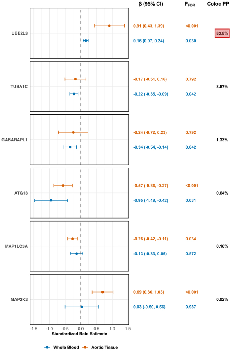
Genetically Predicted Expression of Autophagy-Related Genes and Thoracic Aortic Aging: A Mendelian Randomization Study.

IF 8.2 1区 医学 Q1 PERIPHERAL VASCULAR DISEASE
Hypertension Pub Date : 2025-09-01 Epub Date: 2025-08-20 DOI:10.1161/HYPERTENSIONAHA.125.25181
Karim Kohansal Vajargah, Marie-Joe Dib, Cameron Beeche, Hamed Tavolinejad, Stephen Burgess, Julio A Chirinos
{"title":"Genetically Predicted Expression of Autophagy-Related Genes and Thoracic Aortic Aging: A Mendelian Randomization Study.","authors":"Karim Kohansal Vajargah, Marie-Joe Dib, Cameron Beeche, Hamed Tavolinejad, Stephen Burgess, Julio A Chirinos","doi":"10.1161/HYPERTENSIONAHA.125.25181","DOIUrl":null,"url":null,"abstract":"","PeriodicalId":13042,"journal":{"name":"Hypertension","volume":"82 9","pages":"e186-e188"},"PeriodicalIF":8.2000,"publicationDate":"2025-09-01","publicationTypes":"Journal Article","fieldsOfStudy":null,"isOpenAccess":false,"openAccessPdf":"https://www.ncbi.nlm.nih.gov/pmc/articles/PMC7618093/pdf/","citationCount":"0","resultStr":null,"platform":"Semanticscholar","paperid":null,"PeriodicalName":"Hypertension","FirstCategoryId":"3","ListUrlMain":"https://doi.org/10.1161/HYPERTENSIONAHA.125.25181","RegionNum":1,"RegionCategory":"医学","ArticlePicture":[],"TitleCN":null,"AbstractTextCN":null,"PMCID":null,"EPubDate":"2025/8/20 0:00:00","PubModel":"Epub","JCR":"Q1","JCRName":"PERIPHERAL VASCULAR DISEASE","Score":null,"Total":0}
引用次数: 0

Abstract Image

基因预测自噬相关基因表达与胸主动脉衰老:孟德尔随机研究。
本文章由计算机程序翻译,如有差异,请以英文原文为准。
求助全文
约1分钟内获得全文 求助全文
来源期刊
Hypertension
Hypertension 医学-外周血管病
CiteScore
15.90
自引率
4.80%
发文量
1006
审稿时长
1 months
期刊介绍: Hypertension presents top-tier articles on high blood pressure in each monthly release. These articles delve into basic science, clinical treatment, and prevention of hypertension and associated cardiovascular, metabolic, and renal conditions. Renowned for their lasting significance, these papers contribute to advancing our understanding and management of hypertension-related issues.
×
引用
GB/T 7714-2015
复制
MLA
复制
APA
复制
导出至
BibTeX EndNote RefMan NoteFirst NoteExpress
×
提示
您的信息不完整,为了账户安全,请先补充。
现在去补充
×
提示
您因"违规操作"
具体请查看互助需知
我知道了
×
提示
确定
请完成安全验证×
copy
已复制链接
快去分享给好友吧!
我知道了
右上角分享
点击右上角分享
0
联系我们:info@booksci.cn Book学术提供免费学术资源搜索服务,方便国内外学者检索中英文文献。致力于提供最便捷和优质的服务体验。 Copyright © 2023 布克学术 All rights reserved.
京ICP备2023020795号-1
ghs 京公网安备 11010802042870号
Book学术文献互助
Book学术文献互助群
群 号:604180095
Book学术官方微信