Double positivity for anti-dsDNA and anti-Sm antibodies represents higher disease activity in systemic lupus erythematosus.

IF 4.1 2区 医学 Q2 RHEUMATOLOGY
Therapeutic Advances in Musculoskeletal Disease Pub Date : 2025-10-06 eCollection Date: 2025-01-01 DOI:10.1177/1759720X251379588
Lin Zhang, Lei Zhang, Shanshan Chen, Zhichun Liu, Leixi Xue
{"title":"Double positivity for anti-dsDNA and anti-Sm antibodies represents higher disease activity in systemic lupus erythematosus.","authors":"Lin Zhang, Lei Zhang, Shanshan Chen, Zhichun Liu, Leixi Xue","doi":"10.1177/1759720X251379588","DOIUrl":null,"url":null,"abstract":"<p><strong>Background: </strong>Several studies have shown that anti-dsDNA and anti-Sm antibodies not only contribute to the classification of systemic lupus erythematosus (SLE) but also strongly correlate with disease activity. However, the relationship between double positivity for anti-dsDNA and anti-Sm antibodies and disease activity remains unclear.</p><p><strong>Objectives: </strong>This study aimed to assess the clinical significance of double positivity for anti-dsDNA and anti-Sm antibodies in SLE.</p><p><strong>Design: </strong>A single-center retrospective study was conducted, consecutively enrolled hospitalized patients with SLE who underwent anti-dsDNA and anti-Sm antibody testing between June 2009 and December 2022.</p><p><strong>Methods: </strong>In this study, clinical data were collected from the electronic medical records of all study participants. SLE Disease Activity Index 2000 (SLEDAI 2000) scores were calculated; SLEDAI 2000 scores excluding anti-dsDNA scores were defined as modified SLEDAI 2000 (mSLEDAI 2000) scores. Severe disease activity was defined as a SLEDAI 2000 score of >12.</p><p><strong>Results: </strong>The study included 408 patients with SLE; of them, 95 were double-positive for anti-dsDNA and anti-Sm antibodies, 193 were single-positive for anti-dsDNA or anti-Sm antibodies, and 120 were double-negative. The double-positive group showed more clinical manifestations, lower C3 and C4 levels, and higher SLEDAI 2000 and mSLEDAI 2000 scores compared to the double-negative and single-positive groups. During follow-up, double-positive patients, whether converted to single-positive or double-negative, showed a significant decrease in SLEDAI 2000 and mSLEDAI 2000 scores, but the improvement in SLEDAI 2000 scores was not significant in patients with persistent double positivity. In recognizing severe disease activity, double positivity had the highest specificity, positive predictive value, positive likelihood ratio, and highest Youden index, albeit with the lowest sensitivity, compared to anti-dsDNA positivity, anti-Sm positivity, and positivity for anti-dsDNA and/or anti-Sm antibodies. Furthermore, a higher proportion of patients with double positivity were treated with high-dose or shock-dose glucocorticoids.</p><p><strong>Conclusion: </strong>Double positivity for anti-dsDNA and anti-Sm antibodies suggests higher disease activity in patients with SLE who may require more intense immunosuppressive therapy.</p>","PeriodicalId":23056,"journal":{"name":"Therapeutic Advances in Musculoskeletal Disease","volume":"17 ","pages":"1759720X251379588"},"PeriodicalIF":4.1000,"publicationDate":"2025-10-06","publicationTypes":"Journal Article","fieldsOfStudy":null,"isOpenAccess":false,"openAccessPdf":"https://www.ncbi.nlm.nih.gov/pmc/articles/PMC12501451/pdf/","citationCount":"0","resultStr":null,"platform":"Semanticscholar","paperid":null,"PeriodicalName":"Therapeutic Advances in Musculoskeletal Disease","FirstCategoryId":"3","ListUrlMain":"https://doi.org/10.1177/1759720X251379588","RegionNum":2,"RegionCategory":"医学","ArticlePicture":[],"TitleCN":null,"AbstractTextCN":null,"PMCID":null,"EPubDate":"2025/1/1 0:00:00","PubModel":"eCollection","JCR":"Q2","JCRName":"RHEUMATOLOGY","Score":null,"Total":0}
引用次数: 0

Abstract

Background: Several studies have shown that anti-dsDNA and anti-Sm antibodies not only contribute to the classification of systemic lupus erythematosus (SLE) but also strongly correlate with disease activity. However, the relationship between double positivity for anti-dsDNA and anti-Sm antibodies and disease activity remains unclear.

Objectives: This study aimed to assess the clinical significance of double positivity for anti-dsDNA and anti-Sm antibodies in SLE.

Design: A single-center retrospective study was conducted, consecutively enrolled hospitalized patients with SLE who underwent anti-dsDNA and anti-Sm antibody testing between June 2009 and December 2022.

Methods: In this study, clinical data were collected from the electronic medical records of all study participants. SLE Disease Activity Index 2000 (SLEDAI 2000) scores were calculated; SLEDAI 2000 scores excluding anti-dsDNA scores were defined as modified SLEDAI 2000 (mSLEDAI 2000) scores. Severe disease activity was defined as a SLEDAI 2000 score of >12.

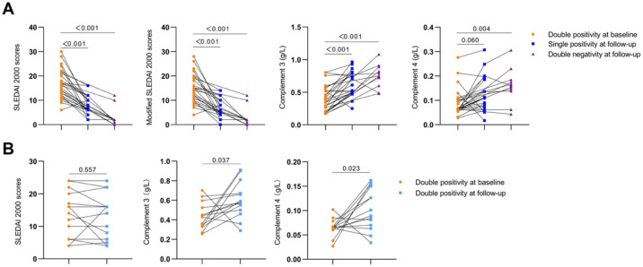
Results: The study included 408 patients with SLE; of them, 95 were double-positive for anti-dsDNA and anti-Sm antibodies, 193 were single-positive for anti-dsDNA or anti-Sm antibodies, and 120 were double-negative. The double-positive group showed more clinical manifestations, lower C3 and C4 levels, and higher SLEDAI 2000 and mSLEDAI 2000 scores compared to the double-negative and single-positive groups. During follow-up, double-positive patients, whether converted to single-positive or double-negative, showed a significant decrease in SLEDAI 2000 and mSLEDAI 2000 scores, but the improvement in SLEDAI 2000 scores was not significant in patients with persistent double positivity. In recognizing severe disease activity, double positivity had the highest specificity, positive predictive value, positive likelihood ratio, and highest Youden index, albeit with the lowest sensitivity, compared to anti-dsDNA positivity, anti-Sm positivity, and positivity for anti-dsDNA and/or anti-Sm antibodies. Furthermore, a higher proportion of patients with double positivity were treated with high-dose or shock-dose glucocorticoids.

Conclusion: Double positivity for anti-dsDNA and anti-Sm antibodies suggests higher disease activity in patients with SLE who may require more intense immunosuppressive therapy.

Abstract Image

Abstract Image

Abstract Image

抗dsdna和抗sm抗体双阳性表明系统性红斑狼疮的疾病活动性较高。
背景:一些研究表明,抗dsdna和抗sm抗体不仅有助于系统性红斑狼疮(SLE)的分类,而且与疾病活动密切相关。然而,抗dsdna和抗sm抗体双阳性与疾病活性之间的关系尚不清楚。目的:探讨抗dsdna和抗sm抗体双阳性在SLE患者中的临床意义。设计:采用单中心回顾性研究,连续纳入2009年6月至2022年12月期间接受抗dsdna和抗sm抗体检测的SLE住院患者。方法:本研究从所有研究参与者的电子病历中收集临床资料。计算SLE疾病活动指数2000 (SLEDAI 2000)评分;SLEDAI 2000评分剔除抗dsdna评分后定义为修正SLEDAI 2000 (mSLEDAI 2000)评分。严重疾病活动度定义为SLEDAI 2000评分为bbbb12。结果:本研究纳入408例SLE患者;其中抗dsdna和抗sm抗体双阳性95例,抗dsdna或抗sm抗体单阳性193例,双阴性120例。与双阴性和单阳性组相比,双阳性组临床表现更多,C3和C4水平更低,SLEDAI 2000和mSLEDAI 2000评分更高。在随访期间,双阳性患者,无论是转化为单阳性还是双阴性,SLEDAI 2000和mSLEDAI 2000评分均显著下降,但持续双阳性患者的SLEDAI 2000评分改善不显著。与抗dsdna阳性、抗sm阳性以及抗dsdna和/或抗sm抗体阳性相比,在识别严重疾病活动性方面,双重阳性具有最高的特异性、阳性预测值、阳性似然比和最高的约登指数,尽管敏感性最低。此外,高剂量或冲击剂量糖皮质激素治疗双阳性患者的比例更高。结论:抗dsdna和抗sm抗体双重阳性提示SLE患者疾病活动性较高,可能需要更强的免疫抑制治疗。
本文章由计算机程序翻译,如有差异,请以英文原文为准。
求助全文
约1分钟内获得全文 求助全文
来源期刊
CiteScore
6.80
自引率
4.80%
发文量
132
审稿时长
18 weeks
期刊介绍: Therapeutic Advances in Musculoskeletal Disease delivers the highest quality peer-reviewed articles, reviews, and scholarly comment on pioneering efforts and innovative studies across all areas of musculoskeletal disease.
×
引用
GB/T 7714-2015
复制
MLA
复制
APA
复制
导出至
BibTeX EndNote RefMan NoteFirst NoteExpress
×
提示
您的信息不完整,为了账户安全,请先补充。
现在去补充
×
提示
您因"违规操作"
具体请查看互助需知
我知道了
×
提示
确定
请完成安全验证×
copy
已复制链接
快去分享给好友吧!
我知道了
右上角分享
点击右上角分享
0
联系我们:info@booksci.cn Book学术提供免费学术资源搜索服务,方便国内外学者检索中英文文献。致力于提供最便捷和优质的服务体验。 Copyright © 2023 布克学术 All rights reserved.
京ICP备2023020795号-1
ghs 京公网安备 11010802042870号
Book学术文献互助
Book学术文献互助群
群 号:604180095
Book学术官方微信