanticscholar","paperid":null,"PeriodicalName":"British and Irish Orthoptic Journal","FirstCategoryId":"1085","ListUrlMain":"https://doi.org/10.22599/bioj.121","RegionNum":0,"RegionCategory":null,"ArticlePicture":[],"TitleCN":null,"AbstractTextCN":null,"PMCID":null,"EPubDate":"","PubModel":"","JCR":"Q3","JCRName":"Medicine","Score":null,"Total":0}
引用次数: 3

Abstract

Background: We applied the National Screening Committee vision screening protocol [pass criterion monocular acuity ≤ 0.2 LogMAR in both eyes(BE)] to children four to five years old to investigate the visual profile of children who passed/failed. Previous studies have only evaluated those failing. The aim was to derive false positive and negative values, specificity/sensitivity of the vision screening protocol for detecting significant visual defects (strabismus and/or significant refractive error) and the utility of a 'plus blur test' in identifying hyperopia.

Methods: Participants included 294 children (5.2 ± 0.4 yrs). In addition to the vision screening protocol (monocular acuity-3 m crowded Keeler LogMAR letters), acuities were recorded through +2.50D and +4.00D lenses and ocular alignment and cycloplegic refractive error were assessed. Using acuity measures, participants were classed as passing/failing the screening protocol. Each participant was also classed as having a strabismus and/or significant refractive error (hyperopia ≥ +4.00DS; myopia ≤ -0.50DS; astigmatism ≤ -1.50DC; anisometropia ≥ +1.50DS) or no significant visual defects.

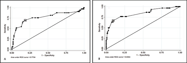
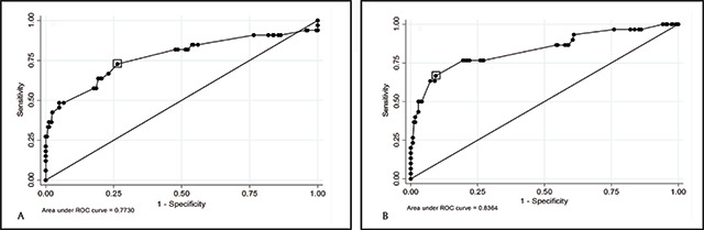
Results: Of the 284 children who completed all tests, 27.8% failed to achieve 0.2 LogMAR in BE. The acuity pass/fail criterion had a sensitivity of 70.4% and specificity of 82.2% for detecting strabismus and/or significant refractive error. Of those who failed, 51.9% (n = 41/79) had no strabismus and/or significant refractive error (false positives). Of those who passed, 7.8% (n = 16/205) had visual defects (false negatives). The 'plus blur tests' improved sensitivity in detecting significant refractive error (+2.50D & +4.00D 90.7%) but significantly reduced specificity (+2.50D = 65.2%; +4.00D = 60.9%).

Conclusions: School-entry vision screening is reasonably sensitive and specific for detecting strabismus and/or significant refractive error. Most children with visions poorer than 0.2 LogMAR need refractive intervention, and the majority of the remainder are likely false positives for significant visual defects. One in 13 children who pass have either strabismus and/or significant refractive error (7.8%). The inclusion of a 'plus blur test' was not a useful addition to the vision screening protocol.

Abstract Image

Abstract Image

Abstract Image

通过或未通过英国学校视力筛查协议的儿童的视觉概况。
背景:我们采用国家筛查委员会视力筛查方案[通过标准单眼视力≤0.2 LogMAR双眼(BE)]对4 ~ 5岁儿童进行视力筛查,调查通过/不通过儿童的视力情况。以前的研究只评估了那些失败的人。目的是得出假阳性和阴性值,检测严重视觉缺陷(斜视和/或严重屈光不正)的视力筛查方案的特异性/敏感性,以及识别远视的“+模糊测试”的实用性。方法:纳入294例儿童(5.2±0.4岁)。除了视力筛查方案(单眼视力-3米拥挤的Keeler LogMAR字母)外,通过+2.50D和+4.00D晶状体记录视力,并评估眼部对准和睫状体麻痹性屈光不正。使用敏锐度测量,参与者被划分为通过/不通过筛选方案。每位参与者还被归类为斜视和/或明显屈光不正(远视≥+4.00DS;近视≤-0.50DS;散光≤-1.50DC;屈光参差≥+1.50DS)或无明显视力缺陷。结果:在284名完成所有测试的儿童中,27.8%的儿童在BE考试中未能达到0.2 LogMAR。检测斜视和/或明显屈光不正的灵敏度为70.4%,特异度为82.2%。在失败的患者中,51.9% (n = 41/79)没有斜视和/或明显屈光不正(假阳性)。在那些通过的人中,7.8% (n = 16/205)有视觉缺陷(假阴性)。“+模糊试验”提高了检测明显屈光不正的灵敏度(+2.50D和+4.00D 90.7%),但显著降低了特异性(+2.50D = 65.2%;+ 4.00d = 60.9%)。结论:入学视力筛查对发现斜视和/或明显屈光不正具有相当的敏感性和特异性。大多数视力低于0.2 LogMAR的儿童需要屈光干预,其余大多数可能是严重视力缺陷的假阳性。每13个通过考试的儿童中就有一个患有斜视和/或严重屈光不正(7.8%)。在视力筛查方案中加入“加模糊测试”并不是一个有用的补充。
本文章由计算机程序翻译,如有差异,请以英文原文为准。
求助全文
约1分钟内获得全文 求助全文
来源期刊
British and Irish Orthoptic Journal
British and Irish Orthoptic Journal Health Professions-Optometry
CiteScore
1.50
自引率
0.00%
发文量
13
审稿时长
18 weeks
×
引用
GB/T 7714-2015
复制
MLA
复制
APA
复制
导出至
BibTeX EndNote RefMan NoteFirst NoteExpress
×
提示
您的信息不完整,为了账户安全,请先补充。
现在去补充
×
提示
您因"违规操作"
具体请查看互助需知
我知道了
×
提示
确定
请完成安全验证×
copy
已复制链接
快去分享给好友吧!
我知道了
右上角分享
点击右上角分享
0
联系我们:info@booksci.cn Book学术提供免费学术资源搜索服务,方便国内外学者检索中英文文献。致力于提供最便捷和优质的服务体验。 Copyright © 2023 布克学术 All rights reserved.
京ICP备2023020795号-1
ghs 京公网安备 11010802042870号
Book学术文献互助
Book学术文献互助群
群 号:604180095
Book学术官方微信