Seasonal dynamics and potential interactions of haematophagous abomasal nematodes in two chamois populations in the Czech Republic.

IF 2.6 2区 农林科学 Q1 VETERINARY SCIENCES
Jan Magdálek, Vojtěch Kasič, Jana Ilgová, Lucie Škorpíková, Jaroslav Vadlejch
{"title":"Seasonal dynamics and potential interactions of haematophagous abomasal nematodes in two chamois populations in the Czech Republic.","authors":"Jan Magdálek, Vojtěch Kasič, Jana Ilgová, Lucie Škorpíková, Jaroslav Vadlejch","doi":"10.1186/s12917-025-04992-6","DOIUrl":null,"url":null,"abstract":"<p><strong>Background: </strong>Pathogenic blood-feeding nematodes, such as Haemonchus contortus and the invasive Ashworthius sidemi, infect a wide range of wild and domestic ruminants. While the spread of A. sidemi among European cervids has been studied, its presence in chamois (Rupicapra rupicapra) remains poorly documented. Conversely, H. contortus is known to infect chamois, but previous research has relied mainly on cross-sectional necropsy studies, offering only a limited view of infection dynamics. In this study, we used a longitudinal molecular approach to assess the seasonal occurrence and transmission patterns of H. contortus and A. sidemi in a chamois population from the northern Czech Republic. From January to December 2023, we collected faecal samples at monthly intervals from two localities. Multiplex real-time PCR was subsequently used for the detection and semi-quantification of DNA from both nematode species.</p><p><strong>Results: </strong>Haemonchus contortus DNA was detected in 43.3% of samples, with its presence recorded nearly year-round. Its prevalence and relative DNA quantity peaked in summer and remained high throughout autumn. Ashworthius sidemi was identified in chamois in the Czech Republic for the first time, possibly reflecting a recent spillover from red deer (Cervus elaphus). However, it was found in only 5% of samples, with its occurrence restricted to late winter and spring. The seasonal disappearance of A. sidemi coincided with the increase in H. contortus relative DNA quantity, which may indicate a possible negative interaction between these species occupying the same ecological niche.</p><p><strong>Conclusion: </strong>Our findings suggest a potentialy prolonged transmission window for H. contortus, which could lengthen further under future climate change scenarios. In contrast, A. sidemi appears to be an incidental parasite in chamois, and its long-term persistence in this atypical host without continued contact with cervids remains uncertain. These insights, which are rare for wild ruminants, contribute to a better understanding of parasite epidemiology and host-parasite interactions in free-living populations.</p>","PeriodicalId":9041,"journal":{"name":"BMC Veterinary Research","volume":"21 1","pages":"532"},"PeriodicalIF":2.6000,"publicationDate":"2025-09-01","publicationTypes":"Journal Article","fieldsOfStudy":null,"isOpenAccess":false,"openAccessPdf":"https://www.ncbi.nlm.nih.gov/pmc/articles/PMC12400541/pdf/","citationCount":"0","resultStr":null,"platform":"Semanticscholar","paperid":null,"PeriodicalName":"BMC Veterinary Research","FirstCategoryId":"97","ListUrlMain":"https://doi.org/10.1186/s12917-025-04992-6","RegionNum":2,"RegionCategory":"农林科学","ArticlePicture":[],"TitleCN":null,"AbstractTextCN":null,"PMCID":null,"EPubDate":"","PubModel":"","JCR":"Q1","JCRName":"VETERINARY SCIENCES","Score":null,"Total":0}
引用次数: 0

Abstract

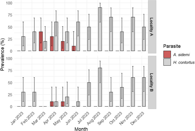
Background: Pathogenic blood-feeding nematodes, such as Haemonchus contortus and the invasive Ashworthius sidemi, infect a wide range of wild and domestic ruminants. While the spread of A. sidemi among European cervids has been studied, its presence in chamois (Rupicapra rupicapra) remains poorly documented. Conversely, H. contortus is known to infect chamois, but previous research has relied mainly on cross-sectional necropsy studies, offering only a limited view of infection dynamics. In this study, we used a longitudinal molecular approach to assess the seasonal occurrence and transmission patterns of H. contortus and A. sidemi in a chamois population from the northern Czech Republic. From January to December 2023, we collected faecal samples at monthly intervals from two localities. Multiplex real-time PCR was subsequently used for the detection and semi-quantification of DNA from both nematode species.

Results: Haemonchus contortus DNA was detected in 43.3% of samples, with its presence recorded nearly year-round. Its prevalence and relative DNA quantity peaked in summer and remained high throughout autumn. Ashworthius sidemi was identified in chamois in the Czech Republic for the first time, possibly reflecting a recent spillover from red deer (Cervus elaphus). However, it was found in only 5% of samples, with its occurrence restricted to late winter and spring. The seasonal disappearance of A. sidemi coincided with the increase in H. contortus relative DNA quantity, which may indicate a possible negative interaction between these species occupying the same ecological niche.

Conclusion: Our findings suggest a potentialy prolonged transmission window for H. contortus, which could lengthen further under future climate change scenarios. In contrast, A. sidemi appears to be an incidental parasite in chamois, and its long-term persistence in this atypical host without continued contact with cervids remains uncertain. These insights, which are rare for wild ruminants, contribute to a better understanding of parasite epidemiology and host-parasite interactions in free-living populations.

Abstract Image

Abstract Image

捷克两个羚羊种群中食血性皱胃线虫的季节动态和潜在的相互作用。
背景:致病性血食性线虫,如弯血血螨和侵入性阿什沃绥螨,广泛感染野生和家养反刍动物。虽然已经研究了A. sidemi在欧洲鹿群中的传播,但它在麂皮(Rupicapra Rupicapra)中的存在仍然缺乏记录。相反,众所周知,弯纹鼩会感染岩羚羊,但之前的研究主要依赖于横断面尸检研究,仅提供了有限的感染动态视图。在这项研究中,我们采用纵向分子方法评估了捷克共和国北部麂皮种群中弯纹鼠和侧纹鼠的季节性发生和传播模式。从2023年1月至12月,我们每月在两个地点采集粪便样本。多重实时聚合酶链反应随后用于检测和半定量的DNA从两种线虫。结果:在43.3%的样本中检测到弯曲血蜱DNA,几乎全年都有记录。其流行率和相对DNA量在夏季达到高峰,并在整个秋季保持较高水平。在捷克共和国的羚羊中首次发现了Ashworthius sidemi,这可能反映了马鹿(Cervus elaphus)最近的外溢。然而,只有5%的样本被发现,它的发生仅限于冬末和春季。长叶麻的季节性消失与长叶麻相对DNA量的增加是一致的,这可能表明占据同一生态位的两种物种之间可能存在负相互作用。结论:我们的研究结果表明,在未来的气候变化情景下,弯曲螺旋虫的传播窗口可能会进一步延长。相比之下,A. sidemi似乎是一种偶然寄生在羚羊身上的寄生虫,它在这种非典型宿主中长期存在而不继续与鹿壳接触仍不确定。这些见解对野生反刍动物来说是罕见的,有助于更好地了解自由生活人群中的寄生虫流行病学和宿主-寄生虫相互作用。
本文章由计算机程序翻译,如有差异,请以英文原文为准。
求助全文
约1分钟内获得全文 求助全文
来源期刊
BMC Veterinary Research
BMC Veterinary Research VETERINARY SCIENCES-
CiteScore
4.80
自引率
3.80%
发文量
420
审稿时长
3-6 weeks
期刊介绍: BMC Veterinary Research is an open access, peer-reviewed journal that considers articles on all aspects of veterinary science and medicine, including the epidemiology, diagnosis, prevention and treatment of medical conditions of domestic, companion, farm and wild animals, as well as the biomedical processes that underlie their health.
×
引用
GB/T 7714-2015
复制
MLA
复制
APA
复制
导出至
BibTeX EndNote RefMan NoteFirst NoteExpress
×
提示
您的信息不完整,为了账户安全,请先补充。
现在去补充
×
提示
您因"违规操作"
具体请查看互助需知
我知道了
×
提示
确定
请完成安全验证×
copy
已复制链接
快去分享给好友吧!
我知道了
右上角分享
点击右上角分享
0
联系我们:info@booksci.cn Book学术提供免费学术资源搜索服务,方便国内外学者检索中英文文献。致力于提供最便捷和优质的服务体验。 Copyright © 2023 布克学术 All rights reserved.
京ICP备2023020795号-1
ghs 京公网安备 11010802042870号
Book学术文献互助
Book学术文献互助群
群 号:604180095
Book学术官方微信