Temperature Dependence of Grain-Boundary Critical Current in K0.8Fe1.7(Se0.73S0.27)2 and CaKFe4As4

IF 0.7 4区 物理与天体物理 Q4 PHYSICS, MULTIDISCIPLINARY
T. E. Kuzmicheva, S. A. Kuzmichev, A. D. Ilina, I. A. Nikitchenkov, Ye. O. Rakhmanov, A. I. Shilov, I. V. Morozov, A. S. Medvedev, V. A. Vlasenko, K. S. Pervakov
{"title":"Temperature Dependence of Grain-Boundary Critical Current in K0.8Fe1.7(Se0.73S0.27)2 and CaKFe4As4","authors":"T. E. Kuzmicheva,&nbsp;S. A. Kuzmichev,&nbsp;A. D. Ilina,&nbsp;I. A. Nikitchenkov,&nbsp;Ye. O. Rakhmanov,&nbsp;A. I. Shilov,&nbsp;I. V. Morozov,&nbsp;A. S. Medvedev,&nbsp;V. A. Vlasenko,&nbsp;K. S. Pervakov","doi":"10.3103/S1068335625602390","DOIUrl":null,"url":null,"abstract":"<p>Using tunneling spectroscopy of break-junctions, we have studied the temperature behavior of the critical current <i>I</i><sub>c</sub>(<i>T</i>) at zero magnetic field for alkali-metal based superconductors: composite K<sub>0.8</sub>Fe<sub>1.7</sub>(Se<sub>0.73</sub>S<sub>0.27</sub>)<sub>2</sub> selenides with natural phase separation and polycrystalline samples of CaKFe<sub>4</sub>As<sub>4</sub> pnictides. The measured bulk and intergrain <i>I</i><sub>c</sub>(<i>T</i>) dependences are analyzed and compared.</p>","PeriodicalId":503,"journal":{"name":"Bulletin of the Lebedev Physics Institute","volume":"52 7","pages":"321 - 329"},"PeriodicalIF":0.7000,"publicationDate":"2025-08-20","publicationTypes":"Journal Article","fieldsOfStudy":null,"isOpenAccess":false,"openAccessPdf":"","citationCount":"0","resultStr":null,"platform":"Semanticscholar","paperid":null,"PeriodicalName":"Bulletin of the Lebedev Physics Institute","FirstCategoryId":"101","ListUrlMain":"https://link.springer.com/article/10.3103/S1068335625602390","RegionNum":4,"RegionCategory":"物理与天体物理","ArticlePicture":[],"TitleCN":null,"AbstractTextCN":null,"PMCID":null,"EPubDate":"","PubModel":"","JCR":"Q4","JCRName":"PHYSICS, MULTIDISCIPLINARY","Score":null,"Total":0}
引用次数: 0

Abstract

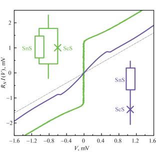
Using tunneling spectroscopy of break-junctions, we have studied the temperature behavior of the critical current Ic(T) at zero magnetic field for alkali-metal based superconductors: composite K0.8Fe1.7(Se0.73S0.27)2 selenides with natural phase separation and polycrystalline samples of CaKFe4As4 pnictides. The measured bulk and intergrain Ic(T) dependences are analyzed and compared.

Abstract Image

Abstract Image

K0.8Fe1.7(Se0.73S0.27)2和CaKFe4As4晶界临界电流的温度依赖性
利用断结隧道光谱,研究了碱金属基超导体、自然相分离的复合材料K0.8Fe1.7(Se0.73S0.27)2硒化物和CaKFe4As4多晶样品在零磁场下临界电流Ic(T)的温度行为。分析和比较了测量的体和晶间Ic(T)依赖性。
本文章由计算机程序翻译,如有差异,请以英文原文为准。
求助全文
约1分钟内获得全文 求助全文
来源期刊
Bulletin of the Lebedev Physics Institute
Bulletin of the Lebedev Physics Institute PHYSICS, MULTIDISCIPLINARY-
CiteScore
0.70
自引率
25.00%
发文量
41
审稿时长
6-12 weeks
期刊介绍: Bulletin of the Lebedev Physics Institute is an international peer reviewed journal that publishes results of new original experimental and theoretical studies on all topics of physics: theoretical physics; atomic and molecular physics; nuclear physics; optics; lasers; condensed matter; physics of solids; biophysics, and others.
×
引用
GB/T 7714-2015
复制
MLA
复制
APA
复制
导出至
BibTeX EndNote RefMan NoteFirst NoteExpress
×
提示
您的信息不完整,为了账户安全,请先补充。
现在去补充
×
提示
您因"违规操作"
具体请查看互助需知
我知道了
×
提示
确定
请完成安全验证×
copy
已复制链接
快去分享给好友吧!
我知道了
右上角分享
点击右上角分享
0
联系我们:info@booksci.cn Book学术提供免费学术资源搜索服务,方便国内外学者检索中英文文献。致力于提供最便捷和优质的服务体验。 Copyright © 2023 布克学术 All rights reserved.
京ICP备2023020795号-1
ghs 京公网安备 11010802042870号
Book学术文献互助
Book学术文献互助群
群 号:604180095
Book学术官方微信