SDS-EDTA-treated chromatography paper strips for sampling and transportation of monkeypox virus, varicella zoster virus and herpes simplex 1 and 2 viruses.

IF 4 3区 医学 Q2 VIROLOGY
Nikola Sklenovská, Mandy Bloemen, Graciela Andrei, Katrien Bruyninckx, Elke Wollants, Marc Van Ranst
{"title":"SDS-EDTA-treated chromatography paper strips for sampling and transportation of monkeypox virus, varicella zoster virus and herpes simplex 1 and 2 viruses.","authors":"Nikola Sklenovská, Mandy Bloemen, Graciela Andrei, Katrien Bruyninckx, Elke Wollants, Marc Van Ranst","doi":"10.1186/s12985-025-02920-6","DOIUrl":null,"url":null,"abstract":"<p><p>Mpox is a viral zoonotic disease characterized by flu-like symptoms followed by rash, which can be difficult to distinguish from other rash-presenting infections. Laboratory diagnosis is essential for confirming monkeypox virus (MPXV) infection; However, challenges in specimen transport and storage in endemic regions, especially in rural areas with limited infrastructure, hinder timely diagnosis. This study evaluates the use of SDS-EDTA-treated chromatography paper strips for testing different viral dilutions of MPXV, varicella-zoster virus (VZV), herpes simplex viruses 1 (HSV-1) and 2 (HSV-2) under different storage durations and temperatures. The results showed that all viral dilutions could be reliably detected even after 120 days at 37 °C. Notably, MPXV concentrations as low as 2 copies/µL were detected, highlighting the clinical relevance of these strips. This method could enhance mpox testing in resource-limited areas by overcoming logistical barriers, offering a cost-effective and reliable alternative for specimen collection, transport and storage in regions affected by mpox outbreaks.</p>","PeriodicalId":23616,"journal":{"name":"Virology Journal","volume":"22 1","pages":"298"},"PeriodicalIF":4.0000,"publicationDate":"2025-09-02","publicationTypes":"Journal Article","fieldsOfStudy":null,"isOpenAccess":false,"openAccessPdf":"https://www.ncbi.nlm.nih.gov/pmc/articles/PMC12403532/pdf/","citationCount":"0","resultStr":null,"platform":"Semanticscholar","paperid":null,"PeriodicalName":"Virology Journal","FirstCategoryId":"3","ListUrlMain":"https://doi.org/10.1186/s12985-025-02920-6","RegionNum":3,"RegionCategory":"医学","ArticlePicture":[],"TitleCN":null,"AbstractTextCN":null,"PMCID":null,"EPubDate":"","PubModel":"","JCR":"Q2","JCRName":"VIROLOGY","Score":null,"Total":0}
引用次数: 0

Abstract

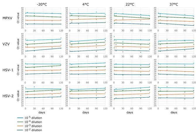
Mpox is a viral zoonotic disease characterized by flu-like symptoms followed by rash, which can be difficult to distinguish from other rash-presenting infections. Laboratory diagnosis is essential for confirming monkeypox virus (MPXV) infection; However, challenges in specimen transport and storage in endemic regions, especially in rural areas with limited infrastructure, hinder timely diagnosis. This study evaluates the use of SDS-EDTA-treated chromatography paper strips for testing different viral dilutions of MPXV, varicella-zoster virus (VZV), herpes simplex viruses 1 (HSV-1) and 2 (HSV-2) under different storage durations and temperatures. The results showed that all viral dilutions could be reliably detected even after 120 days at 37 °C. Notably, MPXV concentrations as low as 2 copies/µL were detected, highlighting the clinical relevance of these strips. This method could enhance mpox testing in resource-limited areas by overcoming logistical barriers, offering a cost-effective and reliable alternative for specimen collection, transport and storage in regions affected by mpox outbreaks.

Abstract Image

sds - edta处理的用于猴痘病毒、水痘带状疱疹病毒和单纯疱疹1型和2型病毒取样和运输的色谱纸条。
麻疹是一种病毒性人畜共患疾病,其特征是出现流感样症状,随后出现皮疹,很难与其他出现皮疹的感染区分开来。实验室诊断对于确认猴痘病毒(MPXV)感染至关重要;然而,在流行地区,特别是在基础设施有限的农村地区,标本运输和储存方面的挑战阻碍了及时诊断。本研究利用sds - edta处理的色谱纸条检测MPXV、水痘带状疱疹病毒(VZV)、单纯疱疹病毒1 (HSV-1)和单纯疱疹病毒2 (HSV-2)在不同储存时间和温度下的不同病毒稀释度。结果表明,即使在37°C条件下放置120天后,也能可靠地检测到所有病毒稀释度。值得注意的是,MPXV浓度低至2拷贝/µL,突出了这些试纸条的临床相关性。这种方法可以克服后勤障碍,加强在资源有限地区的m痘检测,为受m痘疫情影响地区的标本收集、运输和储存提供一种具有成本效益和可靠的替代方法。
本文章由计算机程序翻译,如有差异,请以英文原文为准。
求助全文
约1分钟内获得全文 求助全文
来源期刊
Virology Journal
Virology Journal 医学-病毒学
CiteScore
7.40
自引率
2.10%
发文量
186
审稿时长
1 months
期刊介绍: Virology Journal is an open access, peer reviewed journal that considers articles on all aspects of virology, including research on the viruses of animals, plants and microbes. The journal welcomes basic research as well as pre-clinical and clinical studies of novel diagnostic tools, vaccines and anti-viral therapies. The Editorial policy of Virology Journal is to publish all research which is assessed by peer reviewers to be a coherent and sound addition to the scientific literature, and puts less emphasis on interest levels or perceived impact.
×
引用
GB/T 7714-2015
复制
MLA
复制
APA
复制
导出至
BibTeX EndNote RefMan NoteFirst NoteExpress
×
提示
您的信息不完整,为了账户安全,请先补充。
现在去补充
×
提示
您因"违规操作"
具体请查看互助需知
我知道了
×
提示
确定
请完成安全验证×
copy
已复制链接
快去分享给好友吧!
我知道了
右上角分享
点击右上角分享
0
联系我们:info@booksci.cn Book学术提供免费学术资源搜索服务,方便国内外学者检索中英文文献。致力于提供最便捷和优质的服务体验。 Copyright © 2023 布克学术 All rights reserved.
京ICP备2023020795号-1
ghs 京公网安备 11010802042870号
Book学术文献互助
Book学术文献互助群
群 号:604180095
Book学术官方微信