The 'selves' in doping and its psychosocial mechanisms: harmonised multi-country evidence from high-performing athletes in the UK, US, and China.

IF 4 2区 社会学 Q1 SUBSTANCE ABUSE
Shuge Zhang, Ian Boardley, Jingdong Liu, Jules Woolf
{"title":"The 'selves' in doping and its psychosocial mechanisms: harmonised multi-country evidence from high-performing athletes in the UK, US, and China.","authors":"Shuge Zhang, Ian Boardley, Jingdong Liu, Jules Woolf","doi":"10.1186/s12954-025-01304-x","DOIUrl":null,"url":null,"abstract":"<p><strong>Background: </strong>Doping remains an ongoing threat to clean competition. To date, global preventive initiatives have not addressed critical psychosocial antecedents of doping thoroughly due to the scarcity of knowledge regarding its psychosocial mechanisms from a harmonised cross-country perspective. We, therefore, conducted a multi-country investigation testing the interplay of two important yet overlooked attributes, namely narcissism and self-compassion, and examined their psychosocial mechanisms underpinning doping.</p><p><strong>Methods: </strong>Using a sample of 499 high-performing athletes (80% competing at national level or above) from the UK, US, and China, we performed a series of multi-variate multi-group moderation models to test the narcissism × compassion interaction on doping and examined potential psychosocial mechanisms underlying such effects. In all analyses, we applied cluster control to adjust for coach-/team-level confounds and compared fixed vs. random effects models for cross-country comparisons.</p><p><strong>Results: </strong>We found an identical interaction across study countries showing self-compassion alleviates narcissism-related doping willingness (especially that vulnerable narcissism drives). Grandiose narcissism's protective effect on vulnerable narcissism-related doping moral disengagement was invariant across countries. Resilient coping appears to be a consistent mechanism across study countries that explains narcissism-related risk and compassion-related protection. Fear of failure manifested varied mechanistic effects in different study countries, inferring potential cross-cultural differences.</p><p><strong>Conclusion: </strong>Vulnerable narcissism is a critical person-level correlate of doping. Grandiose narcissism, in the presence of self-compassion, can alleviate such risk thanks to enhanced resilient coping. Future education and interventions should tackle these important person-level attributes for anti-doping.</p>","PeriodicalId":12922,"journal":{"name":"Harm Reduction Journal","volume":"22 1","pages":"149"},"PeriodicalIF":4.0000,"publicationDate":"2025-09-02","publicationTypes":"Journal Article","fieldsOfStudy":null,"isOpenAccess":false,"openAccessPdf":"https://www.ncbi.nlm.nih.gov/pmc/articles/PMC12403546/pdf/","citationCount":"0","resultStr":null,"platform":"Semanticscholar","paperid":null,"PeriodicalName":"Harm Reduction Journal","FirstCategoryId":"90","ListUrlMain":"https://doi.org/10.1186/s12954-025-01304-x","RegionNum":2,"RegionCategory":"社会学","ArticlePicture":[],"TitleCN":null,"AbstractTextCN":null,"PMCID":null,"EPubDate":"","PubModel":"","JCR":"Q1","JCRName":"SUBSTANCE ABUSE","Score":null,"Total":0}
引用次数: 0

Abstract

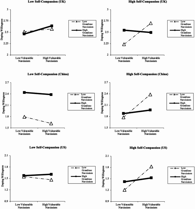
Background: Doping remains an ongoing threat to clean competition. To date, global preventive initiatives have not addressed critical psychosocial antecedents of doping thoroughly due to the scarcity of knowledge regarding its psychosocial mechanisms from a harmonised cross-country perspective. We, therefore, conducted a multi-country investigation testing the interplay of two important yet overlooked attributes, namely narcissism and self-compassion, and examined their psychosocial mechanisms underpinning doping.

Methods: Using a sample of 499 high-performing athletes (80% competing at national level or above) from the UK, US, and China, we performed a series of multi-variate multi-group moderation models to test the narcissism × compassion interaction on doping and examined potential psychosocial mechanisms underlying such effects. In all analyses, we applied cluster control to adjust for coach-/team-level confounds and compared fixed vs. random effects models for cross-country comparisons.

Results: We found an identical interaction across study countries showing self-compassion alleviates narcissism-related doping willingness (especially that vulnerable narcissism drives). Grandiose narcissism's protective effect on vulnerable narcissism-related doping moral disengagement was invariant across countries. Resilient coping appears to be a consistent mechanism across study countries that explains narcissism-related risk and compassion-related protection. Fear of failure manifested varied mechanistic effects in different study countries, inferring potential cross-cultural differences.

Conclusion: Vulnerable narcissism is a critical person-level correlate of doping. Grandiose narcissism, in the presence of self-compassion, can alleviate such risk thanks to enhanced resilient coping. Future education and interventions should tackle these important person-level attributes for anti-doping.

Abstract Image

Abstract Image

Abstract Image

兴奋剂中的“自我”及其心理社会机制:来自英国、美国和中国高水平运动员的多国证据。
背景:兴奋剂仍然是对公平竞争的持续威胁。迄今为止,由于缺乏从统一的跨国视角看待兴奋剂心理社会机制的知识,全球预防举措尚未彻底解决兴奋剂的关键心理社会因素。因此,我们进行了一项多国调查,测试了两个重要但被忽视的属性,即自恋和自我同情之间的相互作用,并研究了它们支撑兴奋剂的社会心理机制。方法:以499名来自英国、美国和中国的高水平运动员(80%为国家级及以上水平)为样本,采用多变量多群体调节模型,检验自恋与同情对兴奋剂影响的相互作用,并探讨其潜在的社会心理机制。在所有的分析中,我们应用集群控制来调整教练/团队水平的混淆,并比较固定效应和随机效应模型进行跨国比较。结果:我们发现,在所有研究国家中,自我同情都能缓解与自恋相关的兴奋剂意愿(尤其是脆弱的自恋驱动)。浮夸型自恋对脆弱型自恋相关兴奋剂道德脱离的保护作用在不同国家是不变的。在研究国家中,弹性应对似乎是一种一致的机制,可以解释与自恋相关的风险和与同情相关的保护。在不同的研究国家中,失败恐惧表现出不同的机制效应,从而推断出潜在的跨文化差异。结论:易受伤害的自恋是兴奋剂的关键个体水平相关。在自我同情的情况下,浮夸的自恋可以减轻这种风险,这要归功于增强的弹性应对能力。未来的教育和干预应该解决这些重要的个人层面的反兴奋剂属性。
本文章由计算机程序翻译,如有差异,请以英文原文为准。
求助全文
约1分钟内获得全文 求助全文
来源期刊
Harm Reduction Journal
Harm Reduction Journal Medicine-Public Health, Environmental and Occupational Health
CiteScore
5.90
自引率
9.10%
发文量
126
审稿时长
26 weeks
期刊介绍: Harm Reduction Journal is an Open Access, peer-reviewed, online journal whose focus is on the prevalent patterns of psychoactive drug use, the public policies meant to control them, and the search for effective methods of reducing the adverse medical, public health, and social consequences associated with both drugs and drug policies. We define "harm reduction" as "policies and programs which aim to reduce the health, social, and economic costs of legal and illegal psychoactive drug use without necessarily reducing drug consumption". We are especially interested in studies of the evolving patterns of drug use around the world, their implications for the spread of HIV/AIDS and other blood-borne pathogens.
×
引用
GB/T 7714-2015
复制
MLA
复制
APA
复制
导出至
BibTeX EndNote RefMan NoteFirst NoteExpress
×
提示
您的信息不完整,为了账户安全,请先补充。
现在去补充
×
提示
您因"违规操作"
具体请查看互助需知
我知道了
×
提示
确定
请完成安全验证×
copy
已复制链接
快去分享给好友吧!
我知道了
右上角分享
点击右上角分享
0
联系我们:info@booksci.cn Book学术提供免费学术资源搜索服务,方便国内外学者检索中英文文献。致力于提供最便捷和优质的服务体验。 Copyright © 2023 布克学术 All rights reserved.
京ICP备2023020795号-1
ghs 京公网安备 11010802042870号
Book学术文献互助
Book学术文献互助群
群 号:604180095
Book学术官方微信