Factors associated with early response to efgartigimod in patients with generalized myasthenia gravis: a multicenter retrospective observational study.

IF 4.6 2区 医学 Q1 CLINICAL NEUROLOGY
Wenjia Zhu, Yuping Chen, Cong Tian, Jingsi Wang, Xinmei Wen, Hua Lou, Yuting Jiang, Li Di, Shanshan Gu, Yan Wang, Yaye Wang, Yan Lu, Min Wang, Min Xu, Hai Chen, Yuying Zhao, Guoyan Qi, Yuwei Da
{"title":"Factors associated with early response to efgartigimod in patients with generalized myasthenia gravis: a multicenter retrospective observational study.","authors":"Wenjia Zhu, Yuping Chen, Cong Tian, Jingsi Wang, Xinmei Wen, Hua Lou, Yuting Jiang, Li Di, Shanshan Gu, Yan Wang, Yaye Wang, Yan Lu, Min Wang, Min Xu, Hai Chen, Yuying Zhao, Guoyan Qi, Yuwei Da","doi":"10.1007/s00415-025-13367-8","DOIUrl":null,"url":null,"abstract":"<p><strong>Background and purpose: </strong>Efgartigimod has demonstrated efficacy in generalized myasthenia gravis (gMG) in both clinical trials and real-world studies. However, factors influencing early response have been less reported. This study aimed to evaluate the efficacy of efgartigimod in a multicenter gMG cohort and to identify the clinical factors associated with early therapeutic response.</p><p><strong>Methods: </strong>This multicenter, real-world, retrospective, observational study included 115 gMG patients administered efgartigimod across four myasthenia gravis (MG) centers. Responders were defined as patients with a ≥ 2-point Myasthenia Gravis Activities of Daily Living (MG-ADL) or ≥ 3-point Quantitative Myasthenia Gravis Score (QMG) score reduction, while early responders were those achieving score reductions after the first infusion. Subgroup analyses were conducted based on immunosuppressant (IST) use. Logistic regression analysis was performed to identify factors associated with response to first efgartigimod infusion according to MG-ADL or QMG scores reduction. Variables were compared between responders and non-responders to identify early response factors.</p><p><strong>Results: </strong>After the first infusion, 72.5% of patients achieved improvement in MG-ADL and 60.5% in QMG, with these rates increasing to 93.3% and 87.5% respectively by the fourth infusion. Efgartigimod demonstrated the most significant improvement in bulbar, limb, and ocular symptoms; however, there was no statistically significant improvement in respiratory symptoms occurred during the initial 4-week treatment period. Multivariate logistic analysis showed that short disease duration and high MG-ADL bulbar score at baseline indicated early response. High QMG bulbar score at baseline also indicated early response. Efficacy was independent of IST use. No patients discontinued treatment due to severe adverse events; minor side effects were not recorded.</p><p><strong>Conclusions: </strong>Efgartigimod demonstrated robust efficacy in gMG patients. Early response was linked to shorter disease duration and severe bulbar symptoms, which promotes the identification of patients who are likely to benefit quickly from efgartigimod.</p>","PeriodicalId":16558,"journal":{"name":"Journal of Neurology","volume":"272 9","pages":"622"},"PeriodicalIF":4.6000,"publicationDate":"2025-09-08","publicationTypes":"Journal Article","fieldsOfStudy":null,"isOpenAccess":false,"openAccessPdf":"https://www.ncbi.nlm.nih.gov/pmc/articles/PMC12417274/pdf/","citationCount":"0","resultStr":null,"platform":"Semanticscholar","paperid":null,"PeriodicalName":"Journal of Neurology","FirstCategoryId":"3","ListUrlMain":"https://doi.org/10.1007/s00415-025-13367-8","RegionNum":2,"RegionCategory":"医学","ArticlePicture":[],"TitleCN":null,"AbstractTextCN":null,"PMCID":null,"EPubDate":"","PubModel":"","JCR":"Q1","JCRName":"CLINICAL NEUROLOGY","Score":null,"Total":0}
引用次数: 0

Abstract

Background and purpose: Efgartigimod has demonstrated efficacy in generalized myasthenia gravis (gMG) in both clinical trials and real-world studies. However, factors influencing early response have been less reported. This study aimed to evaluate the efficacy of efgartigimod in a multicenter gMG cohort and to identify the clinical factors associated with early therapeutic response.

Methods: This multicenter, real-world, retrospective, observational study included 115 gMG patients administered efgartigimod across four myasthenia gravis (MG) centers. Responders were defined as patients with a ≥ 2-point Myasthenia Gravis Activities of Daily Living (MG-ADL) or ≥ 3-point Quantitative Myasthenia Gravis Score (QMG) score reduction, while early responders were those achieving score reductions after the first infusion. Subgroup analyses were conducted based on immunosuppressant (IST) use. Logistic regression analysis was performed to identify factors associated with response to first efgartigimod infusion according to MG-ADL or QMG scores reduction. Variables were compared between responders and non-responders to identify early response factors.

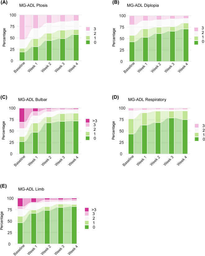
Results: After the first infusion, 72.5% of patients achieved improvement in MG-ADL and 60.5% in QMG, with these rates increasing to 93.3% and 87.5% respectively by the fourth infusion. Efgartigimod demonstrated the most significant improvement in bulbar, limb, and ocular symptoms; however, there was no statistically significant improvement in respiratory symptoms occurred during the initial 4-week treatment period. Multivariate logistic analysis showed that short disease duration and high MG-ADL bulbar score at baseline indicated early response. High QMG bulbar score at baseline also indicated early response. Efficacy was independent of IST use. No patients discontinued treatment due to severe adverse events; minor side effects were not recorded.

Conclusions: Efgartigimod demonstrated robust efficacy in gMG patients. Early response was linked to shorter disease duration and severe bulbar symptoms, which promotes the identification of patients who are likely to benefit quickly from efgartigimod.

Abstract Image

Abstract Image

Abstract Image

广泛性重症肌无力患者对伐加替莫德早期反应的相关因素:一项多中心回顾性观察研究。
背景和目的:在临床试验和现实世界的研究中,Efgartigimod已证明对广泛性重症肌无力(gMG)有疗效。然而,影响早期反应的因素报道较少。本研究旨在评估依加替莫德在多中心gMG队列中的疗效,并确定与早期治疗反应相关的临床因素。方法:这项多中心、真实世界、回顾性、观察性研究包括115名在4个重症肌无力(MG)中心接受efgartigimod治疗的重症肌无力患者。应答者定义为重症肌无力日常生活活动(MG-ADL)评分降低≥2点或重症肌无力定量评分(QMG)评分降低≥3点的患者,而早期应答者定义为首次输注后评分降低的患者。根据免疫抑制剂(IST)的使用情况进行亚组分析。采用Logistic回归分析,根据MG-ADL或QMG评分降低,确定与首次输注埃加替莫德反应相关的因素。比较反应者和无反应者之间的变量,以确定早期反应因素。结果:第一次输注后,72.5%的患者MG-ADL改善,60.5%的患者QMG改善,第四次输注后分别提高到93.3%和87.5%。艾夫加替莫德对球、肢体和眼部症状的改善最为显著;然而,在最初的4周治疗期间,呼吸道症状没有统计学上的显著改善。多因素logistic分析显示病程短,基线时MG-ADL球评分高,提示反应早。基线时高的QMG球评分也表明早期反应。疗效与IST的使用无关。无患者因严重不良事件中断治疗;没有记录轻微的副作用。结论:依加替莫德对gMG患者疗效显著。早期反应与较短的病程和严重的球症状有关,这有助于识别可能从艾加替莫德中迅速受益的患者。
本文章由计算机程序翻译,如有差异,请以英文原文为准。
求助全文
约1分钟内获得全文 求助全文
来源期刊
Journal of Neurology
Journal of Neurology 医学-临床神经学
CiteScore
10.00
自引率
5.00%
发文量
558
审稿时长
1 months
期刊介绍: The Journal of Neurology is an international peer-reviewed journal which provides a source for publishing original communications and reviews on clinical neurology covering the whole field. In addition, Letters to the Editors serve as a forum for clinical cases and the exchange of ideas which highlight important new findings. A section on Neurological progress serves to summarise the major findings in certain fields of neurology. Commentaries on new developments in clinical neuroscience, which may be commissioned or submitted, are published as editorials. Every neurologist interested in the current diagnosis and treatment of neurological disorders needs access to the information contained in this valuable journal.
×
引用
GB/T 7714-2015
复制
MLA
复制
APA
复制
导出至
BibTeX EndNote RefMan NoteFirst NoteExpress
×
提示
您的信息不完整,为了账户安全,请先补充。
现在去补充
×
提示
您因"违规操作"
具体请查看互助需知
我知道了
×
提示
确定
请完成安全验证×
copy
已复制链接
快去分享给好友吧!
我知道了
右上角分享
点击右上角分享
0
联系我们:info@booksci.cn Book学术提供免费学术资源搜索服务,方便国内外学者检索中英文文献。致力于提供最便捷和优质的服务体验。 Copyright © 2023 布克学术 All rights reserved.
京ICP备2023020795号-1
ghs 京公网安备 11010802042870号
Book学术文献互助
Book学术文献互助群
群 号:604180095
Book学术官方微信