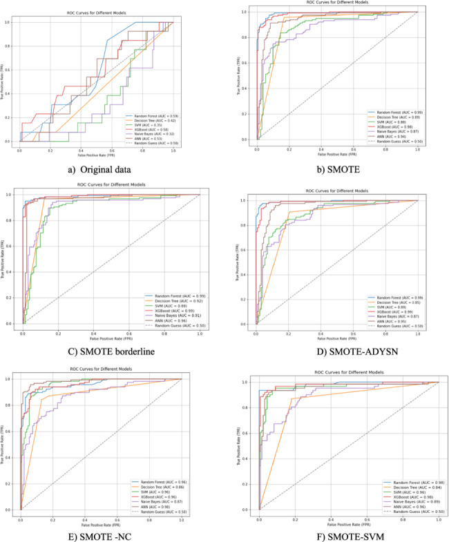
Evaluating the performance of different machine learning algorithms based on SMOTE in predicting musculoskeletal disorders in elementary school students.

IF 3.4 3区 医学 Q1 HEALTH CARE SCIENCES & SERVICES
Sara Manoochehri, Maryam Zamani, Maryam Afshari, Ali Reza Soltanian, Zohreh Manoochehri
{"title":"Evaluating the performance of different machine learning algorithms based on SMOTE in predicting musculoskeletal disorders in elementary school students.","authors":"Sara Manoochehri, Maryam Zamani, Maryam Afshari, Ali Reza Soltanian, Zohreh Manoochehri","doi":"10.1186/s12874-025-02654-7","DOIUrl":null,"url":null,"abstract":"","PeriodicalId":9114,"journal":{"name":"BMC Medical Research Methodology","volume":"25 1","pages":"227"},"PeriodicalIF":3.4000,"publicationDate":"2025-10-02","publicationTypes":"Journal Article","fieldsOfStudy":null,"isOpenAccess":false,"openAccessPdf":"https://www.ncbi.nlm.nih.gov/pmc/articles/PMC12492767/pdf/","citationCount":"0","resultStr":null,"platform":"Semanticscholar","paperid":null,"PeriodicalName":"BMC Medical Research Methodology","FirstCategoryId":"3","ListUrlMain":"https://doi.org/10.1186/s12874-025-02654-7","RegionNum":3,"RegionCategory":"医学","ArticlePicture":[],"TitleCN":null,"AbstractTextCN":null,"PMCID":null,"EPubDate":"","PubModel":"","JCR":"Q1","JCRName":"HEALTH CARE SCIENCES & SERVICES","Score":null,"Total":0}
引用次数: 0

Abstract Image

Abstract Image

评估基于SMOTE的不同机器学习算法在预测小学生肌肉骨骼疾病中的性能。
本文章由计算机程序翻译,如有差异,请以英文原文为准。
求助全文
约1分钟内获得全文 求助全文
来源期刊
BMC Medical Research Methodology
BMC Medical Research Methodology 医学-卫生保健
CiteScore
6.50
自引率
2.50%
发文量
298
审稿时长
3-8 weeks
期刊介绍: BMC Medical Research Methodology is an open access journal publishing original peer-reviewed research articles in methodological approaches to healthcare research. Articles on the methodology of epidemiological research, clinical trials and meta-analysis/systematic review are particularly encouraged, as are empirical studies of the associations between choice of methodology and study outcomes. BMC Medical Research Methodology does not aim to publish articles describing scientific methods or techniques: these should be directed to the BMC journal covering the relevant biomedical subject area.
×
引用
GB/T 7714-2015
复制
MLA
复制
APA
复制
导出至
BibTeX EndNote RefMan NoteFirst NoteExpress
×
提示
您的信息不完整,为了账户安全,请先补充。
现在去补充
×
提示
您因"违规操作"
具体请查看互助需知
我知道了
×
提示
确定
请完成安全验证×
copy
已复制链接
快去分享给好友吧!
我知道了
右上角分享
点击右上角分享
0
联系我们:info@booksci.cn Book学术提供免费学术资源搜索服务,方便国内外学者检索中英文文献。致力于提供最便捷和优质的服务体验。 Copyright © 2023 布克学术 All rights reserved.
京ICP备2023020795号-1
ghs 京公网安备 11010802042870号
Book学术文献互助
Book学术文献互助群
群 号:604180095
Book学术官方微信