Geographic distribution and trends of small-area burn claims in Japan: An analysis using NDB open data from 2014 to 2021.

Scars, burns & healing Pub Date : 2025-08-19 eCollection Date: 2025-01-01 DOI:10.1177/20595131251371009
Takeshi Utsunomiya, Takahiro Ueda
{"title":"Geographic distribution and trends of small-area burn claims in Japan: An analysis using NDB open data from 2014 to 2021.","authors":"Takeshi Utsunomiya, Takahiro Ueda","doi":"10.1177/20595131251371009","DOIUrl":null,"url":null,"abstract":"<p><strong>Introduction: </strong>Burns are a major global health issue, causing approximately 180,000 deaths annually and leading to high morbidity rates. The Japan Trauma Data Bank Report 2022 recorded 1749 burn cases, with a mortality rate of 17.6%. However, comprehensive national data regarding non-fatal burns and regional differences in Japan are lacking. This study aimed to analyze the distribution of small-area burns among patients across Japanese prefectures using the National Database of Health Insurance Claims and Specific Health Checkups of Japan (NDB).</p><p><strong>Methods: </strong>We utilized NDB Open Data from fiscal years 2014 to 2021 to investigate medical claims for small-area burns. The number of claims was normalized to the population of each prefecture using demographic data obtained from eStat, and the correlation between the number of claims and per capita income in each prefecture was assessed.</p><p><strong>Results: </strong>The highest number of small-area burn claims was observed among children aged 0-5 years and individuals aged >65 years. Women aged 15-64 years submit approximately twice as many claims as men in the same age group. Significant geographic variations were observed, with more claims in Kochi, Saga, Kumamoto, and Kagoshima and fewer claims in Okinawa, Hokkaido, and Chiba. The number of claims decreased annually, with Saga Prefecture exhibiting the most substantial reduction. There is a significant negative correlation between the number of claims and per capita income.</p><p><strong>Conclusion: </strong>The annual decrease in claims corresponds with previous reports of a decreased incidence of burn injuries. Regional differences suggest an influence of local factors on burn incidence. Further research is necessary to explore these regional disparities and to identify effective burn prevention strategies.</p><p><strong>Lay summary: </strong>Burns are a major global health problem, causing many injuries and deaths each year. In Japan, severe burns are well-documented, but there is little information about small-area burns that do not require hospitalization. Understanding how often and where these small-area burns occur can help create better prevention strategies. This study aims to understand the frequency and distribution of small-area burns across different regions in Japan and among various age and gender groups. We want to identify which areas have higher or lower rates of small-area burns and observe any trends over time. We used data from Japan's National Database of Health Insurance Claims, covering 2014 to 2021. This database includes information on medical treatments paid for by health insurance. We calculated the number of small-area burns per 1000 people for each prefecture (region) in Japan and analyzed differences based on age and gender. We found small-area burns are most common among young children (aged 0-5) and older adults (over 65). Women aged 15-64 had about twice as many small-area burns as men in the same age group. There were significant regional differences: some areas, like Kochi and Saga, had higher rates of small-area burns, while others, like Okinawa and Hokkaido, had lower rates. Over the years, small-area burns decreased, with Saga showing the most notable reduction.Our study provides valuable insights into the patterns of small-area burns in Japan, which can help in designing targeted prevention efforts. However, we did not investigate the specific reasons behind the regional differences or the decrease in burn cases over time. This underscores the need for further research to understand these factors better and potentially make more significant contributions to public health.</p>","PeriodicalId":94205,"journal":{"name":"Scars, burns & healing","volume":"11 ","pages":"20595131251371009"},"PeriodicalIF":0.0000,"publicationDate":"2025-08-19","publicationTypes":"Journal Article","fieldsOfStudy":null,"isOpenAccess":false,"openAccessPdf":"https://www.ncbi.nlm.nih.gov/pmc/articles/PMC12368327/pdf/","citationCount":"0","resultStr":null,"platform":"Semanticscholar","paperid":null,"PeriodicalName":"Scars, burns & healing","FirstCategoryId":"1085","ListUrlMain":"https://doi.org/10.1177/20595131251371009","RegionNum":0,"RegionCategory":null,"ArticlePicture":[],"TitleCN":null,"AbstractTextCN":null,"PMCID":null,"EPubDate":"2025/1/1 0:00:00","PubModel":"eCollection","JCR":"","JCRName":"","Score":null,"Total":0}
引用次数: 0

Abstract

Introduction: Burns are a major global health issue, causing approximately 180,000 deaths annually and leading to high morbidity rates. The Japan Trauma Data Bank Report 2022 recorded 1749 burn cases, with a mortality rate of 17.6%. However, comprehensive national data regarding non-fatal burns and regional differences in Japan are lacking. This study aimed to analyze the distribution of small-area burns among patients across Japanese prefectures using the National Database of Health Insurance Claims and Specific Health Checkups of Japan (NDB).

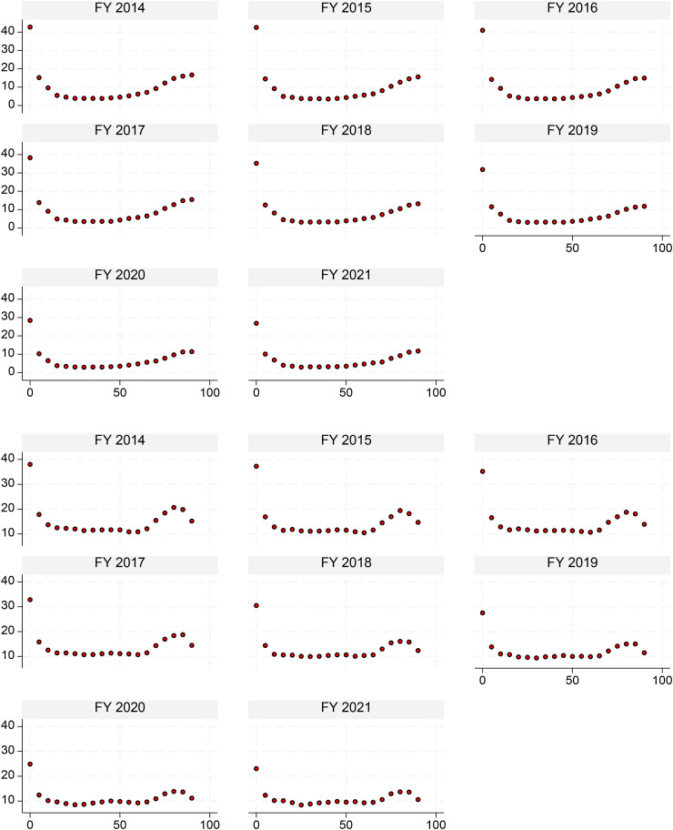
Methods: We utilized NDB Open Data from fiscal years 2014 to 2021 to investigate medical claims for small-area burns. The number of claims was normalized to the population of each prefecture using demographic data obtained from eStat, and the correlation between the number of claims and per capita income in each prefecture was assessed.

Results: The highest number of small-area burn claims was observed among children aged 0-5 years and individuals aged >65 years. Women aged 15-64 years submit approximately twice as many claims as men in the same age group. Significant geographic variations were observed, with more claims in Kochi, Saga, Kumamoto, and Kagoshima and fewer claims in Okinawa, Hokkaido, and Chiba. The number of claims decreased annually, with Saga Prefecture exhibiting the most substantial reduction. There is a significant negative correlation between the number of claims and per capita income.

Conclusion: The annual decrease in claims corresponds with previous reports of a decreased incidence of burn injuries. Regional differences suggest an influence of local factors on burn incidence. Further research is necessary to explore these regional disparities and to identify effective burn prevention strategies.

Lay summary: Burns are a major global health problem, causing many injuries and deaths each year. In Japan, severe burns are well-documented, but there is little information about small-area burns that do not require hospitalization. Understanding how often and where these small-area burns occur can help create better prevention strategies. This study aims to understand the frequency and distribution of small-area burns across different regions in Japan and among various age and gender groups. We want to identify which areas have higher or lower rates of small-area burns and observe any trends over time. We used data from Japan's National Database of Health Insurance Claims, covering 2014 to 2021. This database includes information on medical treatments paid for by health insurance. We calculated the number of small-area burns per 1000 people for each prefecture (region) in Japan and analyzed differences based on age and gender. We found small-area burns are most common among young children (aged 0-5) and older adults (over 65). Women aged 15-64 had about twice as many small-area burns as men in the same age group. There were significant regional differences: some areas, like Kochi and Saga, had higher rates of small-area burns, while others, like Okinawa and Hokkaido, had lower rates. Over the years, small-area burns decreased, with Saga showing the most notable reduction.Our study provides valuable insights into the patterns of small-area burns in Japan, which can help in designing targeted prevention efforts. However, we did not investigate the specific reasons behind the regional differences or the decrease in burn cases over time. This underscores the need for further research to understand these factors better and potentially make more significant contributions to public health.

Abstract Image

Abstract Image

Abstract Image

日本小面积烧伤索赔的地理分布和趋势:2014 - 2021年NDB开放数据分析
导言:烧伤是一个主要的全球健康问题,每年造成约18万人死亡,并导致高发病率。《日本创伤数据库报告2022》记录了1749例烧伤病例,死亡率为17.6%。然而,日本缺乏关于非致命烧伤和地区差异的全面国家数据。本研究旨在利用日本国家健康保险索赔和特定健康检查数据库(NDB)分析日本各县患者中小面积烧伤的分布。方法:利用2014 - 2021财年NDB开放数据对小面积烧伤的医疗索赔进行调查。使用从eStat获得的人口统计数据,将索赔数量归一化为每个州的人口,并评估索赔数量与每个州人均收入之间的相关性。结果:0 ~ 5岁的儿童和0 ~ 65岁的老年人是小面积烧伤索赔人数最多的人群。15-64岁的女性提交的索赔约为同一年龄段男性的两倍。观察到显著的地理差异,高知县、佐贺县、熊本县和鹿儿岛的索赔要求较多,而冲绳、北海道和千叶的索赔要求较少。索赔数量每年都在减少,佐贺县的减少幅度最大。索赔数量与人均收入之间存在显著的负相关关系。结论:每年索赔的减少与先前报道的烧伤发生率下降相一致。区域差异表明当地因素对烧伤发病率的影响。有必要进一步研究这些地区差异,并确定有效的烧伤预防策略。摘要:烧伤是一个主要的全球健康问题,每年造成许多伤害和死亡。在日本,严重烧伤有充分的记录,但关于不需要住院治疗的小区域烧伤的信息很少。了解这些小区域烧伤发生的频率和地点可以帮助制定更好的预防策略。本研究旨在了解日本不同地区、不同年龄和性别群体中小面积烧伤的频率和分布。我们想要确定哪些区域的小面积烧伤率更高或更低,并观察任何随时间变化的趋势。我们使用的数据来自日本国家健康保险索赔数据库,涵盖2014年至2021年。该数据库包括由健康保险支付的医疗信息。我们计算了日本每个县(地区)每1000人中小面积烧伤的数量,并分析了基于年龄和性别的差异。我们发现小面积烧伤在幼儿(0-5岁)和老年人(65岁以上)中最常见。15-64岁女性的小面积烧伤是同年龄段男性的两倍。存在显著的地区差异:高知和佐贺等地区的小面积烧伤率较高,而冲绳和北海道等地区的小面积烧伤率较低。多年来,小面积烧伤减少,佐贺的减少最为显著。我们的研究为日本小面积烧伤的模式提供了有价值的见解,这可以帮助设计有针对性的预防措施。然而,我们没有调查区域差异背后的具体原因或烧伤病例随时间的减少。这强调需要进一步研究,以更好地了解这些因素,并可能对公共卫生作出更重大的贡献。
本文章由计算机程序翻译,如有差异,请以英文原文为准。
求助全文
约1分钟内获得全文 求助全文
来源期刊
自引率
0.00%
发文量
0
审稿时长
15 weeks
×
引用
GB/T 7714-2015
复制
MLA
复制
APA
复制
导出至
BibTeX EndNote RefMan NoteFirst NoteExpress
×
提示
您的信息不完整,为了账户安全,请先补充。
现在去补充
×
提示
您因"违规操作"
具体请查看互助需知
我知道了
×
提示
确定
请完成安全验证×
copy
已复制链接
快去分享给好友吧!
我知道了
右上角分享
点击右上角分享
0
联系我们:info@booksci.cn Book学术提供免费学术资源搜索服务,方便国内外学者检索中英文文献。致力于提供最便捷和优质的服务体验。 Copyright © 2023 布克学术 All rights reserved.
京ICP备2023020795号-1
ghs 京公网安备 11010802042870号
Book学术文献互助
Book学术文献互助群
群 号:604180095
Book学术官方微信