Does civilian oversight impact police legitimacy?

IF 3.8 Q2 MULTIDISCIPLINARY SCIENCES
PNAS nexus Pub Date : 2025-08-21 eCollection Date: 2025-09-01 DOI:10.1093/pnasnexus/pgaf267
Kaylyn Jackson Schiff, Daniel S Schiff, Bryant J Moy, Joshua McCrain, Scott M Mourtgos, Ian T Adams
{"title":"Does civilian oversight impact police legitimacy?","authors":"Kaylyn Jackson Schiff, Daniel S Schiff, Bryant J Moy, Joshua McCrain, Scott M Mourtgos, Ian T Adams","doi":"10.1093/pnasnexus/pgaf267","DOIUrl":null,"url":null,"abstract":"<p><p>Does the implementation of external oversight in policing improve public perceptions of police legitimacy? Civilian review boards (CRBs) are frequently promoted as mechanisms to enhance the legitimacy of police agencies by providing independent oversight. Despite public support for CRBs, their adoption and effectiveness remain limited, raising concerns about their actual impact on procedural fairness and police legitimacy. This study assesses the role of CRBs in shaping public perceptions by examining various decision-making scenarios involving police chiefs and CRBs. Using a survey experiment fielded to 2,503 respondents, we investigate whether CRBs enhance legitimacy when they either coincide with or conflict with police chiefs' determinations in cases of officer misconduct. Our findings suggest that while CRBs may enhance perceptions of procedural fairness for some, particularly those with negative views of police, their involvement does not generally increase legitimacy. In fact, when CRBs conflict with police chiefs, they may diminish public trust in both policing and civilian oversight and further entrench politically polarized attitudes towards policing. These results provide empirical evidence to support concerns that CRBs might not fulfill their intended role in enhancing police legitimacy, especially in cases of institutional disagreement.</p>","PeriodicalId":74468,"journal":{"name":"PNAS nexus","volume":"4 9","pages":"pgaf267"},"PeriodicalIF":3.8000,"publicationDate":"2025-08-21","publicationTypes":"Journal Article","fieldsOfStudy":null,"isOpenAccess":false,"openAccessPdf":"https://www.ncbi.nlm.nih.gov/pmc/articles/PMC12406122/pdf/","citationCount":"0","resultStr":null,"platform":"Semanticscholar","paperid":null,"PeriodicalName":"PNAS nexus","FirstCategoryId":"1085","ListUrlMain":"https://doi.org/10.1093/pnasnexus/pgaf267","RegionNum":0,"RegionCategory":null,"ArticlePicture":[],"TitleCN":null,"AbstractTextCN":null,"PMCID":null,"EPubDate":"2025/9/1 0:00:00","PubModel":"eCollection","JCR":"Q2","JCRName":"MULTIDISCIPLINARY SCIENCES","Score":null,"Total":0}
引用次数: 0

Abstract

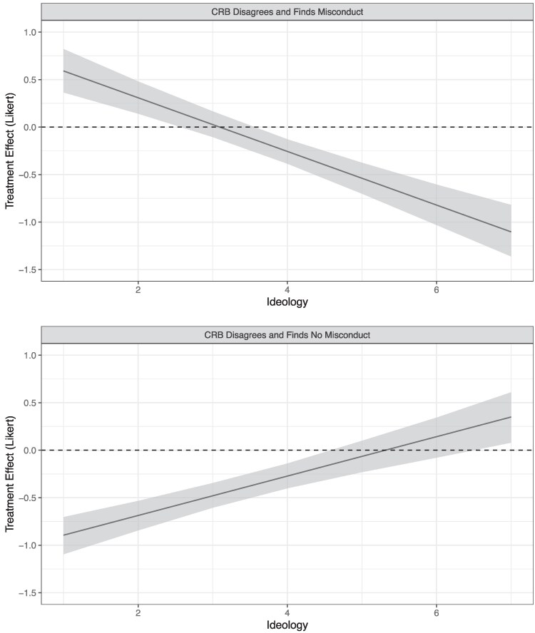
Does the implementation of external oversight in policing improve public perceptions of police legitimacy? Civilian review boards (CRBs) are frequently promoted as mechanisms to enhance the legitimacy of police agencies by providing independent oversight. Despite public support for CRBs, their adoption and effectiveness remain limited, raising concerns about their actual impact on procedural fairness and police legitimacy. This study assesses the role of CRBs in shaping public perceptions by examining various decision-making scenarios involving police chiefs and CRBs. Using a survey experiment fielded to 2,503 respondents, we investigate whether CRBs enhance legitimacy when they either coincide with or conflict with police chiefs' determinations in cases of officer misconduct. Our findings suggest that while CRBs may enhance perceptions of procedural fairness for some, particularly those with negative views of police, their involvement does not generally increase legitimacy. In fact, when CRBs conflict with police chiefs, they may diminish public trust in both policing and civilian oversight and further entrench politically polarized attitudes towards policing. These results provide empirical evidence to support concerns that CRBs might not fulfill their intended role in enhancing police legitimacy, especially in cases of institutional disagreement.

Abstract Image

Abstract Image

民事监督会影响警察的合法性吗?
在警务中实施外部监督是否能提高公众对警察合法性的看法?民事审查委员会(crb)经常被宣传为通过提供独立监督来提高警察机构合法性的机制。尽管公众支持crb,但它们的采用和有效性仍然有限,令人担心它们对程序公平和警察合法性的实际影响。本研究通过考察涉及警察局长和社区服务机构的各种决策情景,评估社区服务机构在塑造公众认知方面的作用。通过对2,503名受访者的调查实验,我们调查了当crb与警察局长在官员不当行为案件中的决定一致或冲突时,crb是否会增强合法性。我们的研究结果表明,虽然crb可能会提高一些人对程序公平性的看法,特别是那些对警察持负面看法的人,但他们的参与通常不会增加合法性。事实上,当crb与警察局长发生冲突时,他们可能会降低公众对警察和民事监督的信任,并进一步巩固对警察的政治两极分化态度。这些结果提供了经验证据,支持crb可能无法履行其在提高警察合法性方面的预期作用的担忧,特别是在制度分歧的情况下。
本文章由计算机程序翻译,如有差异,请以英文原文为准。
求助全文
约1分钟内获得全文 求助全文
来源期刊
CiteScore
1.80
自引率
0.00%
发文量
0
×
引用
GB/T 7714-2015
复制
MLA
复制
APA
复制
导出至
BibTeX EndNote RefMan NoteFirst NoteExpress
×
提示
您的信息不完整,为了账户安全,请先补充。
现在去补充
×
提示
您因"违规操作"
具体请查看互助需知
我知道了
×
提示
确定
请完成安全验证×
copy
已复制链接
快去分享给好友吧!
我知道了
右上角分享
点击右上角分享
0
联系我们:info@booksci.cn Book学术提供免费学术资源搜索服务,方便国内外学者检索中英文文献。致力于提供最便捷和优质的服务体验。 Copyright © 2023 布克学术 All rights reserved.
京ICP备2023020795号-1
ghs 京公网安备 11010802042870号
Book学术文献互助
Book学术文献互助群
群 号:604180095
Book学术官方微信