The correlation between preoperative total lesion glycolysis and lymphovascular invasion based on 18F-FDG PET/CT and its predictive value in primary gastric cancer: a cross-sectional study.

IF 2.3 2区 医学 Q2 RADIOLOGY, NUCLEAR MEDICINE & MEDICAL IMAGING
Quantitative Imaging in Medicine and Surgery Pub Date : 2025-09-01 Epub Date: 2025-08-13 DOI:10.21037/qims-2025-644
Xiu-Qing Xue, Xiao-Feng Li, Xun Shi, Yue-Tao Wang
{"title":"The correlation between preoperative total lesion glycolysis and lymphovascular invasion based on <sup>18</sup>F-FDG PET/CT and its predictive value in primary gastric cancer: a cross-sectional study.","authors":"Xiu-Qing Xue, Xiao-Feng Li, Xun Shi, Yue-Tao Wang","doi":"10.21037/qims-2025-644","DOIUrl":null,"url":null,"abstract":"<p><strong>Background: </strong>Lymphovascular invasion (LVI) is a critical factor in the lymphatic spread of tumor cells, and is closely associated with local recurrence and distant metastasis in gastric cancer. The study aimed to evaluate the correlation and predictive value of preoperative total lesion glycolysis (TLG) in patients with primary gastric cancer as measured by a combination of <sup>18</sup>F-labeled fluoro-2-deoxyglucose (<sup>18</sup>F-FDG) positron emission tomography (PET) and computed tomography (CT) for LVI.</p><p><strong>Methods: </strong>A retrospective analysis of the demographic and <sup>18</sup>F-FDG PET/CT data of 177 patients with gastric cancer diagnosed by postoperative pathology at The Third Affiliated Hospital of Soochow University between January 2014 and August 2021 was conducted. The cohort comprised 124 males and 53 females. The <sup>18</sup>F-FDG PET/CT data analyzed included the primary lesion location and size, lymph node metastasis (LNM) status, and metabolic parameters [i.e., the maximum standardized uptake value (SUVmax), mean standardized uptake value (SUVmean), metabolic tumor volume (MTV), and TLG]. The patients were categorized into LVI-positive (LVI+) and LVI-negative (LVI-) groups based on postoperative pathological findings. Differences in the clinical data between the two groups were analyzed. Univariate and multivariate logistic regression models were employed to assess the correlation between preoperative TLG and LVI. A generalized additive model (GAM) was applied for curve fitting, and receiver operating characteristic (ROC) curves were plotted to evaluate the predictive efficacy of preoperative TLG for LVI.</p><p><strong>Results: </strong>Among the 177 patients, 71 (40.1%) were LVI+, and 106 (59.9%) were LVI-. Significant differences were observed between the two groups in terms of the primary lesion size, LNM status, age, SUVmax, SUVmean, MTV, and TLG (all P<0.05 or P<0.001). A per standard deviation (SD) increase in TLG was associated with a 59.1% increased risk of LVI [odds ratio (OR) =1.591; 95% confidence interval (CI): 1.142-2.216; P=0.006]. After adjusting for confounders, TLG remained significantly associated with an increased risk of LVI (OR per SD: 1.428; 95% CI: 1.018-2.002; P=0.039). Treating TLG as a categorical variable produced consistent results (P for trend =0.014). In the clinical lymph node metastasis positive (cLNM+) subgroup, a TLG value ≥53.3 predicted LVI with a sensitivity of 81.4% (35/43), a specificity of 37.8% (14/37), and an accuracy of 61.3% (49/80). In the clinical lymph node metastasis negative (cLNM-) subgroup, a TLG value ≥41.9 predicted LVI with a sensitivity of 82.1% (23/28), a specificity of 53.6% (37/69), and an accuracy of 61.9% (60/97).</p><p><strong>Conclusions: </strong>Preoperative TLG exhibits a positive linear correlation with the risk of LVI in primary gastric cancer. TLG shows high sensitivity for predicting LVI, making it a valuable imaging biomarker for assessing LVI risk in gastric cancer, especially in cLNM- but LVI+ patients.</p>","PeriodicalId":54267,"journal":{"name":"Quantitative Imaging in Medicine and Surgery","volume":"15 9","pages":"7738-7748"},"PeriodicalIF":2.3000,"publicationDate":"2025-09-01","publicationTypes":"Journal Article","fieldsOfStudy":null,"isOpenAccess":false,"openAccessPdf":"https://www.ncbi.nlm.nih.gov/pmc/articles/PMC12397669/pdf/","citationCount":"0","resultStr":null,"platform":"Semanticscholar","paperid":null,"PeriodicalName":"Quantitative Imaging in Medicine and Surgery","FirstCategoryId":"3","ListUrlMain":"https://doi.org/10.21037/qims-2025-644","RegionNum":2,"RegionCategory":"医学","ArticlePicture":[],"TitleCN":null,"AbstractTextCN":null,"PMCID":null,"EPubDate":"2025/8/13 0:00:00","PubModel":"Epub","JCR":"Q2","JCRName":"RADIOLOGY, NUCLEAR MEDICINE & MEDICAL IMAGING","Score":null,"Total":0}
引用次数: 0

Abstract

Background: Lymphovascular invasion (LVI) is a critical factor in the lymphatic spread of tumor cells, and is closely associated with local recurrence and distant metastasis in gastric cancer. The study aimed to evaluate the correlation and predictive value of preoperative total lesion glycolysis (TLG) in patients with primary gastric cancer as measured by a combination of 18F-labeled fluoro-2-deoxyglucose (18F-FDG) positron emission tomography (PET) and computed tomography (CT) for LVI.

Methods: A retrospective analysis of the demographic and 18F-FDG PET/CT data of 177 patients with gastric cancer diagnosed by postoperative pathology at The Third Affiliated Hospital of Soochow University between January 2014 and August 2021 was conducted. The cohort comprised 124 males and 53 females. The 18F-FDG PET/CT data analyzed included the primary lesion location and size, lymph node metastasis (LNM) status, and metabolic parameters [i.e., the maximum standardized uptake value (SUVmax), mean standardized uptake value (SUVmean), metabolic tumor volume (MTV), and TLG]. The patients were categorized into LVI-positive (LVI+) and LVI-negative (LVI-) groups based on postoperative pathological findings. Differences in the clinical data between the two groups were analyzed. Univariate and multivariate logistic regression models were employed to assess the correlation between preoperative TLG and LVI. A generalized additive model (GAM) was applied for curve fitting, and receiver operating characteristic (ROC) curves were plotted to evaluate the predictive efficacy of preoperative TLG for LVI.

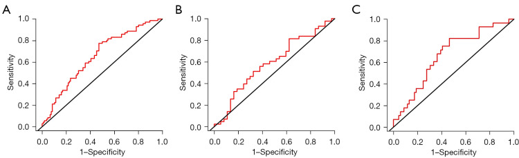
Results: Among the 177 patients, 71 (40.1%) were LVI+, and 106 (59.9%) were LVI-. Significant differences were observed between the two groups in terms of the primary lesion size, LNM status, age, SUVmax, SUVmean, MTV, and TLG (all P<0.05 or P<0.001). A per standard deviation (SD) increase in TLG was associated with a 59.1% increased risk of LVI [odds ratio (OR) =1.591; 95% confidence interval (CI): 1.142-2.216; P=0.006]. After adjusting for confounders, TLG remained significantly associated with an increased risk of LVI (OR per SD: 1.428; 95% CI: 1.018-2.002; P=0.039). Treating TLG as a categorical variable produced consistent results (P for trend =0.014). In the clinical lymph node metastasis positive (cLNM+) subgroup, a TLG value ≥53.3 predicted LVI with a sensitivity of 81.4% (35/43), a specificity of 37.8% (14/37), and an accuracy of 61.3% (49/80). In the clinical lymph node metastasis negative (cLNM-) subgroup, a TLG value ≥41.9 predicted LVI with a sensitivity of 82.1% (23/28), a specificity of 53.6% (37/69), and an accuracy of 61.9% (60/97).

Conclusions: Preoperative TLG exhibits a positive linear correlation with the risk of LVI in primary gastric cancer. TLG shows high sensitivity for predicting LVI, making it a valuable imaging biomarker for assessing LVI risk in gastric cancer, especially in cLNM- but LVI+ patients.

Abstract Image

Abstract Image

Abstract Image

基于18F-FDG PET/CT的术前病变全糖溶解与淋巴血管侵袭的相关性及其对原发性胃癌的预测价值:一项横断面研究。
背景:淋巴血管侵袭(LVI)是肿瘤细胞淋巴扩散的关键因素,与胃癌局部复发和远处转移密切相关。本研究旨在通过18f标记的氟-2-脱氧葡萄糖(18F-FDG)正电子发射断层扫描(PET)和计算机断层扫描(CT)对LVI的联合测量,评估原发性胃癌患者术前全病变糖酶解(TLG)的相关性和预测价值。方法:回顾性分析2014年1月至2021年8月苏州大学第三附属医院经术后病理诊断的177例胃癌患者的人口学及18F-FDG PET/CT资料。该队列包括124名男性和53名女性。所分析的18F-FDG PET/CT数据包括原发病灶的位置和大小、淋巴结转移(LNM)状态以及代谢参数[即最大标准化摄取值(SUVmax)、平均标准化摄取值(SUVmean)、代谢肿瘤体积(MTV)和TLG]。根据术后病理结果将患者分为LVI阳性(LVI+)组和LVI阴性(LVI-)组。分析两组临床资料的差异。采用单因素和多因素logistic回归模型评估术前TLG与LVI的相关性。采用广义加性模型(GAM)进行曲线拟合,绘制受试者工作特征(ROC)曲线,评价术前TLG对LVI的预测效果。结果:177例患者中LVI+ 71例(40.1%),LVI- 106例(59.9%)。两组患者在原发灶大小、LNM状态、年龄、SUVmax、SUVmean、MTV、TLG等指标上差异均有统计学意义(p < 0.05)。结论:术前TLG与原发性胃癌LVI发生风险呈线性正相关。TLG在预测LVI方面具有较高的敏感性,是评估胃癌,特别是cLNM-但LVI+患者LVI风险的有价值的影像学生物标志物。
本文章由计算机程序翻译,如有差异,请以英文原文为准。
求助全文
约1分钟内获得全文 求助全文
来源期刊
Quantitative Imaging in Medicine and Surgery
Quantitative Imaging in Medicine and Surgery Medicine-Radiology, Nuclear Medicine and Imaging
CiteScore
4.20
自引率
17.90%
发文量
252
期刊介绍: Information not localized
×
引用
GB/T 7714-2015
复制
MLA
复制
APA
复制
导出至
BibTeX EndNote RefMan NoteFirst NoteExpress
×
提示
您的信息不完整,为了账户安全,请先补充。
现在去补充
×
提示
您因"违规操作"
具体请查看互助需知
我知道了
×
提示
确定
请完成安全验证×
copy
已复制链接
快去分享给好友吧!
我知道了
右上角分享
点击右上角分享
0
联系我们:info@booksci.cn Book学术提供免费学术资源搜索服务,方便国内外学者检索中英文文献。致力于提供最便捷和优质的服务体验。 Copyright © 2023 布克学术 All rights reserved.
京ICP备2023020795号-1
ghs 京公网安备 11010802042870号
Book学术文献互助
Book学术文献互助群
群 号:604180095
Book学术官方微信