Effect of intraperitoneal cannabidiol (CBD) injection on intestine microbiome profile in a mouse model.

IF 1.6 4区 生物学 Q3 GENETICS & HEREDITY
Igor Jasielczuk, Ewa Ocłoń, Jakub Żurowski, Tomasz Szmatoła, Karolina Mizera-Szpilka, Artur Gurgul
{"title":"Effect of intraperitoneal cannabidiol (CBD) injection on intestine microbiome profile in a mouse model.","authors":"Igor Jasielczuk, Ewa Ocłoń, Jakub Żurowski, Tomasz Szmatoła, Karolina Mizera-Szpilka, Artur Gurgul","doi":"10.1007/s00294-025-01327-8","DOIUrl":null,"url":null,"abstract":"","PeriodicalId":10918,"journal":{"name":"Current Genetics","volume":"71 1","pages":"21"},"PeriodicalIF":1.6000,"publicationDate":"2025-09-30","publicationTypes":"Journal Article","fieldsOfStudy":null,"isOpenAccess":false,"openAccessPdf":"https://www.ncbi.nlm.nih.gov/pmc/articles/PMC12484330/pdf/","citationCount":"0","resultStr":null,"platform":"Semanticscholar","paperid":null,"PeriodicalName":"Current Genetics","FirstCategoryId":"99","ListUrlMain":"https://doi.org/10.1007/s00294-025-01327-8","RegionNum":4,"RegionCategory":"生物学","ArticlePicture":[],"TitleCN":null,"AbstractTextCN":null,"PMCID":null,"EPubDate":"","PubModel":"","JCR":"Q3","JCRName":"GENETICS & HEREDITY","Score":null,"Total":0}
引用次数: 0

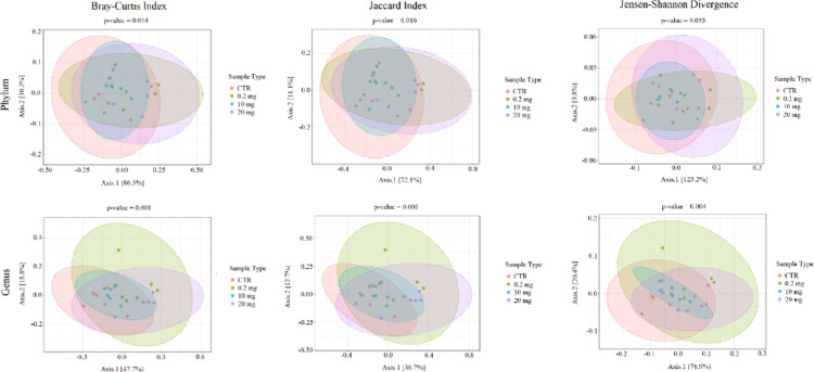
Abstract Image

Abstract Image

Abstract Image

腹腔注射大麻二酚(CBD)对小鼠肠道微生物组的影响。
本文章由计算机程序翻译,如有差异,请以英文原文为准。
求助全文
约1分钟内获得全文 求助全文
来源期刊
Current Genetics
Current Genetics 生物-遗传学
CiteScore
6.00
自引率
0.00%
发文量
34
审稿时长
1 months
期刊介绍: Current Genetics publishes genetic, genomic, molecular and systems-level analysis of eukaryotic and prokaryotic microorganisms and cell organelles. All articles are peer-reviewed. The journal welcomes submissions employing any type of research approach, be it analytical (aiming at a better understanding), applied (aiming at practical applications), synthetic or theoretical. Current Genetics no longer accepts manuscripts describing the genome sequence of mitochondria/chloroplast of a small number of species. Manuscripts covering sequence comparisons and analyses that include a large number of species will still be considered.
×
引用
GB/T 7714-2015
复制
MLA
复制
APA
复制
导出至
BibTeX EndNote RefMan NoteFirst NoteExpress
×
提示
您的信息不完整,为了账户安全,请先补充。
现在去补充
×
提示
您因"违规操作"
具体请查看互助需知
我知道了
×
提示
确定
请完成安全验证×
copy
已复制链接
快去分享给好友吧!
我知道了
右上角分享
点击右上角分享
0
联系我们:info@booksci.cn Book学术提供免费学术资源搜索服务,方便国内外学者检索中英文文献。致力于提供最便捷和优质的服务体验。 Copyright © 2023 布克学术 All rights reserved.
京ICP备2023020795号-1
ghs 京公网安备 11010802042870号
Book学术文献互助
Book学术文献互助群
群 号:604180095
Book学术官方微信