Impact of daratumumab refractoriness on clinical outcomes following CAR T-cell therapy for relapsed refractory multiple myeloma

IF 11.6 1区 医学 Q1 HEMATOLOGY
T. Sebastian, S. Rajeeve, T. Farzana, R. Firestone, E. Jurgens, K. Miller, B. Costa, A. Lesokhin, C. Tan, G. Shah, N. Korde, H. Landau, M. Scordo, H. Hassoun, K. Maclachlan, U. Shah, M. Hultcrantz, A. Derkach, D. Nemirovsky, S. Giralt, S. Z. Usmani, S. Mailankody, H. Hashmi
{"title":"Impact of daratumumab refractoriness on clinical outcomes following CAR T-cell therapy for relapsed refractory multiple myeloma","authors":"T. Sebastian, S. Rajeeve, T. Farzana, R. Firestone, E. Jurgens, K. Miller, B. Costa, A. Lesokhin, C. Tan, G. Shah, N. Korde, H. Landau, M. Scordo, H. Hassoun, K. Maclachlan, U. Shah, M. Hultcrantz, A. Derkach, D. Nemirovsky, S. Giralt, S. Z. Usmani, S. Mailankody, H. Hashmi","doi":"10.1038/s41408-025-01343-4","DOIUrl":null,"url":null,"abstract":"","PeriodicalId":8989,"journal":{"name":"Blood Cancer Journal","volume":"146 1","pages":""},"PeriodicalIF":11.6000,"publicationDate":"2025-08-14","publicationTypes":"Journal Article","fieldsOfStudy":null,"isOpenAccess":false,"openAccessPdf":"","citationCount":"0","resultStr":null,"platform":"Semanticscholar","paperid":null,"PeriodicalName":"Blood Cancer Journal","FirstCategoryId":"3","ListUrlMain":"https://doi.org/10.1038/s41408-025-01343-4","RegionNum":1,"RegionCategory":"医学","ArticlePicture":[],"TitleCN":null,"AbstractTextCN":null,"PMCID":null,"EPubDate":"","PubModel":"","JCR":"Q1","JCRName":"HEMATOLOGY","Score":null,"Total":0}
引用次数: 0

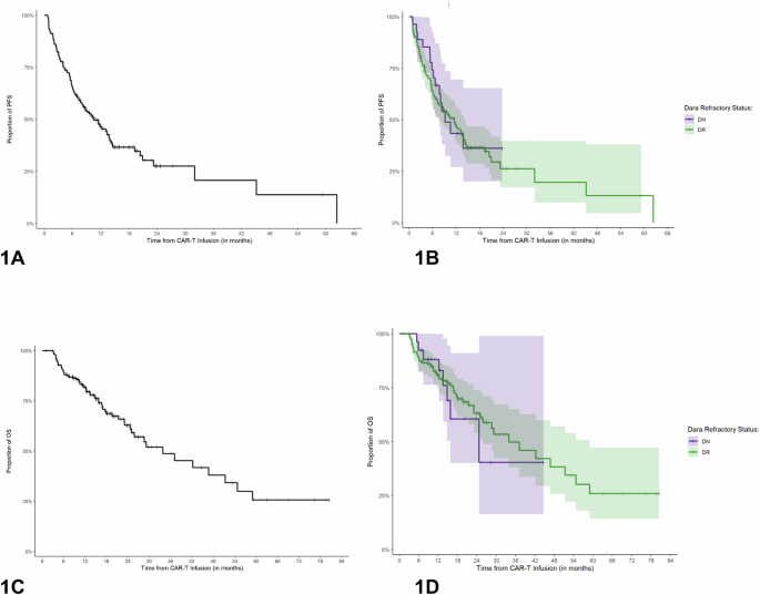
Abstract Image

daratumumab的难治性对CAR - t细胞治疗复发难治性多发性骨髓瘤后临床结果的影响
本文章由计算机程序翻译,如有差异,请以英文原文为准。
求助全文
约1分钟内获得全文 求助全文
来源期刊
CiteScore
16.70
自引率
2.30%
发文量
153
审稿时长
>12 weeks
期刊介绍: Blood Cancer Journal is dedicated to publishing high-quality articles related to hematologic malignancies and related disorders. The journal welcomes submissions of original research, reviews, guidelines, and letters that are deemed to have a significant impact in the field. While the journal covers a wide range of topics, it particularly focuses on areas such as: Preclinical studies of new compounds, especially those that provide mechanistic insights Clinical trials and observations Reviews related to new drugs and current management of hematologic malignancies Novel observations related to new mutations, molecular pathways, and tumor genomics Blood Cancer Journal offers a forum for expedited publication of novel observations regarding new mutations or altered pathways.
×
引用
GB/T 7714-2015
复制
MLA
复制
APA
复制
导出至
BibTeX EndNote RefMan NoteFirst NoteExpress
×
提示
您的信息不完整,为了账户安全,请先补充。
现在去补充
×
提示
您因"违规操作"
具体请查看互助需知
我知道了
×
提示
确定
请完成安全验证×
copy
已复制链接
快去分享给好友吧!
我知道了
右上角分享
点击右上角分享
0
联系我们:info@booksci.cn Book学术提供免费学术资源搜索服务,方便国内外学者检索中英文文献。致力于提供最便捷和优质的服务体验。 Copyright © 2023 布克学术 All rights reserved.
京ICP备2023020795号-1
ghs 京公网安备 11010802042870号
Book学术文献互助
Book学术文献互助群
群 号:604180095
Book学术官方微信