Modelling of biological age in stable and acute exacerbations of chronic obstructive pulmonary disease.

IF 2.8 3区 医学 Q2 RESPIRATORY SYSTEM
Yujiao Wang, Ting Mu, Yufen Fu, Yuxin Wang, Guoping Li
{"title":"Modelling of biological age in stable and acute exacerbations of chronic obstructive pulmonary disease.","authors":"Yujiao Wang, Ting Mu, Yufen Fu, Yuxin Wang, Guoping Li","doi":"10.1186/s12890-025-03841-4","DOIUrl":null,"url":null,"abstract":"<p><strong>Background: </strong>Aging has been established as an independent risk factor for chronic obstructive pulmonary disease (COPD). Biological age (BA), a novel metric for gauging the extent of aging, has rarely been investigated in the context of acute exacerbation of COPD (AECOPD). Our study aimed to elucidate the association between BA and AECOPD, thereby highlighting the potential of BA as a predictive tool in clinical practice.</p><p><strong>Methods: </strong>The dataset encompasses patients hospitalized at Chengdu Third People's Hospital between 2018 and 2022. The AECOPD patients enrolled in this study were hospitalized due to rapidly worsening symptoms, including cough, sputum production, and dyspnea, whereas the COPD patients were clinically stable. BA and biological age acceleration were ascertained through the Klemera-Doubale method (KDM). A multivariable logistic regression analysis was conducted to evaluate the correlation between BA, biological age acceleration, and the incidence of AECOPD, complemented by subgroup analyses to explore the dose‒response dynamics between biological age acceleration and the risk of AECOPD. The dataset was partitioned into training and validation sets at a 7:3 ratio, and LASSO regression was applied to refine the model's variable composition. To assess the ability of different variables to discriminate current disease status, we developed the initial model and three subsequent models, with the following variables added in the new model: Chronological age (CA), BA, and biological age acceleration. The models were subsequently evaluated within both datasets.</p><p><strong>Results: </strong>The study cohort comprised 2,511 patients, through an analysis of the transect data, with 59.1% experiencing acute exacerbations. Both BA (79.14 ± 9.49 years) and biological age acceleration (1.04 ± 2.82 years) emerged as independent risk factors for AECOPD (P < 0.001). In Model 3, each year increment in BA and biological age acceleration corresponded to a 1.04-fold (95% CI = 1.027-1.048, P < 0.001) and 1.18-fold (95% CI = 1.14-1.224, P < 0.001) increase in exacerbation risk, respectively. The biological age of patients with stable COPD was significantly lower than the actual age (-0.36 ± 2.56 years), which suggests a significant inter-individual heterogeneity in the biological aging process of COPD patients. Subgroup analysis confirmed a pronounced dose‒response relationship between biological age acceleration and AECOPD risk(Q4 vs. Q1: OR = 2.7, 95% CI = 2.172-3.518). LASSO regression pinpointed BMI, Diabetes, Hypertensive heart disease, Cor pulmonale, Stroke, and Hyperlipidemia as critical variables within the model. The internal validation process revealed AUC values of 0.735 (95% CI = 0.7-0.77), 0.742 (95% CI = 0.707-0.777), 0.753 (95% CI = 0.719-0.787), and 0.766 (95% CI = 0.733-0.8) for the respective models. The HL test confirmed the models' good fit (P = 0.128, P = 0.121, P = 0.272, P = 0.795), with Model 4 exhibiting the most precise calibration against the diagonal reference. Decision curve analysis (DCA) indicated that all the models provided a net benefit in disease outcome discrimination, with Model 4 yielding the most significant advantage.</p><p><strong>Conclusions: </strong>The acceleration of aging portends an increased propensity for acute exacerbations, and a distinct dose-response relationship is observable between biological age acceleration and exacerbation events. BA and biological age acceleration outperform chronological age in discerning the likelihood of acute exacerbations, underscoring their enhanced ability to predict this critical health outcome.</p>","PeriodicalId":9148,"journal":{"name":"BMC Pulmonary Medicine","volume":"25 1","pages":"398"},"PeriodicalIF":2.8000,"publicationDate":"2025-08-19","publicationTypes":"Journal Article","fieldsOfStudy":null,"isOpenAccess":false,"openAccessPdf":"https://www.ncbi.nlm.nih.gov/pmc/articles/PMC12366205/pdf/","citationCount":"0","resultStr":null,"platform":"Semanticscholar","paperid":null,"PeriodicalName":"BMC Pulmonary Medicine","FirstCategoryId":"3","ListUrlMain":"https://doi.org/10.1186/s12890-025-03841-4","RegionNum":3,"RegionCategory":"医学","ArticlePicture":[],"TitleCN":null,"AbstractTextCN":null,"PMCID":null,"EPubDate":"","PubModel":"","JCR":"Q2","JCRName":"RESPIRATORY SYSTEM","Score":null,"Total":0}
引用次数: 0

Abstract

Background: Aging has been established as an independent risk factor for chronic obstructive pulmonary disease (COPD). Biological age (BA), a novel metric for gauging the extent of aging, has rarely been investigated in the context of acute exacerbation of COPD (AECOPD). Our study aimed to elucidate the association between BA and AECOPD, thereby highlighting the potential of BA as a predictive tool in clinical practice.

Methods: The dataset encompasses patients hospitalized at Chengdu Third People's Hospital between 2018 and 2022. The AECOPD patients enrolled in this study were hospitalized due to rapidly worsening symptoms, including cough, sputum production, and dyspnea, whereas the COPD patients were clinically stable. BA and biological age acceleration were ascertained through the Klemera-Doubale method (KDM). A multivariable logistic regression analysis was conducted to evaluate the correlation between BA, biological age acceleration, and the incidence of AECOPD, complemented by subgroup analyses to explore the dose‒response dynamics between biological age acceleration and the risk of AECOPD. The dataset was partitioned into training and validation sets at a 7:3 ratio, and LASSO regression was applied to refine the model's variable composition. To assess the ability of different variables to discriminate current disease status, we developed the initial model and three subsequent models, with the following variables added in the new model: Chronological age (CA), BA, and biological age acceleration. The models were subsequently evaluated within both datasets.

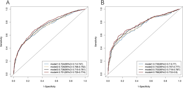
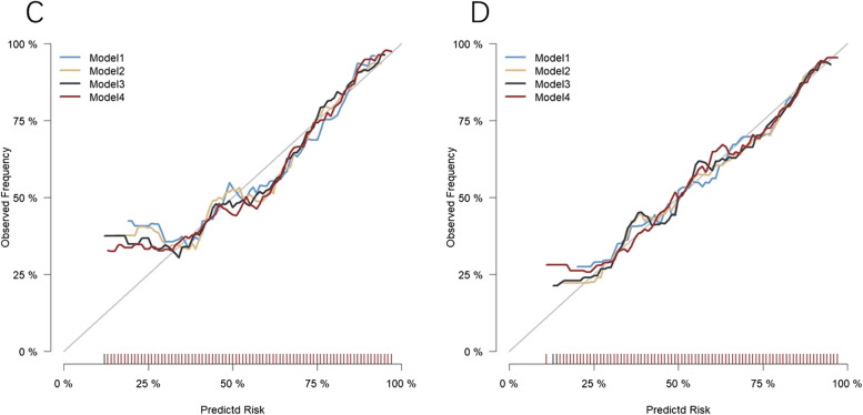
Results: The study cohort comprised 2,511 patients, through an analysis of the transect data, with 59.1% experiencing acute exacerbations. Both BA (79.14 ± 9.49 years) and biological age acceleration (1.04 ± 2.82 years) emerged as independent risk factors for AECOPD (P < 0.001). In Model 3, each year increment in BA and biological age acceleration corresponded to a 1.04-fold (95% CI = 1.027-1.048, P < 0.001) and 1.18-fold (95% CI = 1.14-1.224, P < 0.001) increase in exacerbation risk, respectively. The biological age of patients with stable COPD was significantly lower than the actual age (-0.36 ± 2.56 years), which suggests a significant inter-individual heterogeneity in the biological aging process of COPD patients. Subgroup analysis confirmed a pronounced dose‒response relationship between biological age acceleration and AECOPD risk(Q4 vs. Q1: OR = 2.7, 95% CI = 2.172-3.518). LASSO regression pinpointed BMI, Diabetes, Hypertensive heart disease, Cor pulmonale, Stroke, and Hyperlipidemia as critical variables within the model. The internal validation process revealed AUC values of 0.735 (95% CI = 0.7-0.77), 0.742 (95% CI = 0.707-0.777), 0.753 (95% CI = 0.719-0.787), and 0.766 (95% CI = 0.733-0.8) for the respective models. The HL test confirmed the models' good fit (P = 0.128, P = 0.121, P = 0.272, P = 0.795), with Model 4 exhibiting the most precise calibration against the diagonal reference. Decision curve analysis (DCA) indicated that all the models provided a net benefit in disease outcome discrimination, with Model 4 yielding the most significant advantage.

Conclusions: The acceleration of aging portends an increased propensity for acute exacerbations, and a distinct dose-response relationship is observable between biological age acceleration and exacerbation events. BA and biological age acceleration outperform chronological age in discerning the likelihood of acute exacerbations, underscoring their enhanced ability to predict this critical health outcome.

Abstract Image

Abstract Image

Abstract Image

慢性阻塞性肺疾病稳定和急性加重期的生物年龄建模
背景:年龄已被确定为慢性阻塞性肺疾病(COPD)的独立危险因素。生物年龄(BA)是一种衡量衰老程度的新指标,很少在慢性阻塞性肺病急性加重(AECOPD)的背景下进行研究。我们的研究旨在阐明BA与AECOPD之间的关系,从而强调BA在临床实践中作为预测工具的潜力。方法:数据集包含成都市第三人民医院2018 - 2022年住院患者。本研究纳入的AECOPD患者因咳嗽、咳痰、呼吸困难等症状迅速恶化而住院,而COPD患者临床稳定。采用Klemera-Doubale法(KDM)测定BA和生物年龄加速。采用多变量logistic回归分析评价BA、生物年龄加速与AECOPD发病的相关性,并辅以亚组分析探讨生物年龄加速与AECOPD发病的剂量-反应动力学关系。将数据集按7:3的比例划分为训练集和验证集,并采用LASSO回归优化模型的变量组成。为了评估不同变量区分当前疾病状态的能力,我们开发了初始模型和三个后续模型,并在新模型中添加了以下变量:实足年龄(CA), BA和生物年龄加速。随后在两个数据集中对模型进行了评估。结果:通过对横断面数据的分析,该研究队列包括2511例患者,其中59.1%经历了急性加重。BA(79.14±9.49岁)和生物年龄加速(1.04±2.82岁)均为AECOPD的独立危险因素(P)。结论:衰老加速预示着急性加重倾向的增加,生物年龄加速与加重事件之间存在明显的剂量-反应关系。BA和生物年龄加速在识别急性恶化的可能性方面优于实足年龄,强调了它们预测这一关键健康结果的增强能力。
本文章由计算机程序翻译,如有差异,请以英文原文为准。
求助全文
约1分钟内获得全文 求助全文
来源期刊
BMC Pulmonary Medicine
BMC Pulmonary Medicine RESPIRATORY SYSTEM-
CiteScore
4.40
自引率
3.20%
发文量
423
审稿时长
6-12 weeks
期刊介绍: BMC Pulmonary Medicine is an open access, peer-reviewed journal that considers articles on all aspects of the prevention, diagnosis and management of pulmonary and associated disorders, as well as related molecular genetics, pathophysiology, and epidemiology.
×
引用
GB/T 7714-2015
复制
MLA
复制
APA
复制
导出至
BibTeX EndNote RefMan NoteFirst NoteExpress
×
提示
您的信息不完整,为了账户安全,请先补充。
现在去补充
×
提示
您因"违规操作"
具体请查看互助需知
我知道了
×
提示
确定
请完成安全验证×
copy
已复制链接
快去分享给好友吧!
我知道了
右上角分享
点击右上角分享
0
联系我们:info@booksci.cn Book学术提供免费学术资源搜索服务,方便国内外学者检索中英文文献。致力于提供最便捷和优质的服务体验。 Copyright © 2023 布克学术 All rights reserved.
京ICP备2023020795号-1
ghs 京公网安备 11010802042870号
Book学术文献互助
Book学术文献互助群
群 号:604180095
Book学术官方微信