The use of ADC histogram analysis in the diagnosis and determination of aggressiveness of peripheral zone prostate cancer.

Polish journal of radiology Pub Date : 2025-07-28 eCollection Date: 2025-01-01 DOI:10.5114/pjr/205459
Halil İbrahim Şara, Hasan Aydin, Fatih Hizli
{"title":"The use of ADC histogram analysis in the diagnosis and determination of aggressiveness of peripheral zone prostate cancer.","authors":"Halil İbrahim Şara, Hasan Aydin, Fatih Hizli","doi":"10.5114/pjr/205459","DOIUrl":null,"url":null,"abstract":"<p><strong>Purpose: </strong>The purpose of this study was to determine the effectiveness of ADC histogram analysis in diagnosing and determining the aggressiveness of peripheral zone (PZ) prostate cancer, and to reveal the relationship between Gleason and PI-RADS scores.Material and method: 61 patients who underwent standard 12-core and cognitive prostate biopsy and multiparametric prostate magnetic resonance imaging before biopsy were included in the study. According to the pathology results, patients were classified as either having clinically significant cancer with malignancy (<i>n</i> = 35) or as clinically insignificant - benign (<i>n</i> = 26). The effectiveness of ADC histogram parameters to distinguish between benign and malignant lesions was investigated. Subsequently, 35 patients in the malignant group were grouped according to their Gleason scores, and the relationship between ADC histogram parameters and Gleason scores was examined.</p><p><strong>Results: </strong>ADC max, standard deviation, entropy, voxel count, and volume were found to be significantly different between the benign and malignant groups (<i>p</i> < 0.05; <i>p</i> < 0.05; <i>p</i> < 0.01; <i>p</i> < 0.01; <i>p</i> < 0.01). According to the ROC curve: entropy (AUC = 0.75; 95% CI: 0.63-0.87), voxel count (AUC = 0.83; 95% CI: 0.73-0.93), and volume values (AUC = 0.83; 95% CI: 0.73-0.93) were statistically significant in the diagnosis of benign and malignant lesions in the prostate gland (area under the ROC curves). In the logistic regression analysis models (backward), it was found that an increase in volume increased the risk of malignant tumours by 1.75 times (<i>p</i> = 0.04; OR = 1.75; 95% CI: 1.00-3.04).</p><p><strong>Conclusions: </strong>ADC histogram data contribute to the diagnosis of benign-malignant differentiation in PZ prostate lesions and predict the Gleason score in malignant lesions.</p>","PeriodicalId":94174,"journal":{"name":"Polish journal of radiology","volume":"90 ","pages":"e374-e383"},"PeriodicalIF":0.0000,"publicationDate":"2025-07-28","publicationTypes":"Journal Article","fieldsOfStudy":null,"isOpenAccess":false,"openAccessPdf":"https://www.ncbi.nlm.nih.gov/pmc/articles/PMC12403650/pdf/","citationCount":"0","resultStr":null,"platform":"Semanticscholar","paperid":null,"PeriodicalName":"Polish journal of radiology","FirstCategoryId":"1085","ListUrlMain":"https://doi.org/10.5114/pjr/205459","RegionNum":0,"RegionCategory":null,"ArticlePicture":[],"TitleCN":null,"AbstractTextCN":null,"PMCID":null,"EPubDate":"2025/1/1 0:00:00","PubModel":"eCollection","JCR":"","JCRName":"","Score":null,"Total":0}
引用次数: 0

Abstract

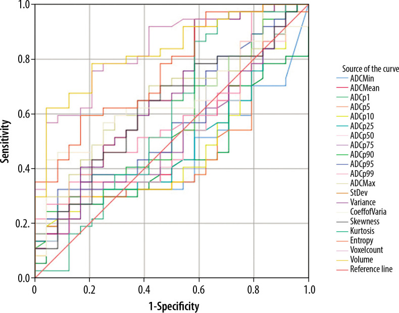
Purpose: The purpose of this study was to determine the effectiveness of ADC histogram analysis in diagnosing and determining the aggressiveness of peripheral zone (PZ) prostate cancer, and to reveal the relationship between Gleason and PI-RADS scores.Material and method: 61 patients who underwent standard 12-core and cognitive prostate biopsy and multiparametric prostate magnetic resonance imaging before biopsy were included in the study. According to the pathology results, patients were classified as either having clinically significant cancer with malignancy (n = 35) or as clinically insignificant - benign (n = 26). The effectiveness of ADC histogram parameters to distinguish between benign and malignant lesions was investigated. Subsequently, 35 patients in the malignant group were grouped according to their Gleason scores, and the relationship between ADC histogram parameters and Gleason scores was examined.

Results: ADC max, standard deviation, entropy, voxel count, and volume were found to be significantly different between the benign and malignant groups (p < 0.05; p < 0.05; p < 0.01; p < 0.01; p < 0.01). According to the ROC curve: entropy (AUC = 0.75; 95% CI: 0.63-0.87), voxel count (AUC = 0.83; 95% CI: 0.73-0.93), and volume values (AUC = 0.83; 95% CI: 0.73-0.93) were statistically significant in the diagnosis of benign and malignant lesions in the prostate gland (area under the ROC curves). In the logistic regression analysis models (backward), it was found that an increase in volume increased the risk of malignant tumours by 1.75 times (p = 0.04; OR = 1.75; 95% CI: 1.00-3.04).

Conclusions: ADC histogram data contribute to the diagnosis of benign-malignant differentiation in PZ prostate lesions and predict the Gleason score in malignant lesions.

Abstract Image

Abstract Image

Abstract Image

ADC直方图分析在外周带前列腺癌侵袭性诊断及判定中的应用。
目的:本研究旨在确定ADC直方图分析在外周带前列腺癌(PZ)侵袭性诊断中的有效性,并揭示Gleason与PI-RADS评分之间的关系。材料与方法:选取61例活检前行标准12核及认知前列腺活检及多参数前列腺磁共振成像的患者作为研究对象。根据病理结果将患者分为临床显著癌伴恶性(n = 35)和临床不显著-良性(n = 26)两组。研究了ADC直方图参数区分良恶性病变的有效性。随后,根据Gleason评分对35例恶性组患者进行分组,并检测ADC直方图参数与Gleason评分的关系。结果:良性组与恶性组ADC max、标准差、熵、体素数、体积差异均有统计学意义(p < 0.05、p < 0.05、p < 0.01、p < 0.01、p < 0.01)。根据ROC曲线,熵(AUC = 0.75, 95% CI: 0.63-0.87)、体素计数(AUC = 0.83, 95% CI: 0.73-0.93)、体积值(AUC = 0.83, 95% CI: 0.73-0.93)对前列腺(ROC曲线下面积)良恶性病变的诊断均有统计学意义。在logistic回归分析模型(后向)中发现,体积的增加使恶性肿瘤的发生风险增加1.75倍(p = 0.04; OR = 1.75; 95% CI: 1.00-3.04)。结论:ADC直方图数据有助于PZ前列腺病变良恶性分化的诊断,预测恶性病变Gleason评分。
本文章由计算机程序翻译,如有差异,请以英文原文为准。
求助全文
约1分钟内获得全文 求助全文
来源期刊
CiteScore
2.10
自引率
0.00%
发文量
0
×
引用
GB/T 7714-2015
复制
MLA
复制
APA
复制
导出至
BibTeX EndNote RefMan NoteFirst NoteExpress
×
提示
您的信息不完整,为了账户安全,请先补充。
现在去补充
×
提示
您因"违规操作"
具体请查看互助需知
我知道了
×
提示
确定
请完成安全验证×
copy
已复制链接
快去分享给好友吧!
我知道了
右上角分享
点击右上角分享
0
联系我们:info@booksci.cn Book学术提供免费学术资源搜索服务,方便国内外学者检索中英文文献。致力于提供最便捷和优质的服务体验。 Copyright © 2023 布克学术 All rights reserved.
京ICP备2023020795号-1
ghs 京公网安备 11010802042870号
Book学术文献互助
Book学术文献互助群
群 号:604180095
Book学术官方微信