Indoor Air Quality Conditions and Respiratory Virus Detections in Elementary Schools-Kansas City, Missouri, February-March 2023.

IF 4.3 2区 环境科学与生态学 Q1 CONSTRUCTION & BUILDING TECHNOLOGY
Indoor air Pub Date : 2025-01-01 DOI:10.1155/ina/9935344
Olivia M Almendares, Jasmine D Ruffin, Luke C Gard, Rangaraj Selvarangan, Anjana Sasidharan, Dithi Banerjee, Nibha Sagar, Amanda Hayes, Sydnie Petty, Brian R Lee, Christopher Young, Janelle Porter, Shannon Tilsworth, Jennifer L Goldman, Jennifer E Schuster, Hannah L Kirking
{"title":"Indoor Air Quality Conditions and Respiratory Virus Detections in Elementary Schools-Kansas City, Missouri, February-March 2023.","authors":"Olivia M Almendares, Jasmine D Ruffin, Luke C Gard, Rangaraj Selvarangan, Anjana Sasidharan, Dithi Banerjee, Nibha Sagar, Amanda Hayes, Sydnie Petty, Brian R Lee, Christopher Young, Janelle Porter, Shannon Tilsworth, Jennifer L Goldman, Jennifer E Schuster, Hannah L Kirking","doi":"10.1155/ina/9935344","DOIUrl":null,"url":null,"abstract":"<p><strong>Background/objectives: </strong>Respiratory viruses circulate year-round and can spread indoors via inhalation of airborne particles. Effective ventilation and filtration may reduce transmission, particularly in school settings where children and staff spend significant time. This study examines the impact of indoor air quality (IAQ) and ventilation in schools on respiratory virus detection.</p><p><strong>Methods: </strong>During February 27 to March 30, 2023, we assessed the relationship between IAQ and respiratory viruses in two Kansas City, Missouri, elementary schools by collecting bioaerosol samples, student and staff nasal swabs, and monitoring IAQ across 10 rooms (six classrooms, two common spaces, and two nurses' offices). We calculated air changes per hour ( <math><mtext>ACH</mtext></math> ) and analyzed viral detections in nasal swabs and bioaerosol samples by high (≥ 1000 ppm) or low (< 1000 ppm) CO<sub>2</sub> concentration in classrooms.</p><p><strong>Results: </strong>We collected 173 nasal swabs from 100 participants and 30 bioaerosol samples from 10 rooms. Participants were mostly female (68%) and white (60%). Viruses were detected in 90% of bioaerosol and 35% of nasal samples. Four classrooms and both common spaces had the same virus detected in bioaerosol and nasal swab samples. None of the spaces met the CDC recommended <math><mtext>ACH</mtext></math> of 5, and only one exceeded ANSI/ASHRAE 62.1-2022 standards for outdoor air supply. During school hours, 83% of classrooms had high average CO<sub>2</sub> concentrations. Classrooms with high CO<sub>2</sub> levels had higher viral detection.</p><p><strong>Conclusions: </strong>Viral presence was found in bioaerosol and nasal samples with some overlap in concurrently collected samples. Findings suggest a possible connection between high CO<sub>2</sub> levels and virus detection. Improving IAQ and ventilation may reduce respiratory infection risks in schools. However, this study highlights the need to further assess the impact of various environmental modifications on respiratory virus transmission in schools, including determining optimal strategies such as ventilation, filtration, or germicidal ultraviolet energy.</p>","PeriodicalId":13529,"journal":{"name":"Indoor air","volume":"2025 1","pages":"9935344"},"PeriodicalIF":4.3000,"publicationDate":"2025-01-01","publicationTypes":"Journal Article","fieldsOfStudy":null,"isOpenAccess":false,"openAccessPdf":"https://www.ncbi.nlm.nih.gov/pmc/articles/PMC12416244/pdf/","citationCount":"0","resultStr":null,"platform":"Semanticscholar","paperid":null,"PeriodicalName":"Indoor air","FirstCategoryId":"93","ListUrlMain":"https://doi.org/10.1155/ina/9935344","RegionNum":2,"RegionCategory":"环境科学与生态学","ArticlePicture":[],"TitleCN":null,"AbstractTextCN":null,"PMCID":null,"EPubDate":"","PubModel":"","JCR":"Q1","JCRName":"CONSTRUCTION & BUILDING TECHNOLOGY","Score":null,"Total":0}
引用次数: 0

Abstract

Background/objectives: Respiratory viruses circulate year-round and can spread indoors via inhalation of airborne particles. Effective ventilation and filtration may reduce transmission, particularly in school settings where children and staff spend significant time. This study examines the impact of indoor air quality (IAQ) and ventilation in schools on respiratory virus detection.

Methods: During February 27 to March 30, 2023, we assessed the relationship between IAQ and respiratory viruses in two Kansas City, Missouri, elementary schools by collecting bioaerosol samples, student and staff nasal swabs, and monitoring IAQ across 10 rooms (six classrooms, two common spaces, and two nurses' offices). We calculated air changes per hour ( ACH ) and analyzed viral detections in nasal swabs and bioaerosol samples by high (≥ 1000 ppm) or low (< 1000 ppm) CO2 concentration in classrooms.

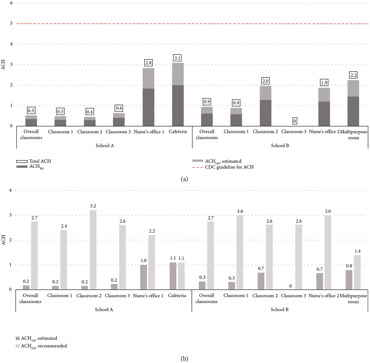
Results: We collected 173 nasal swabs from 100 participants and 30 bioaerosol samples from 10 rooms. Participants were mostly female (68%) and white (60%). Viruses were detected in 90% of bioaerosol and 35% of nasal samples. Four classrooms and both common spaces had the same virus detected in bioaerosol and nasal swab samples. None of the spaces met the CDC recommended ACH of 5, and only one exceeded ANSI/ASHRAE 62.1-2022 standards for outdoor air supply. During school hours, 83% of classrooms had high average CO2 concentrations. Classrooms with high CO2 levels had higher viral detection.

Conclusions: Viral presence was found in bioaerosol and nasal samples with some overlap in concurrently collected samples. Findings suggest a possible connection between high CO2 levels and virus detection. Improving IAQ and ventilation may reduce respiratory infection risks in schools. However, this study highlights the need to further assess the impact of various environmental modifications on respiratory virus transmission in schools, including determining optimal strategies such as ventilation, filtration, or germicidal ultraviolet energy.

Abstract Image

Abstract Image

Abstract Image

2023年2月至3月密苏里州堪萨斯城小学室内空气质量状况和呼吸道病毒检测
背景/目的:呼吸道病毒全年传播,可通过吸入空气中的颗粒在室内传播。有效的通风和过滤可减少传播,特别是在儿童和工作人员花费大量时间的学校环境中。本研究探讨学校室内空气质素(IAQ)及通风对呼吸道病毒检测的影响。方法:在2023年2月27日至3月30日期间,我们通过收集生物气溶胶样本、学生和教职员工鼻拭子,并监测10个房间(6个教室、2个公共空间和2个护士办公室)的室内空气质量,评估了密苏里州堪萨斯城两所小学的室内空气质量与呼吸道病毒的关系。我们计算了每小时换气量(ACH),并分析了教室中高(≥1000ppm)或低(< 1000ppm) CO2浓度下鼻拭子和生物气溶胶样本中的病毒检测情况。结果:我们从100名参与者中收集了173份鼻拭子,从10个房间收集了30份生物气溶胶样本。参与者主要是女性(68%)和白人(60%)。在90%的生物气溶胶和35%的鼻腔样本中检测到病毒。四个教室和两个公共空间在生物气溶胶和鼻拭子样本中检测到相同的病毒。没有一个空间达到CDC推荐的ACH 5,只有一个空间超过了室外空气供应的ANSI/ASHRAE 62.1-2022标准。在上课时间,83%的教室平均二氧化碳浓度较高。二氧化碳浓度高的教室有更高的病毒检测。结论:在生物气溶胶和鼻腔样本中均发现病毒存在,并在同时采集的样本中有一定的重叠。研究结果表明,高二氧化碳水平与病毒检测之间可能存在联系。改善室内空气质量和通风可降低学校呼吸道感染的风险。然而,这项研究强调需要进一步评估各种环境变化对学校呼吸道病毒传播的影响,包括确定最佳策略,如通风、过滤或杀菌紫外线能量。
本文章由计算机程序翻译,如有差异,请以英文原文为准。
求助全文
约1分钟内获得全文 求助全文
来源期刊
Indoor air
Indoor air 环境科学-工程:环境
CiteScore
10.80
自引率
10.30%
发文量
175
审稿时长
3 months
期刊介绍: The quality of the environment within buildings is a topic of major importance for public health. Indoor Air provides a location for reporting original research results in the broad area defined by the indoor environment of non-industrial buildings. An international journal with multidisciplinary content, Indoor Air publishes papers reflecting the broad categories of interest in this field: health effects; thermal comfort; monitoring and modelling; source characterization; ventilation and other environmental control techniques. The research results present the basic information to allow designers, building owners, and operators to provide a healthy and comfortable environment for building occupants, as well as giving medical practitioners information on how to deal with illnesses related to the indoor environment.
×
引用
GB/T 7714-2015
复制
MLA
复制
APA
复制
导出至
BibTeX EndNote RefMan NoteFirst NoteExpress
×
提示
您的信息不完整,为了账户安全,请先补充。
现在去补充
×
提示
您因"违规操作"
具体请查看互助需知
我知道了
×
提示
确定
请完成安全验证×
copy
已复制链接
快去分享给好友吧!
我知道了
右上角分享
点击右上角分享
0
联系我们:info@booksci.cn Book学术提供免费学术资源搜索服务,方便国内外学者检索中英文文献。致力于提供最便捷和优质的服务体验。 Copyright © 2023 布克学术 All rights reserved.
京ICP备2023020795号-1
ghs 京公网安备 11010802042870号
Book学术文献互助
Book学术文献互助群
群 号:604180095
Book学术官方微信