Impact of proning with and without inhaled pulmonary vasodilators and neuromuscular blocking agents in COVID acute respiratory distress syndrome.

Matthew Cabrera, Sarika Bharil, Meghan Chin, Seife Yohannes, Paul Clark
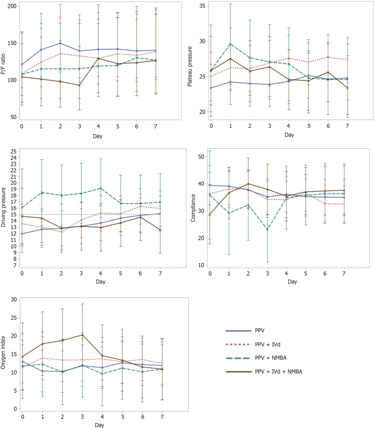
{"title":"Impact of proning with and without inhaled pulmonary vasodilators and neuromuscular blocking agents in COVID acute respiratory distress syndrome.","authors":"Matthew Cabrera, Sarika Bharil, Meghan Chin, Seife Yohannes, Paul Clark","doi":"10.5492/wjccm.v14.i3.101327","DOIUrl":null,"url":null,"abstract":"<p><strong>Background: </strong>A major cause of mortality in the coronavirus disease 2019 (COVID-19) pandemic was acute respiratory distress syndrome (ARDS). Currently, moderate to severe ARDS induced by COVID-19 (COVID ARDS) and other viral and non-viral etiologies are treated by traditional ARDS protocols that recommend 12-16 hours of prone position ventilation (PPV) with neuromuscular blocking agents (NMBA) and a trial of inhaled vasodilators (IVd) if oxygenation does not improve. However, debate on the efficacy of adjuncts to PPV and low tidal volume ventilation persists and evidence about the benefits of IVd/NMBA in COVID ARDS is sparse. In our multi-center retrospective review, we evaluated the impact of PPV, IVd, and NMBA on outcomes and lung mechanics in COVID ARDS patients with moderate to severe ARDS.</p><p><strong>Aim: </strong>To evaluate the impact of PPV used alone or in combination with pulmonary IVd and/or NMBA in mechanically ventilated patients with moderate to severe ARDS during the COVID-19 pandemic.</p><p><strong>Methods: </strong>A retrospective study at two tertiary academic medical centers compared outcomes between COVID ARDS patients receiving PPV and patients in the supine position. PPV patients were divided based on concurrent use of ARDS adjunct therapies resulting in four subgroups: (1) PPV alone; (2) PPV and IVd; (3) PPV and NMBA; and (4) PPV, IVd, and NMBA. Primary outcomes were hospital and intensive care unit (ICU) length of stay (LOS), mortality, and venovenous extracorporeal membrane oxygenation (VV-ECMO) status. Secondary outcomes included changes in lung mechanics at 24-hour intervals for 7 days.</p><p><strong>Results: </strong>Total 114 patients were included in this study. Baseline respiratory parameters and Sequential Organ Failure Assessment scores were significantly worse in the PPV group. ICU LOS and LOS were significantly longer for patients who were proned, but no mortality benefit or difference in VV-ECMO status was found. Among the subgroups, no difference in primary outcomes were found. In the secondary analysis, PPV was associated with a significant improvement in arterial oxygen partial pressure (PaO<sub>2</sub>)/fractional inspired oxygen (FiO<sub>2</sub>) (P/F) ratio from day 1 to day 4 (<i>P</i> < 0.05) and higher driving pressures day 5 to day 7 (<i>P</i> < 0.05). The combination of PPV and IVd together resulted in improvements in P/F ratio from day 1 to day 7 and plateau pressure on day 4 and day 6 (<i>P</i> < 0.05). PPV with NMBA was not associated with improvements in any of the secondary outcomes. The use of all three rescue therapies together resulted in improvements in lung compliance on day 2 (<i>P</i> < 0.05) but no other improvements.</p><p><strong>Conclusion: </strong>In mechanically ventilated patients diagnosed with moderate to severe COVID ARDS, PPV and PPV with the addition of IVd produced a significant and sustained increase in P/F ratio. The combination of PPV, IVd and NMBA improved compliance however this did not reach significance. Mortality and LOS did not improve with adjunct therapies. Further research is warranted to determine the efficacy of these therapies alone and in combination in the treatment of COVID ARDS.</p>","PeriodicalId":66959,"journal":{"name":"世界危重病急救学杂志(英文版)","volume":"14 3","pages":"101327"},"PeriodicalIF":0.0000,"publicationDate":"2025-09-09","publicationTypes":"Journal Article","fieldsOfStudy":null,"isOpenAccess":false,"openAccessPdf":"https://www.ncbi.nlm.nih.gov/pmc/articles/PMC12305004/pdf/","citationCount":"0","resultStr":null,"platform":"Semanticscholar","paperid":null,"PeriodicalName":"世界危重病急救学杂志(英文版)","FirstCategoryId":"3","ListUrlMain":"https://doi.org/10.5492/wjccm.v14.i3.101327","RegionNum":0,"RegionCategory":null,"ArticlePicture":[],"TitleCN":null,"AbstractTextCN":null,"PMCID":null,"EPubDate":"","PubModel":"","JCR":"","JCRName":"","Score":null,"Total":0}
引用次数: 0

Abstract

Background: A major cause of mortality in the coronavirus disease 2019 (COVID-19) pandemic was acute respiratory distress syndrome (ARDS). Currently, moderate to severe ARDS induced by COVID-19 (COVID ARDS) and other viral and non-viral etiologies are treated by traditional ARDS protocols that recommend 12-16 hours of prone position ventilation (PPV) with neuromuscular blocking agents (NMBA) and a trial of inhaled vasodilators (IVd) if oxygenation does not improve. However, debate on the efficacy of adjuncts to PPV and low tidal volume ventilation persists and evidence about the benefits of IVd/NMBA in COVID ARDS is sparse. In our multi-center retrospective review, we evaluated the impact of PPV, IVd, and NMBA on outcomes and lung mechanics in COVID ARDS patients with moderate to severe ARDS.

Aim: To evaluate the impact of PPV used alone or in combination with pulmonary IVd and/or NMBA in mechanically ventilated patients with moderate to severe ARDS during the COVID-19 pandemic.

Methods: A retrospective study at two tertiary academic medical centers compared outcomes between COVID ARDS patients receiving PPV and patients in the supine position. PPV patients were divided based on concurrent use of ARDS adjunct therapies resulting in four subgroups: (1) PPV alone; (2) PPV and IVd; (3) PPV and NMBA; and (4) PPV, IVd, and NMBA. Primary outcomes were hospital and intensive care unit (ICU) length of stay (LOS), mortality, and venovenous extracorporeal membrane oxygenation (VV-ECMO) status. Secondary outcomes included changes in lung mechanics at 24-hour intervals for 7 days.

Results: Total 114 patients were included in this study. Baseline respiratory parameters and Sequential Organ Failure Assessment scores were significantly worse in the PPV group. ICU LOS and LOS were significantly longer for patients who were proned, but no mortality benefit or difference in VV-ECMO status was found. Among the subgroups, no difference in primary outcomes were found. In the secondary analysis, PPV was associated with a significant improvement in arterial oxygen partial pressure (PaO2)/fractional inspired oxygen (FiO2) (P/F) ratio from day 1 to day 4 (P < 0.05) and higher driving pressures day 5 to day 7 (P < 0.05). The combination of PPV and IVd together resulted in improvements in P/F ratio from day 1 to day 7 and plateau pressure on day 4 and day 6 (P < 0.05). PPV with NMBA was not associated with improvements in any of the secondary outcomes. The use of all three rescue therapies together resulted in improvements in lung compliance on day 2 (P < 0.05) but no other improvements.

Conclusion: In mechanically ventilated patients diagnosed with moderate to severe COVID ARDS, PPV and PPV with the addition of IVd produced a significant and sustained increase in P/F ratio. The combination of PPV, IVd and NMBA improved compliance however this did not reach significance. Mortality and LOS did not improve with adjunct therapies. Further research is warranted to determine the efficacy of these therapies alone and in combination in the treatment of COVID ARDS.

Abstract Image

Abstract Image

使用和不使用吸入肺血管扩张剂和神经肌肉阻滞剂对COVID - 19急性呼吸窘迫综合征的影响
背景:2019冠状病毒病(COVID-19)大流行的主要死亡原因是急性呼吸窘迫综合征(ARDS)。目前,由COVID-19 (COVID - ARDS)和其他病毒和非病毒病因引起的中至重度ARDS的治疗采用传统的ARDS方案,如果氧合没有改善,建议使用12-16小时的俯卧位通气(PPV)和神经肌肉阻断剂(NMBA),并进行吸入血管扩张剂(IVd)试验。然而,关于辅助PPV和低潮气量通气的有效性的争论仍然存在,关于IVd/NMBA在COVID - ARDS中的益处的证据很少。在我们的多中心回顾性研究中,我们评估了PPV、IVd和NMBA对中至重度ARDS患者预后和肺力学的影响。目的:评价新冠肺炎大流行期间,PPV单独使用或联合肺IVd和/或NMBA对中重度ARDS机械通气患者的影响。方法:在两所三级学术医疗中心进行回顾性研究,比较采用PPV的COVID - ARDS患者与仰卧位患者的结局。PPV患者根据同时使用ARDS辅助治疗分为四个亚组:(1)单独PPV;(2) PPV和IVd;(3) PPV和NMBA;(4) PPV、IVd和NMBA。主要结局是住院和重症监护病房(ICU)的住院时间(LOS)、死亡率和静脉-静脉体外膜氧合(VV-ECMO)状态。次要结局包括每隔24小时肺力学变化7天。结果:本研究共纳入114例患者。PPV组的基线呼吸参数和序贯器官衰竭评分明显更差。有危象的患者ICU的LOS和LOS明显更长,但没有发现死亡率获益或VV-ECMO状态的差异。在亚组中,主要结局没有发现差异。在二次分析中,PPV与第1 ~ 4天动脉氧分压(PaO2)/分数吸入氧(FiO2) (P/F)比显著改善(P < 0.05)和第5 ~ 7天较高的驾驶压力相关(P < 0.05)。联合应用PPV和IVd可显著提高第1 ~ 7天的P/F比和第4、6天的平台压(P < 0.05)。PPV合并NMBA与任何次要结果的改善无关。联合使用三种抢救疗法后,第2天肺顺应性有所改善(P < 0.05),但其他无改善。结论:在诊断为中重度COVID - ARDS的机械通气患者中,PPV和PPV加IVd可使P/F比显著且持续升高。PPV、IVd和NMBA联合使用可改善依从性,但未达到显著性。辅助治疗没有改善死亡率和LOS。需要进一步的研究来确定这些疗法单独和联合治疗COVID - ARDS的疗效。
本文章由计算机程序翻译,如有差异,请以英文原文为准。
求助全文
约1分钟内获得全文 求助全文
来源期刊
自引率
0.00%
发文量
216
×
引用
GB/T 7714-2015
复制
MLA
复制
APA
复制
导出至
BibTeX EndNote RefMan NoteFirst NoteExpress
×
提示
您的信息不完整,为了账户安全,请先补充。
现在去补充
×
提示
您因"违规操作"
具体请查看互助需知
我知道了
×
提示
确定
请完成安全验证×
copy
已复制链接
快去分享给好友吧!
我知道了
右上角分享
点击右上角分享
0
联系我们:info@booksci.cn Book学术提供免费学术资源搜索服务,方便国内外学者检索中英文文献。致力于提供最便捷和优质的服务体验。 Copyright © 2023 布克学术 All rights reserved.
京ICP备2023020795号-1
ghs 京公网安备 11010802042870号
Book学术文献互助
Book学术文献互助群
群 号:604180095
Book学术官方微信