Atherogenic index of plasma and its 5-year changes associated with type 2 diabetes risk: a 10-Year cohort study.

IF 10.6 1区 医学 Q1 CARDIAC & CARDIOVASCULAR SYSTEMS
Liuding Wen, Yuying Wu, Xueru Fu, Weifeng Huo, Aijun Xu, Canjie Piao, Jingli Kong, Yaqin Su, Jinliang Liang, Botang Guo, Ming Zhang, Dongsheng Hu, Yang Zhao
{"title":"Atherogenic index of plasma and its 5-year changes associated with type 2 diabetes risk: a 10-Year cohort study.","authors":"Liuding Wen, Yuying Wu, Xueru Fu, Weifeng Huo, Aijun Xu, Canjie Piao, Jingli Kong, Yaqin Su, Jinliang Liang, Botang Guo, Ming Zhang, Dongsheng Hu, Yang Zhao","doi":"10.1186/s12933-025-02903-5","DOIUrl":null,"url":null,"abstract":"<p><strong>Background: </strong>The global burden of type 2 diabetes mellitus (T2DM) is increasing, particularly in resource-limited settings like rural China. Although traditional blood glucose remains an essential measurement for diabetes screening, Atherogenic Index of Plasma (AIP) is emerging as a complementary predictor of T2DM risk. Over time, however, the association between AIP and T2DM risk remains insufficiently understood.</p><p><strong>Objective: </strong>To investigate the association between baseline AIP levels and its 5-year changes with the risk of T2DM in a rural Chinese cohort.</p><p><strong>Methods: </strong>This prospective cohort study enrolled 14,968 participants without baseline diabetes from a rural Chinese population. AIP was calculated (log(TG/HDL-C)) and used to classify participant results into quartiles. We conducted multivariate Cox proportional hazards regression analysis, restricted cubic spline analyses, subgroup analyses, and sensitivity analyses to determine the association between baseline AIP and 5-year changes in AIP with the 10-year risk of T2DM.</p><p><strong>Results: </strong>Over a median follow-up of 10.4 years, 2,165(N = 14,968) participants developed T2DM. The hazard ratios [aHRs; 95% confidence interval (CI)] for T2DM increased with quartiles 2, 3, and 4 (versus quartile 1) of AIP: 1.17 (1.00-1.38), 1.38 (1.18-1.62), and 1.96 (1.68-2.29), respectively (p for trend < 0.0001) after multivariable adjustment. Regarding 5-year changes in AIP, participants with increased AIP levels had a 18% higher risk of developing T2DM (aHRs 1.18, 95% CIs: 1.00-1.40) compared to those maintaining stable levels, while those with decreased AIP showed a 20% reduction in risk (aHRs 0.80, 95% CIs: 0.67-0.95). RCS analyses showed linear relationships for both baseline AIP (p for nonlinearity = 0.927) and 5-year changes in AIP (p for nonlinearity = 0.083) with T2DM risk.</p><p><strong>Conclusions: </strong>Our findings indicate that both baseline AIP levels and the 5-year changes in those levels are significantly associated with the risk of T2DM. Individuals with higher baseline AIP or 5-year increases in AIP were more likely to develop T2DM.</p>","PeriodicalId":9374,"journal":{"name":"Cardiovascular Diabetology","volume":"24 1","pages":"349"},"PeriodicalIF":10.6000,"publicationDate":"2025-08-25","publicationTypes":"Journal Article","fieldsOfStudy":null,"isOpenAccess":false,"openAccessPdf":"https://www.ncbi.nlm.nih.gov/pmc/articles/PMC12376724/pdf/","citationCount":"0","resultStr":null,"platform":"Semanticscholar","paperid":null,"PeriodicalName":"Cardiovascular Diabetology","FirstCategoryId":"3","ListUrlMain":"https://doi.org/10.1186/s12933-025-02903-5","RegionNum":1,"RegionCategory":"医学","ArticlePicture":[],"TitleCN":null,"AbstractTextCN":null,"PMCID":null,"EPubDate":"","PubModel":"","JCR":"Q1","JCRName":"CARDIAC & CARDIOVASCULAR SYSTEMS","Score":null,"Total":0}
引用次数: 0

Abstract

Background: The global burden of type 2 diabetes mellitus (T2DM) is increasing, particularly in resource-limited settings like rural China. Although traditional blood glucose remains an essential measurement for diabetes screening, Atherogenic Index of Plasma (AIP) is emerging as a complementary predictor of T2DM risk. Over time, however, the association between AIP and T2DM risk remains insufficiently understood.

Objective: To investigate the association between baseline AIP levels and its 5-year changes with the risk of T2DM in a rural Chinese cohort.

Methods: This prospective cohort study enrolled 14,968 participants without baseline diabetes from a rural Chinese population. AIP was calculated (log(TG/HDL-C)) and used to classify participant results into quartiles. We conducted multivariate Cox proportional hazards regression analysis, restricted cubic spline analyses, subgroup analyses, and sensitivity analyses to determine the association between baseline AIP and 5-year changes in AIP with the 10-year risk of T2DM.

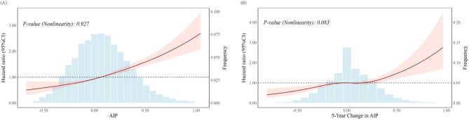
Results: Over a median follow-up of 10.4 years, 2,165(N = 14,968) participants developed T2DM. The hazard ratios [aHRs; 95% confidence interval (CI)] for T2DM increased with quartiles 2, 3, and 4 (versus quartile 1) of AIP: 1.17 (1.00-1.38), 1.38 (1.18-1.62), and 1.96 (1.68-2.29), respectively (p for trend < 0.0001) after multivariable adjustment. Regarding 5-year changes in AIP, participants with increased AIP levels had a 18% higher risk of developing T2DM (aHRs 1.18, 95% CIs: 1.00-1.40) compared to those maintaining stable levels, while those with decreased AIP showed a 20% reduction in risk (aHRs 0.80, 95% CIs: 0.67-0.95). RCS analyses showed linear relationships for both baseline AIP (p for nonlinearity = 0.927) and 5-year changes in AIP (p for nonlinearity = 0.083) with T2DM risk.

Conclusions: Our findings indicate that both baseline AIP levels and the 5-year changes in those levels are significantly associated with the risk of T2DM. Individuals with higher baseline AIP or 5-year increases in AIP were more likely to develop T2DM.

Abstract Image

Abstract Image

Abstract Image

血浆动脉粥样硬化指数及其与2型糖尿病风险相关的5年变化:一项10年队列研究
背景:2型糖尿病(T2DM)的全球负担正在增加,特别是在资源有限的地区,如中国农村。虽然传统的血糖仍然是糖尿病筛查的基本指标,但血浆动脉粥样硬化指数(AIP)正在成为T2DM风险的补充预测指标。然而,随着时间的推移,AIP和2型糖尿病风险之间的关系仍然没有得到充分的了解。目的:探讨中国农村人群中基线AIP水平及其5年变化与T2DM风险的关系。方法:这项前瞻性队列研究从中国农村人口中招募了14968名无基线糖尿病的参与者。计算AIP (log(TG/HDL-C)),并将参与者的结果分为四分位数。我们进行了多变量Cox比例风险回归分析、限制三次样条分析、亚组分析和敏感性分析,以确定基线AIP和AIP的5年变化与10年T2DM风险之间的关系。结果:在10.4年的中位随访中,2165名(N = 14968)参与者发展为T2DM。风险比[aHRs;T2DM的95%置信区间(CI)在AIP的四分位数2、3和4(相对于四分位数1)分别增加:1.17(1.00-1.38)、1.38(1.18-1.62)和1.96 (1.68-2.29)(p为趋势)。结论:我们的研究结果表明,基线AIP水平和这些水平的5年变化与T2DM的风险显著相关。基线AIP较高或AIP在5年内升高的个体更有可能发展为T2DM。
本文章由计算机程序翻译,如有差异,请以英文原文为准。
求助全文
约1分钟内获得全文 求助全文
来源期刊
Cardiovascular Diabetology
Cardiovascular Diabetology 医学-内分泌学与代谢
CiteScore
12.30
自引率
15.10%
发文量
240
审稿时长
1 months
期刊介绍: Cardiovascular Diabetology is a journal that welcomes manuscripts exploring various aspects of the relationship between diabetes, cardiovascular health, and the metabolic syndrome. We invite submissions related to clinical studies, genetic investigations, experimental research, pharmacological studies, epidemiological analyses, and molecular biology research in this field.
×
引用
GB/T 7714-2015
复制
MLA
复制
APA
复制
导出至
BibTeX EndNote RefMan NoteFirst NoteExpress
×
提示
您的信息不完整,为了账户安全,请先补充。
现在去补充
×
提示
您因"违规操作"
具体请查看互助需知
我知道了
×
提示
确定
请完成安全验证×
copy
已复制链接
快去分享给好友吧!
我知道了
右上角分享
点击右上角分享
0
联系我们:info@booksci.cn Book学术提供免费学术资源搜索服务,方便国内外学者检索中英文文献。致力于提供最便捷和优质的服务体验。 Copyright © 2023 布克学术 All rights reserved.
京ICP备2023020795号-1
ghs 京公网安备 11010802042870号
Book学术文献互助
Book学术文献互助群
群 号:604180095
Book学术官方微信