Pharmacokinetics of Carprofen Administered Intravenously at Different Doses in Goats.

IF 2.3 2区 农林科学 Q2 VETERINARY SCIENCES
Orhan Corum, Halis Oguz, Mustafa Hitit, Duygu Durna Corum, Devran Coskun, Teslime Erdogan, Emre Bahcivan, Kamil Uney
{"title":"Pharmacokinetics of Carprofen Administered Intravenously at Different Doses in Goats.","authors":"Orhan Corum, Halis Oguz, Mustafa Hitit, Duygu Durna Corum, Devran Coskun, Teslime Erdogan, Emre Bahcivan, Kamil Uney","doi":"10.3390/vetsci12090852","DOIUrl":null,"url":null,"abstract":"<p><p>This investigation focuses on understanding the pharmacokinetic behavior of intravenously administered carprofen at doses of 0.7, 1.4, and 4 mg/kg in goats. Eighteen animals were randomly assigned into three groups, with six goats per group, and blood samples were collected at 22 time points post-administration. Plasma concentrations were analyzed using a validated HPLC-UV method, and key pharmacokinetic parameters were derived using non-compartmental analysis. Results show that, at 0.7 mg/kg, carprofen exhibited the total clearance (Cl<sub>T</sub>) of 2.19 mL/h/kg, volume of distribution at steady state (V<sub>dss</sub>) of 126.56 mL/kg, area under the curve (AUC<sub>0-last</sub>) of 321.00 h*µg/mL, and elimination half-life (t<sub>1/2ʎz</sub>) of 44.32 h. When comparing doses, an increase in Cl<sub>T</sub> was observed at 4 mg/kg, and the volume of distribution increased at both 1.4 and 4 mg/kg dosages. Additionally, a reduction in dose-normalized AUC<sub>0-last</sub> was evident at the highest dose. Data showed that the effect of the drug may be prolonged as the dose increases. These differences between dose groups may be clinically insignificant after the single administration of all doses. Carprofen can be used at all three dose levels in goats; however, vigilance regarding the potential side effects and drug residues is essential, especially during repeated treatments.</p>","PeriodicalId":23694,"journal":{"name":"Veterinary Sciences","volume":"12 9","pages":""},"PeriodicalIF":2.3000,"publicationDate":"2025-09-02","publicationTypes":"Journal Article","fieldsOfStudy":null,"isOpenAccess":false,"openAccessPdf":"https://www.ncbi.nlm.nih.gov/pmc/articles/PMC12474378/pdf/","citationCount":"0","resultStr":null,"platform":"Semanticscholar","paperid":null,"PeriodicalName":"Veterinary Sciences","FirstCategoryId":"97","ListUrlMain":"https://doi.org/10.3390/vetsci12090852","RegionNum":2,"RegionCategory":"农林科学","ArticlePicture":[],"TitleCN":null,"AbstractTextCN":null,"PMCID":null,"EPubDate":"","PubModel":"","JCR":"Q2","JCRName":"VETERINARY SCIENCES","Score":null,"Total":0}
引用次数: 0

Abstract

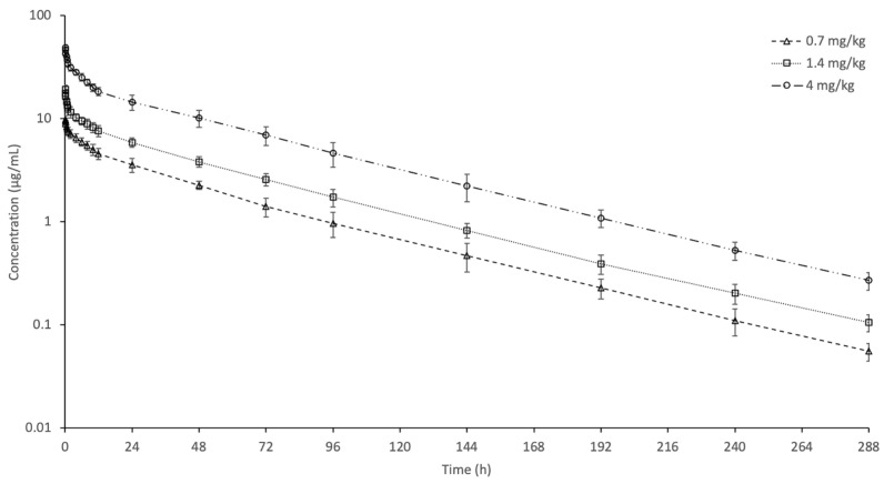
This investigation focuses on understanding the pharmacokinetic behavior of intravenously administered carprofen at doses of 0.7, 1.4, and 4 mg/kg in goats. Eighteen animals were randomly assigned into three groups, with six goats per group, and blood samples were collected at 22 time points post-administration. Plasma concentrations were analyzed using a validated HPLC-UV method, and key pharmacokinetic parameters were derived using non-compartmental analysis. Results show that, at 0.7 mg/kg, carprofen exhibited the total clearance (ClT) of 2.19 mL/h/kg, volume of distribution at steady state (Vdss) of 126.56 mL/kg, area under the curve (AUC0-last) of 321.00 h*µg/mL, and elimination half-life (t1/2ʎz) of 44.32 h. When comparing doses, an increase in ClT was observed at 4 mg/kg, and the volume of distribution increased at both 1.4 and 4 mg/kg dosages. Additionally, a reduction in dose-normalized AUC0-last was evident at the highest dose. Data showed that the effect of the drug may be prolonged as the dose increases. These differences between dose groups may be clinically insignificant after the single administration of all doses. Carprofen can be used at all three dose levels in goats; however, vigilance regarding the potential side effects and drug residues is essential, especially during repeated treatments.

Abstract Image

山羊静脉注射不同剂量卡洛芬的药代动力学。
本研究的重点是了解静脉注射剂量为0.7、1.4和4 mg/kg的卡洛芬在山羊体内的药代动力学行为。18只动物随机分为3组,每组6只山羊,在给药后22个时间点采集血液样本。采用高效液相色谱-紫外法分析血浆浓度,采用非区室分析获得关键药动学参数。结果表明,当剂量为0.7 mg/kg时,卡洛芬的总清除率(ClT)为2.19 mL/h/kg,稳态分布体积(Vdss)为126.56 mL/kg,曲线下面积(AUC0-last)为321.00 h*µg/mL,消除半衰期(t1/2)为44.32 h。在剂量比较中,剂量为4 mg/kg时ClT增加,剂量为1.4和4 mg/kg时ClT增加。此外,在最高剂量时,剂量标准化AUC0-last明显降低。数据显示,药物的效果可能随着剂量的增加而延长。所有剂量单次给药后,这些剂量组之间的差异可能在临床上不显著。卡洛芬可以在山羊身上使用这三种剂量水平;然而,警惕潜在的副作用和药物残留是必不可少的,特别是在重复治疗期间。
本文章由计算机程序翻译,如有差异,请以英文原文为准。
求助全文
约1分钟内获得全文 求助全文
来源期刊
Veterinary Sciences
Veterinary Sciences VETERINARY SCIENCES-
CiteScore
2.90
自引率
8.30%
发文量
612
审稿时长
6 weeks
期刊介绍: Veterinary Sciences is an international and interdisciplinary scholarly open access journal. It publishes original that are relevant to any field of veterinary sciences, including prevention, diagnosis and treatment of disease, disorder and injury in animals. This journal covers almost all topics related to animal health and veterinary medicine. Research fields of interest include but are not limited to: anaesthesiology anatomy bacteriology biochemistry cardiology dentistry dermatology embryology endocrinology epidemiology genetics histology immunology microbiology molecular biology mycology neurobiology oncology ophthalmology parasitology pathology pharmacology physiology radiology surgery theriogenology toxicology virology.
×
引用
GB/T 7714-2015
复制
MLA
复制
APA
复制
导出至
BibTeX EndNote RefMan NoteFirst NoteExpress
×
提示
您的信息不完整,为了账户安全,请先补充。
现在去补充
×
提示
您因"违规操作"
具体请查看互助需知
我知道了
×
提示
确定
请完成安全验证×
copy
已复制链接
快去分享给好友吧!
我知道了
右上角分享
点击右上角分享
0
联系我们:info@booksci.cn Book学术提供免费学术资源搜索服务,方便国内外学者检索中英文文献。致力于提供最便捷和优质的服务体验。 Copyright © 2023 布克学术 All rights reserved.
京ICP备2023020795号-1
ghs 京公网安备 11010802042870号
Book学术文献互助
Book学术文献互助群
群 号:604180095
Book学术官方微信