The role of glucagon-like peptide-1 receptor agonists in weight regain treatment or prevention after bariatric surgery: a systematic review and meta-analysis.

IF 2.8 3区 医学 Q2 PSYCHIATRY
Asma Mousavi, Shayan Shojaei, Alireza Azarboo, Razman Arabzadeh Bahri, Sara Mohammadi, Sanam Alilou, Shaygan Yousefifar, Saba Maleki, Hanieh Radkhah
{"title":"The role of glucagon-like peptide-1 receptor agonists in weight regain treatment or prevention after bariatric surgery: a systematic review and meta-analysis.","authors":"Asma Mousavi, Shayan Shojaei, Alireza Azarboo, Razman Arabzadeh Bahri, Sara Mohammadi, Sanam Alilou, Shaygan Yousefifar, Saba Maleki, Hanieh Radkhah","doi":"10.1007/s40519-025-01770-z","DOIUrl":null,"url":null,"abstract":"<p><strong>Background: </strong>Weight regain (WR) and insufficient weight loss (WL) occur in 20-25% of patients after bariatric surgery due to various factors. Glucagon-like peptide-1 receptor agonists (GLP-1RAs) have shown promise in promoting WL; however, evidence regarding their effectiveness in managing WL and preventing WR post-bariatric surgery remains limited.</p><p><strong>Objective: </strong>This study aims to evaluate the role of GLP-1RAs in treating and preventing WR following bariatric surgery.</p><p><strong>Methods: </strong>A systematic search was conducted across PubMed, Scopus, and Web of Science for studies assessing the impact of GLP-1RAs on WR after bariatric surgery.</p><p><strong>Results: </strong>Our search identified 27 original studies, with 10 included in the meta-analysis involving 769 participants (392 treated with GLP-1RAs). The mean age was 44.05 years, with 30.47% male. The time interval from surgery to the initiation of GLP-1RAs treatment ranged from 1.5 to 86.7 months, with treatment durations between 4 and 12 months. The analysis showed significantly greater WL in the GLP-1RAs group compared to placebo (SMD = 0.82, 95% CI 0.23 to 1.42). Subgroup analysis for treatment durations ≤ 6 months indicated a higher WL in the GLP-1RAs group (SMD = 0.79, 95% CI 0.25 to 1.34). Adverse events were primarily gastrointestinal, with nausea significantly more frequently in the GLP-1RAs group (OR = 2.01, 95% CI 1.24 to 3.27).</p><p><strong>Conclusion: </strong>GLP-1RAs effectively promote WL among participants experiencing WR after bariatric surgery. Initiating GLP-1RAs therapy shortly after surgery may help prevent WR. Further research is warranted to explore long-term outcomes and optimize treatment protocols for this patient population.</p>","PeriodicalId":11391,"journal":{"name":"Eating and Weight Disorders - Studies on Anorexia, Bulimia and Obesity","volume":"30 1","pages":"70"},"PeriodicalIF":2.8000,"publicationDate":"2025-08-28","publicationTypes":"Journal Article","fieldsOfStudy":null,"isOpenAccess":false,"openAccessPdf":"https://www.ncbi.nlm.nih.gov/pmc/articles/PMC12394290/pdf/","citationCount":"0","resultStr":null,"platform":"Semanticscholar","paperid":null,"PeriodicalName":"Eating and Weight Disorders - Studies on Anorexia, Bulimia and Obesity","FirstCategoryId":"3","ListUrlMain":"https://doi.org/10.1007/s40519-025-01770-z","RegionNum":3,"RegionCategory":"医学","ArticlePicture":[],"TitleCN":null,"AbstractTextCN":null,"PMCID":null,"EPubDate":"","PubModel":"","JCR":"Q2","JCRName":"PSYCHIATRY","Score":null,"Total":0}
引用次数: 0

Abstract

Background: Weight regain (WR) and insufficient weight loss (WL) occur in 20-25% of patients after bariatric surgery due to various factors. Glucagon-like peptide-1 receptor agonists (GLP-1RAs) have shown promise in promoting WL; however, evidence regarding their effectiveness in managing WL and preventing WR post-bariatric surgery remains limited.

Objective: This study aims to evaluate the role of GLP-1RAs in treating and preventing WR following bariatric surgery.

Methods: A systematic search was conducted across PubMed, Scopus, and Web of Science for studies assessing the impact of GLP-1RAs on WR after bariatric surgery.

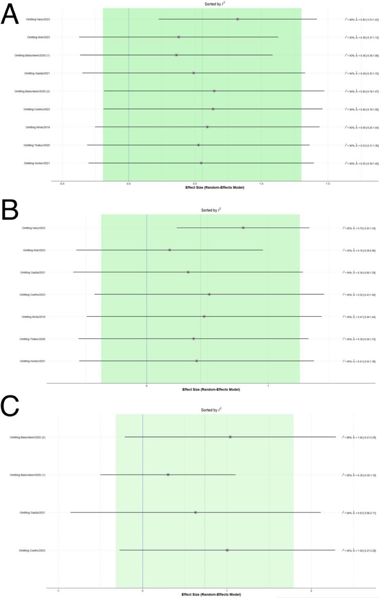
Results: Our search identified 27 original studies, with 10 included in the meta-analysis involving 769 participants (392 treated with GLP-1RAs). The mean age was 44.05 years, with 30.47% male. The time interval from surgery to the initiation of GLP-1RAs treatment ranged from 1.5 to 86.7 months, with treatment durations between 4 and 12 months. The analysis showed significantly greater WL in the GLP-1RAs group compared to placebo (SMD = 0.82, 95% CI 0.23 to 1.42). Subgroup analysis for treatment durations ≤ 6 months indicated a higher WL in the GLP-1RAs group (SMD = 0.79, 95% CI 0.25 to 1.34). Adverse events were primarily gastrointestinal, with nausea significantly more frequently in the GLP-1RAs group (OR = 2.01, 95% CI 1.24 to 3.27).

Conclusion: GLP-1RAs effectively promote WL among participants experiencing WR after bariatric surgery. Initiating GLP-1RAs therapy shortly after surgery may help prevent WR. Further research is warranted to explore long-term outcomes and optimize treatment protocols for this patient population.

Abstract Image

Abstract Image

Abstract Image

胰高血糖素样肽-1受体激动剂在减肥手术后体重恢复治疗或预防中的作用:系统回顾和荟萃分析
背景:由于各种因素,20-25%的减肥手术后患者会出现体重恢复(WR)和体重减轻不足(WL)。胰高血糖素样肽-1受体激动剂(GLP-1RAs)有望促进WL;然而,关于它们在减肥手术后管理WL和预防WR的有效性的证据仍然有限。目的:本研究旨在评价GLP-1RAs在减肥手术后WR的治疗和预防中的作用。方法:通过PubMed、Scopus和Web of Science进行系统搜索,评估GLP-1RAs对减肥手术后WR的影响。结果:我们的搜索确定了27项原始研究,其中10项纳入了荟萃分析,涉及769名参与者(392名接受GLP-1RAs治疗)。平均年龄44.05岁,男性占30.47%。从手术到开始GLP-1RAs治疗的时间间隔为1.5至86.7个月,治疗持续时间为4至12个月。分析显示,GLP-1RAs组的WL明显高于安慰剂组(SMD = 0.82, 95% CI 0.23至1.42)。治疗时间≤6个月的亚组分析显示,GLP-1RAs组的WL更高(SMD = 0.79, 95% CI 0.25 ~ 1.34)。不良事件主要发生在胃肠道,GLP-1RAs组恶心发生率明显更高(OR = 2.01, 95% CI 1.24至3.27)。结论:GLP-1RAs能有效促进减肥手术后WR患者的WL。术后不久开始GLP-1RAs治疗可能有助于预防WR。进一步的研究是必要的,以探索长期结果和优化治疗方案的患者群体。
本文章由计算机程序翻译,如有差异,请以英文原文为准。
求助全文
约1分钟内获得全文 求助全文
来源期刊
CiteScore
6.50
自引率
10.30%
发文量
170
审稿时长
>12 weeks
期刊介绍: Eating and Weight Disorders - Studies on Anorexia, Bulimia and Obesity is a scientific journal whose main purpose is to create an international forum devoted to the several sectors of eating disorders and obesity and the significant relations between them. The journal publishes basic research, clinical and theoretical articles on eating disorders and weight-related problems: anorexia nervosa, bulimia nervosa, subthreshold eating disorders, obesity, atypical patterns of eating behaviour and body weight regulation in clinical and non-clinical populations.
×
引用
GB/T 7714-2015
复制
MLA
复制
APA
复制
导出至
BibTeX EndNote RefMan NoteFirst NoteExpress
×
提示
您的信息不完整,为了账户安全,请先补充。
现在去补充
×
提示
您因"违规操作"
具体请查看互助需知
我知道了
×
提示
确定
请完成安全验证×
copy
已复制链接
快去分享给好友吧!
我知道了
右上角分享
点击右上角分享
0
联系我们:info@booksci.cn Book学术提供免费学术资源搜索服务,方便国内外学者检索中英文文献。致力于提供最便捷和优质的服务体验。 Copyright © 2023 布克学术 All rights reserved.
京ICP备2023020795号-1
ghs 京公网安备 11010802042870号
Book学术文献互助
Book学术文献互助群
群 号:604180095
Book学术官方微信