Ceftaroline pharmacokinetics/pharmacodynamics in the hollow-fibre model of Mycobacterium abscessus lung disease.

IJTLD open Pub Date : 2025-09-10 eCollection Date: 2025-09-01 DOI:10.5588/ijtldopen.25.0173
B E Ferro, S Srivastava, T Gumbo
{"title":"Ceftaroline pharmacokinetics/pharmacodynamics in the hollow-fibre model of <i>Mycobacterium abscessus</i> lung disease.","authors":"B E Ferro, S Srivastava, T Gumbo","doi":"10.5588/ijtldopen.25.0173","DOIUrl":null,"url":null,"abstract":"<p><strong>Background: </strong>Guideline-based therapy (GBT) of <i>Mycobacterium abscessus</i> (MAB) lung disease (LD) achieves a sputum culture conversion rate in ∼35% of patients. The β-lactam antibiotics, imipenem and cefoxitin, are the cornerstone of GBT. However, a 1-h half-life means multiple infusions per day, which is difficult for months-long therapy.</p><p><strong>Methods: </strong>As an alternative, we tested ceftaroline-avibactam, with a 3-h half-life, in the hollow-fibre model system of MAB-LD (HFS-MAB). Eight ceftaroline-avibactam exposures were administered twice daily based on human intrapulmonary pharmacokinetics. Next, we compared GBT (cefoxitin-clarithromycin-amikacin) to standard-dose and to high-dose ceftaroline-avibactam-tigecycline-moxifloxacin regimens, in the HFS-MAB, mimicking the intrapulmonary pharmacokinetics of all drugs.</p><p><strong>Results: </strong>Ceftaroline-avibactam maximal microbial kill was 0.72 log<sub>10</sub> colony-forming units (CFUs) per millilitre below day 0 burden (stasis). The ceftaroline pharmacokinetic-pharmacodynamic parameter linked to microbial kill and anti-microbial resistance was 0-24-h area under the concentration-time curve (AUC<sub>0-24</sub>) to minimum inhibitory concentration. GBT killed 1.21 ± 0.25 log<sub>10</sub> CFU/mL versus 0.45 ± 0.42 log<sub>10</sub> CFU/mL below stasis for high-dose ceftaroline combination (<i>P</i> = 0.20). In combination regimens, proportion of the ceftaroline-resistant subpopulation was 41.22 ± 13.11 times lower than the cefoxitin-resistant subpopulation (<i>P</i> = 0.002).</p><p><strong>Conclusion: </strong>Ceftaroline-avibactam administered twice a day would be an adequate replacement for the four-times-a-day cefoxitin treatments for MAB-LD.</p>","PeriodicalId":519984,"journal":{"name":"IJTLD open","volume":"2 9","pages":"519-526"},"PeriodicalIF":0.0000,"publicationDate":"2025-09-10","publicationTypes":"Journal Article","fieldsOfStudy":null,"isOpenAccess":false,"openAccessPdf":"https://www.ncbi.nlm.nih.gov/pmc/articles/PMC12435454/pdf/","citationCount":"0","resultStr":null,"platform":"Semanticscholar","paperid":null,"PeriodicalName":"IJTLD open","FirstCategoryId":"1085","ListUrlMain":"https://doi.org/10.5588/ijtldopen.25.0173","RegionNum":0,"RegionCategory":null,"ArticlePicture":[],"TitleCN":null,"AbstractTextCN":null,"PMCID":null,"EPubDate":"2025/9/1 0:00:00","PubModel":"eCollection","JCR":"","JCRName":"","Score":null,"Total":0}
引用次数: 0

Abstract

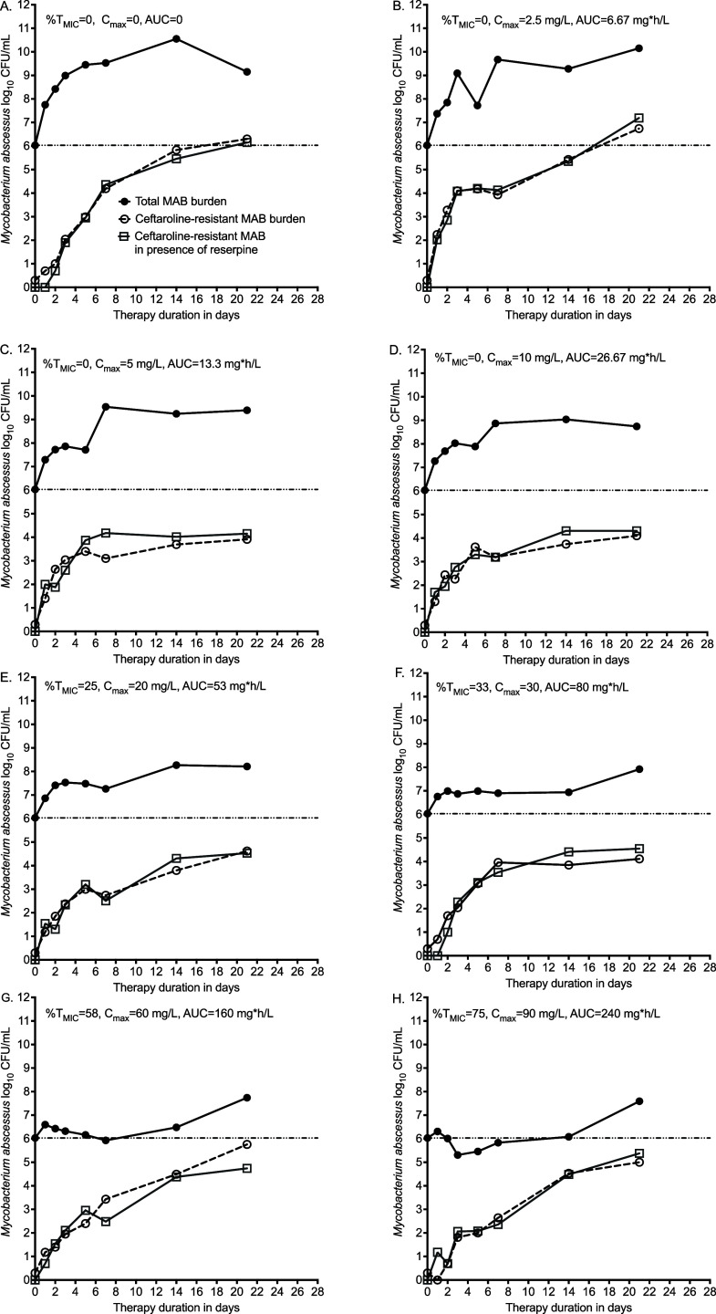
Background: Guideline-based therapy (GBT) of Mycobacterium abscessus (MAB) lung disease (LD) achieves a sputum culture conversion rate in ∼35% of patients. The β-lactam antibiotics, imipenem and cefoxitin, are the cornerstone of GBT. However, a 1-h half-life means multiple infusions per day, which is difficult for months-long therapy.

Methods: As an alternative, we tested ceftaroline-avibactam, with a 3-h half-life, in the hollow-fibre model system of MAB-LD (HFS-MAB). Eight ceftaroline-avibactam exposures were administered twice daily based on human intrapulmonary pharmacokinetics. Next, we compared GBT (cefoxitin-clarithromycin-amikacin) to standard-dose and to high-dose ceftaroline-avibactam-tigecycline-moxifloxacin regimens, in the HFS-MAB, mimicking the intrapulmonary pharmacokinetics of all drugs.

Results: Ceftaroline-avibactam maximal microbial kill was 0.72 log10 colony-forming units (CFUs) per millilitre below day 0 burden (stasis). The ceftaroline pharmacokinetic-pharmacodynamic parameter linked to microbial kill and anti-microbial resistance was 0-24-h area under the concentration-time curve (AUC0-24) to minimum inhibitory concentration. GBT killed 1.21 ± 0.25 log10 CFU/mL versus 0.45 ± 0.42 log10 CFU/mL below stasis for high-dose ceftaroline combination (P = 0.20). In combination regimens, proportion of the ceftaroline-resistant subpopulation was 41.22 ± 13.11 times lower than the cefoxitin-resistant subpopulation (P = 0.002).

Conclusion: Ceftaroline-avibactam administered twice a day would be an adequate replacement for the four-times-a-day cefoxitin treatments for MAB-LD.

Abstract Image

Abstract Image

Abstract Image

头孢他林在脓肿分枝杆菌肺疾病中空纤维模型中的药代动力学/药效学研究
背景:基于指南的治疗(GBT)脓肿分枝杆菌(MAB)肺病(LD)患者的痰培养转化率达到35%。β-内酰胺类抗生素亚胺培南和头孢西丁是GBT的基石。然而,1小时的半衰期意味着每天多次输注,这对于长达数月的治疗来说是困难的。方法:我们在单克隆抗体- ld (HFS-MAB)中空纤维模型体系中测试了半衰期为3小时的头孢他林-阿维巴坦。根据人肺内药代动力学,8次头孢他林-阿维巴坦暴露每天两次。接下来,我们在HFS-MAB中比较了GBT(头孢西丁-克拉霉素-阿米卡星)与标准剂量和高剂量头孢他林-阿维巴坦-替加环素-莫西沙星方案,模拟了所有药物的肺内药代动力学。结果:头孢他林-阿维巴坦最大微生物杀灭量为0.72 log10菌落形成单位(cfu)每毫升低于第0天负荷(停滞)。头孢他林与微生物杀灭和耐药相关的药动药效学参数为浓度-时间曲线下0-24 h区域(AUC0-24)至最低抑菌浓度。高剂量头孢他林联合用药组在停滞状态下,GBT致死量为1.21±0.25 log10 CFU/mL,高于0.45±0.42 log10 CFU/mL (P = 0.20)。联合用药组头孢他林耐药亚群的比例为头孢西汀耐药亚群的41.22±13.11倍(P = 0.002)。结论:头孢他林-阿维巴坦每日2次可替代头孢西丁每日4次治疗MAB-LD。
本文章由计算机程序翻译,如有差异,请以英文原文为准。
求助全文
约1分钟内获得全文 求助全文
来源期刊
自引率
0.00%
发文量
0
×
引用
GB/T 7714-2015
复制
MLA
复制
APA
复制
导出至
BibTeX EndNote RefMan NoteFirst NoteExpress
×
提示
您的信息不完整,为了账户安全,请先补充。
现在去补充
×
提示
您因"违规操作"
具体请查看互助需知
我知道了
×
提示
确定
请完成安全验证×
copy
已复制链接
快去分享给好友吧!
我知道了
右上角分享
点击右上角分享
0
联系我们:info@booksci.cn Book学术提供免费学术资源搜索服务,方便国内外学者检索中英文文献。致力于提供最便捷和优质的服务体验。 Copyright © 2023 布克学术 All rights reserved.
京ICP备2023020795号-1
ghs 京公网安备 11010802042870号
Book学术文献互助
Book学术文献互助群
群 号:604180095
Book学术官方微信