Evaluation of Race Pace Using Critical Swimming Speed During 10 km Open-Water Swimming Competition.

IF 2.5 Q1 SPORT SCIENCES
Yasunori Fujito, Tomomi Fujimoto, Reira Hara, Ryuhei Yoshida, Kazuo Funato
{"title":"Evaluation of Race Pace Using Critical Swimming Speed During 10 km Open-Water Swimming Competition.","authors":"Yasunori Fujito, Tomomi Fujimoto, Reira Hara, Ryuhei Yoshida, Kazuo Funato","doi":"10.3390/jfmk10030302","DOIUrl":null,"url":null,"abstract":"<p><p><b>Background</b>: Estimating race times for open-water swimming based on pool swimming times could be useful for talent identification and training optimisation. We aimed to compare the swimming speeds of the world's top and other swimmers in the 2023 Aquatics Championship men's 10 km OWS race. <b>Methods</b>: Sixty-five swimmers were divided into four groups: G1 (1st-10th positions), G2 (11st-30th positions), G3 (31st-47th positions), and G4 (48th-65th positions). Swimming speed, stroke frequency (SF), and stroke length (SL) for each lap (laps 1-6) were recorded. Critical speed (CS) was calculated from each participant's personal best times in the 400, 800, and 1500 m freestyle events in the pool. Swimming speed against CS was calculated (%CS). <b>Results</b>: The top performance group (G1) maintained their swimming speed from beginning (lap 1, 1.53 m/s) to end (lap 6, 1.50 m/s), at 92.7 ± 1.9% of CS, characterised by longer SL (1.26 m) and lower SF (72.86 rpm). G3 and G4 were unable to maintain their swimming speed, which decreased from G3: 97.64 ± 1.62% and G4: 96.10 ± 1.96% of CS at lap 1 to G3: 88.39 ± 3.78% and G4: 85.13 ± 5.04% at lap 6. This reduction in swimming speed is consistent with the increased reliance on anaerobic metabolism reported in previous studies under similar conditions. <b>Conclusions</b>: Race pacing for maintaining speeds of 92%CS throughout the race could be an important resilient index in open-water swimming. %CS might be a useful index for estimating the athletic performance level in open-water swimming.</p>","PeriodicalId":16052,"journal":{"name":"Journal of Functional Morphology and Kinesiology","volume":"10 3","pages":""},"PeriodicalIF":2.5000,"publicationDate":"2025-08-03","publicationTypes":"Journal Article","fieldsOfStudy":null,"isOpenAccess":false,"openAccessPdf":"https://www.ncbi.nlm.nih.gov/pmc/articles/PMC12371947/pdf/","citationCount":"0","resultStr":null,"platform":"Semanticscholar","paperid":null,"PeriodicalName":"Journal of Functional Morphology and Kinesiology","FirstCategoryId":"1085","ListUrlMain":"https://doi.org/10.3390/jfmk10030302","RegionNum":0,"RegionCategory":null,"ArticlePicture":[],"TitleCN":null,"AbstractTextCN":null,"PMCID":null,"EPubDate":"","PubModel":"","JCR":"Q1","JCRName":"SPORT SCIENCES","Score":null,"Total":0}
引用次数: 0

Abstract

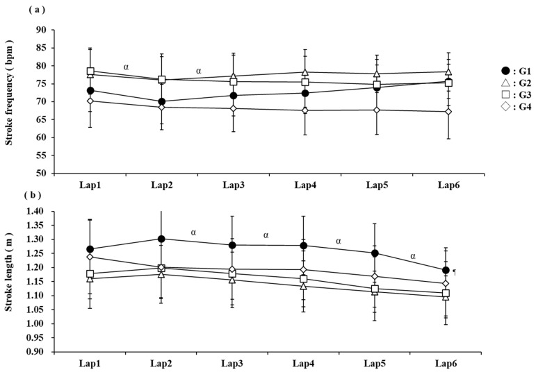
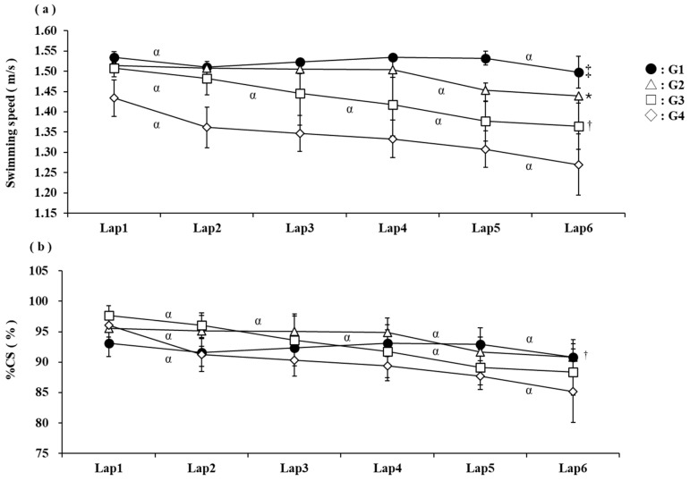
Background: Estimating race times for open-water swimming based on pool swimming times could be useful for talent identification and training optimisation. We aimed to compare the swimming speeds of the world's top and other swimmers in the 2023 Aquatics Championship men's 10 km OWS race. Methods: Sixty-five swimmers were divided into four groups: G1 (1st-10th positions), G2 (11st-30th positions), G3 (31st-47th positions), and G4 (48th-65th positions). Swimming speed, stroke frequency (SF), and stroke length (SL) for each lap (laps 1-6) were recorded. Critical speed (CS) was calculated from each participant's personal best times in the 400, 800, and 1500 m freestyle events in the pool. Swimming speed against CS was calculated (%CS). Results: The top performance group (G1) maintained their swimming speed from beginning (lap 1, 1.53 m/s) to end (lap 6, 1.50 m/s), at 92.7 ± 1.9% of CS, characterised by longer SL (1.26 m) and lower SF (72.86 rpm). G3 and G4 were unable to maintain their swimming speed, which decreased from G3: 97.64 ± 1.62% and G4: 96.10 ± 1.96% of CS at lap 1 to G3: 88.39 ± 3.78% and G4: 85.13 ± 5.04% at lap 6. This reduction in swimming speed is consistent with the increased reliance on anaerobic metabolism reported in previous studies under similar conditions. Conclusions: Race pacing for maintaining speeds of 92%CS throughout the race could be an important resilient index in open-water swimming. %CS might be a useful index for estimating the athletic performance level in open-water swimming.

Abstract Image

Abstract Image

Abstract Image

10公里公开水域游泳比赛临界游泳速度评价
背景:基于泳池游泳时间估算开放水域游泳比赛时间有助于人才识别和训练优化。我们的目标是比较2023年游泳锦标赛男子10公里OWS比赛中世界顶级游泳运动员和其他游泳运动员的游泳速度。方法:65名游泳运动员分为G1组(第1 ~ 10位)、G2组(第11 ~ 30位)、G3组(第31 ~ 47位)、G4组(第48 ~ 65位)。记录每圈(1-6圈)的游泳速度、划水频率(SF)和划水长度(SL)。临界速度(CS)是根据每位参赛者在400米、800米和1500米自由泳项目中的个人最好成绩计算出来的。计算游泳速度与CS的比值(%CS)。结果:表现最好组(G1)从游泳开始(第1圈,1.53 m/s)到游泳结束(第6圈,1.50 m/s)的速度保持在CS的92.7±1.9%,其特点是较长的SL (1.26 m)和较低的SF (72.86 rpm)。G3和G4均不能保持游泳速度,从第1圈时的CS值(G3: 97.64±1.62%、G4: 96.10±1.96%)下降到第6圈时的CS值(G3: 88.39±3.78%、G4: 85.13±5.04%)。这种游泳速度的降低与先前在类似条件下的研究报告中对无氧代谢的依赖增加是一致的。结论:比赛起搏在整个比赛过程中保持92%CS的速度可能是开放水域游泳的重要弹性指标。%CS可作为评价开放水域游泳运动员竞技水平的有用指标。
本文章由计算机程序翻译,如有差异,请以英文原文为准。
求助全文
约1分钟内获得全文 求助全文
来源期刊
Journal of Functional Morphology and Kinesiology
Journal of Functional Morphology and Kinesiology Health Professions-Physical Therapy, Sports Therapy and Rehabilitation
CiteScore
4.20
自引率
0.00%
发文量
94
审稿时长
12 weeks
×
引用
GB/T 7714-2015
复制
MLA
复制
APA
复制
导出至
BibTeX EndNote RefMan NoteFirst NoteExpress
×
提示
您的信息不完整,为了账户安全,请先补充。
现在去补充
×
提示
您因"违规操作"
具体请查看互助需知
我知道了
×
提示
确定
请完成安全验证×
copy
已复制链接
快去分享给好友吧!
我知道了
右上角分享
点击右上角分享
0
联系我们:info@booksci.cn Book学术提供免费学术资源搜索服务,方便国内外学者检索中英文文献。致力于提供最便捷和优质的服务体验。 Copyright © 2023 布克学术 All rights reserved.
京ICP备2023020795号-1
ghs 京公网安备 11010802042870号
Book学术文献互助
Book学术文献互助群
群 号:604180095
Book学术官方微信