A novel COL2A1 mutation in a Chinese family with predominantly ocular Stickler syndrome.

IF 2.8 3区 生物学 Q2 GENETICS & HEREDITY
Frontiers in Genetics Pub Date : 2025-09-19 eCollection Date: 2025-01-01 DOI:10.3389/fgene.2025.1646923
Yanyu Lin, Xin Liu, Shuxian Lin, Jiansheng Lin
{"title":"A novel <i>COL2A1</i> mutation in a Chinese family with predominantly ocular Stickler syndrome.","authors":"Yanyu Lin, Xin Liu, Shuxian Lin, Jiansheng Lin","doi":"10.3389/fgene.2025.1646923","DOIUrl":null,"url":null,"abstract":"<p><strong>Purpose: </strong>The ocular-only variant of Stickler syndrome type I (OSTL1) is an autosomal dominant connective tissue disorder characterized by ocular abnormalities with minimal or absence of systemic involvement. This study aimed to investigate the clinical features and molecular etiology of predominantly ocular Stickler syndrome in a multigenerational pedigree.</p><p><strong>Methods: </strong>Comprehensive ophthalmic, audiological, and physical examinations were conducted on family members with predominantly ocular Stickler syndrome. Whole exome sequencing (WES) was conducted on the proband, and Sanger sequencing was used to confirm co-segregation of the identified mutation within the family.</p><p><strong>Results: </strong>Two affected individuals were identified, both presenting with myopia, megalophthalmos, retinal tears and detachment, vitreous opacification, chorioretinal scars, and early-onset cataracts. The proband's mother had complete vision loss in her right eye. In terms of extraocular findings, the proband presented with scoliosis, and the proband's mother had mild hearing loss in both ears. A novel likely pathogenic (LP) frameshift mutation c.3534dupT (p.Gly1179Trpfs*74) in exon 50 of the <i>COL2A1</i> was identified in both affected individuals and absent in unaffected family members. This mutation was not found in the ESP, 1000 Genomes, or EXAC databases and is predicted to cause protein truncation.</p><p><strong>Conclusion: </strong>This study reports, for the first time, the clinical manifestations associated with a novel <i>COL2A1</i> exon 50 mutation in a family with predominantly ocular Stickler syndrome. Our findings expand the known mutational spectrum of <i>COL2A1</i> and further illustrate the phenotypic variability of an ocular variant of Stickler syndrome type I with minimal systemic manifestations. These results highlight the importance of early screening in individuals at risk to enable timely diagnosis and management.</p>","PeriodicalId":12750,"journal":{"name":"Frontiers in Genetics","volume":"16 ","pages":"1646923"},"PeriodicalIF":2.8000,"publicationDate":"2025-09-19","publicationTypes":"Journal Article","fieldsOfStudy":null,"isOpenAccess":false,"openAccessPdf":"https://www.ncbi.nlm.nih.gov/pmc/articles/PMC12490987/pdf/","citationCount":"0","resultStr":null,"platform":"Semanticscholar","paperid":null,"PeriodicalName":"Frontiers in Genetics","FirstCategoryId":"99","ListUrlMain":"https://doi.org/10.3389/fgene.2025.1646923","RegionNum":3,"RegionCategory":"生物学","ArticlePicture":[],"TitleCN":null,"AbstractTextCN":null,"PMCID":null,"EPubDate":"2025/1/1 0:00:00","PubModel":"eCollection","JCR":"Q2","JCRName":"GENETICS & HEREDITY","Score":null,"Total":0}
引用次数: 0

Abstract

Purpose: The ocular-only variant of Stickler syndrome type I (OSTL1) is an autosomal dominant connective tissue disorder characterized by ocular abnormalities with minimal or absence of systemic involvement. This study aimed to investigate the clinical features and molecular etiology of predominantly ocular Stickler syndrome in a multigenerational pedigree.

Methods: Comprehensive ophthalmic, audiological, and physical examinations were conducted on family members with predominantly ocular Stickler syndrome. Whole exome sequencing (WES) was conducted on the proband, and Sanger sequencing was used to confirm co-segregation of the identified mutation within the family.

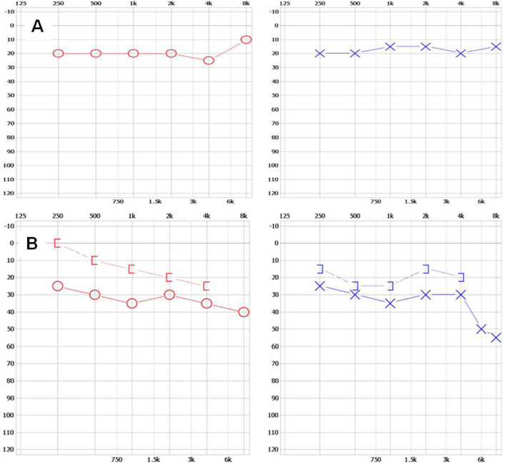
Results: Two affected individuals were identified, both presenting with myopia, megalophthalmos, retinal tears and detachment, vitreous opacification, chorioretinal scars, and early-onset cataracts. The proband's mother had complete vision loss in her right eye. In terms of extraocular findings, the proband presented with scoliosis, and the proband's mother had mild hearing loss in both ears. A novel likely pathogenic (LP) frameshift mutation c.3534dupT (p.Gly1179Trpfs*74) in exon 50 of the COL2A1 was identified in both affected individuals and absent in unaffected family members. This mutation was not found in the ESP, 1000 Genomes, or EXAC databases and is predicted to cause protein truncation.

Conclusion: This study reports, for the first time, the clinical manifestations associated with a novel COL2A1 exon 50 mutation in a family with predominantly ocular Stickler syndrome. Our findings expand the known mutational spectrum of COL2A1 and further illustrate the phenotypic variability of an ocular variant of Stickler syndrome type I with minimal systemic manifestations. These results highlight the importance of early screening in individuals at risk to enable timely diagnosis and management.

Abstract Image

Abstract Image

Abstract Image

一个以眼部Stickler综合征为主的中国家族的COL2A1突变。
目的:Stickler综合征I型(OSTL1)的眼部变异是一种常染色体显性结缔组织疾病,其特征是眼部异常,很少或没有全身累及。本研究旨在探讨多代谱系中以眼部为主的Stickler综合征的临床特征和分子病因。方法:对以眼部Stickler综合征为主的家庭成员进行眼科、听力学和体格检查。先证者进行全外显子组测序(WES), Sanger测序确认家族内所鉴定突变的共分离。结果:确定了两名患者,均表现为近视、大眼、视网膜撕裂和脱离、玻璃体混浊、绒毛膜视网膜疤痕和早发性白内障。先证者的母亲右眼完全失明。在眼外检查方面,先证者表现为脊柱侧凸,先证者的母亲双耳轻度听力损失。在COL2A1的第50外显子中发现了一种新的可能致病性(LP)移码突变c.3534dupT (p.Gly1179Trpfs*74),在受影响的个体和未受影响的家庭成员中缺失。该突变未在ESP、1000基因组或EXAC数据库中发现,预计会导致蛋白质截断。结论:本研究首次报道了一个以眼部Stickler综合征为主的家族中COL2A1外显子50突变的临床表现。我们的研究结果扩展了已知的COL2A1突变谱,并进一步说明了具有最小系统性表现的Stickler综合征I型眼部变异的表型变异性。这些结果强调了在高危人群中进行早期筛查以及时诊断和管理的重要性。
本文章由计算机程序翻译,如有差异,请以英文原文为准。
求助全文
约1分钟内获得全文 求助全文
来源期刊
Frontiers in Genetics
Frontiers in Genetics Biochemistry, Genetics and Molecular Biology-Molecular Medicine
CiteScore
5.50
自引率
8.10%
发文量
3491
审稿时长
14 weeks
期刊介绍: Frontiers in Genetics publishes rigorously peer-reviewed research on genes and genomes relating to all the domains of life, from humans to plants to livestock and other model organisms. Led by an outstanding Editorial Board of the world’s leading experts, this multidisciplinary, open-access journal is at the forefront of communicating cutting-edge research to researchers, academics, clinicians, policy makers and the public. The study of inheritance and the impact of the genome on various biological processes is well documented. However, the majority of discoveries are still to come. A new era is seeing major developments in the function and variability of the genome, the use of genetic and genomic tools and the analysis of the genetic basis of various biological phenomena.
×
引用
GB/T 7714-2015
复制
MLA
复制
APA
复制
导出至
BibTeX EndNote RefMan NoteFirst NoteExpress
×
提示
您的信息不完整,为了账户安全,请先补充。
现在去补充
×
提示
您因"违规操作"
具体请查看互助需知
我知道了
×
提示
确定
请完成安全验证×
copy
已复制链接
快去分享给好友吧!
我知道了
右上角分享
点击右上角分享
0
联系我们:info@booksci.cn Book学术提供免费学术资源搜索服务,方便国内外学者检索中英文文献。致力于提供最便捷和优质的服务体验。 Copyright © 2023 布克学术 All rights reserved.
京ICP备2023020795号-1
ghs 京公网安备 11010802042870号
Book学术文献互助
Book学术文献互助群
群 号:604180095
Book学术官方微信