Increase in the Relative Content of ortho-Н2О Molecules in Vapor above Boiling Water

IF 1.1 4区 物理与天体物理 Q3 PHYSICS, MULTIDISCIPLINARY
E. V. Stepanov, S. M. Pershin
{"title":"Increase in the Relative Content of ortho-Н2О Molecules in Vapor above Boiling Water","authors":"E. V. Stepanov,&nbsp;S. M. Pershin","doi":"10.3103/S1541308X25700189","DOIUrl":null,"url":null,"abstract":"<p>The spin selectivity of the processes occurring in vapor above the surface of boiling water has been experimentally demonstrated. This selectivity leads to a significant increase in the fraction of <i>ortho</i>-H<sub>2</sub>O molecules in vapor. An increase in the relative content of <i>ortho/para</i>-isomers of water from the equilibrium value of 3 : 1 (determined by quantum statistics) to 5 : 1 was observed. The content of H<sub>2</sub>O spin isomers in vapor above the water surface was analyzed using a tunable diode laser. Spectral analysis of the <i>ortho</i>- and <i>para</i>-H<sub>2</sub>O content was performed using the absorption lines of these molecules belonging to the vibrational–rotational band 101-000 and having transition frequencies of 7355.557 and 7354.599 cm<sup>–1</sup>, respectively. When water is heated from room temperature (20°C) to the second boiling phase (~80°C), a ratio of <i>ortho</i>- and <i>para</i>-spin isomers of ~3 : 1 was observed, which is typical of normal conditions. During the second and third boiling phases (80–90°C), the <i>ortho</i>/<i>para</i> ratio increases to 5:1. A possible mechanism for increasing the fraction of <i>ortho</i>-H<sub>2</sub>O in the vapor formed during boiling may be associated with the depletion of the equilibrium mixture in the <i>para</i>-H<sub>2</sub>O isomer, due to its higher activity in condensation and formation of water microdrops, dimers, and trimers.</p>","PeriodicalId":732,"journal":{"name":"Physics of Wave Phenomena","volume":"33 3","pages":"242 - 246"},"PeriodicalIF":1.1000,"publicationDate":"2025-07-20","publicationTypes":"Journal Article","fieldsOfStudy":null,"isOpenAccess":false,"openAccessPdf":"","citationCount":"0","resultStr":null,"platform":"Semanticscholar","paperid":null,"PeriodicalName":"Physics of Wave Phenomena","FirstCategoryId":"101","ListUrlMain":"https://link.springer.com/article/10.3103/S1541308X25700189","RegionNum":4,"RegionCategory":"物理与天体物理","ArticlePicture":[],"TitleCN":null,"AbstractTextCN":null,"PMCID":null,"EPubDate":"","PubModel":"","JCR":"Q3","JCRName":"PHYSICS, MULTIDISCIPLINARY","Score":null,"Total":0}
引用次数: 0

Abstract

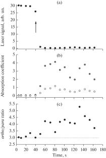
The spin selectivity of the processes occurring in vapor above the surface of boiling water has been experimentally demonstrated. This selectivity leads to a significant increase in the fraction of ortho-H2O molecules in vapor. An increase in the relative content of ortho/para-isomers of water from the equilibrium value of 3 : 1 (determined by quantum statistics) to 5 : 1 was observed. The content of H2O spin isomers in vapor above the water surface was analyzed using a tunable diode laser. Spectral analysis of the ortho- and para-H2O content was performed using the absorption lines of these molecules belonging to the vibrational–rotational band 101-000 and having transition frequencies of 7355.557 and 7354.599 cm–1, respectively. When water is heated from room temperature (20°C) to the second boiling phase (~80°C), a ratio of ortho- and para-spin isomers of ~3 : 1 was observed, which is typical of normal conditions. During the second and third boiling phases (80–90°C), the ortho/para ratio increases to 5:1. A possible mechanism for increasing the fraction of ortho-H2O in the vapor formed during boiling may be associated with the depletion of the equilibrium mixture in the para-H2O isomer, due to its higher activity in condensation and formation of water microdrops, dimers, and trimers.

Abstract Image

沸水以上蒸汽中邻位羟基-Н2О分子相对含量的增加
实验证明了在沸水表面以上的蒸汽中发生的过程的自旋选择性。这种选择性导致蒸汽中邻水分子的比例显著增加。观察到水的邻位/对位异构体的相对含量从平衡值3:1(由量子统计确定)增加到5:1。用可调谐二极管激光分析了水面以上蒸汽中水自旋异构体的含量。利用振动旋转带101-000、跃迁频率分别为7355.557和7354.599 cm-1的分子吸收谱线对邻位和对水分子含量进行了光谱分析。当水从室温(20°C)加热到第二沸腾相(~80°C)时,观察到邻旋和对旋异构体的比例为~ 3:1,这是典型的正常条件。在第二和第三沸腾阶段(80-90℃),邻位/对位比增加到5:1。在沸腾过程中形成的蒸汽中增加邻水分数的可能机制可能与对水异构体中平衡混合物的耗尽有关,因为它在冷凝和形成水微滴、二聚体和三聚体方面具有较高的活性。
本文章由计算机程序翻译,如有差异,请以英文原文为准。
求助全文
约1分钟内获得全文 求助全文
来源期刊
Physics of Wave Phenomena
Physics of Wave Phenomena PHYSICS, MULTIDISCIPLINARY-
CiteScore
2.50
自引率
21.40%
发文量
43
审稿时长
>12 weeks
期刊介绍: Physics of Wave Phenomena publishes original contributions in general and nonlinear wave theory, original experimental results in optics, acoustics and radiophysics. The fields of physics represented in this journal include nonlinear optics, acoustics, and radiophysics; nonlinear effects of any nature including nonlinear dynamics and chaos; phase transitions including light- and sound-induced; laser physics; optical and other spectroscopies; new instruments, methods, and measurements of wave and oscillatory processes; remote sensing of waves in natural media; wave interactions in biophysics, econophysics and other cross-disciplinary areas.
×
引用
GB/T 7714-2015
复制
MLA
复制
APA
复制
导出至
BibTeX EndNote RefMan NoteFirst NoteExpress
×
提示
您的信息不完整,为了账户安全,请先补充。
现在去补充
×
提示
您因"违规操作"
具体请查看互助需知
我知道了
×
提示
确定
请完成安全验证×
copy
已复制链接
快去分享给好友吧!
我知道了
右上角分享
点击右上角分享
0
联系我们:info@booksci.cn Book学术提供免费学术资源搜索服务,方便国内外学者检索中英文文献。致力于提供最便捷和优质的服务体验。 Copyright © 2023 布克学术 All rights reserved.
京ICP备2023020795号-1
ghs 京公网安备 11010802042870号
Book学术文献互助
Book学术文献互助群
群 号:604180095
Book学术官方微信