Early alpha power in the frontal lobe area can predict delirium after cardiac surgery.

IF 1.5 4区 医学 Q3 CARDIAC & CARDIOVASCULAR SYSTEMS
Fengbo Pei, Xupeng Yang, Pengfei Chen, Jinhua Wei, Yao Yao, Zhou Zhao, Hui Wu, Yi Shi, Zujun Chen
{"title":"Early alpha power in the frontal lobe area can predict delirium after cardiac surgery.","authors":"Fengbo Pei, Xupeng Yang, Pengfei Chen, Jinhua Wei, Yao Yao, Zhou Zhao, Hui Wu, Yi Shi, Zujun Chen","doi":"10.1186/s13019-025-03576-7","DOIUrl":null,"url":null,"abstract":"<p><strong>Background: </strong>Delirium is a common postoperative complication in patients undergoing cardiac surgery and is associated with prolonged hospitalization and persistent cognitive impairment. This study aimed to assess the predictive value of alpha power in various brain regions at different time points for postoperative delirium.</p><p><strong>Methods: </strong>Patients scheduled for routine cardiac surgery were prospectively enrolled. All participants underwent 12-hour ambulatory electroencephalography (EEG) monitoring immediately upon admission to the intensive care unit (ICU). Delirium was assessed daily using the CAM-ICU criteria for five postoperative days. Alpha power in the frontal, parietal, and occipital lobes was analyzed at three time points: immediately (T0), at 6 h, and at 12 h postoperatively.</p><p><strong>Results: </strong>Among the 106 patients in the training cohort, 45 developed postoperative delirium. These patients had a higher incidence of hypertension and prolonged extracorporeal circulation and aortic clamping times. Alpha power in the frontal lobe at T0 was identified as the most accurate predictor of delirium, with an area under the curve (AUC) of 0.91 (95% CI: 0.84-0.97). The validation cohort (n = 74) showed consistent results with an AUC of 0.9188 (95% CI: 0.87-0.99; P < 0.001).</p><p><strong>Conclusion: </strong>Frontal lobe alpha power measured immediately postoperatively could be a reliable neurophysiological biomarker for predicting delirium after cardiac surgery, outperforming conventional clinical predictors (AUC 0.91 vs. 0.70).</p>","PeriodicalId":15201,"journal":{"name":"Journal of Cardiothoracic Surgery","volume":"20 1","pages":"333"},"PeriodicalIF":1.5000,"publicationDate":"2025-08-11","publicationTypes":"Journal Article","fieldsOfStudy":null,"isOpenAccess":false,"openAccessPdf":"https://www.ncbi.nlm.nih.gov/pmc/articles/PMC12341309/pdf/","citationCount":"0","resultStr":null,"platform":"Semanticscholar","paperid":null,"PeriodicalName":"Journal of Cardiothoracic Surgery","FirstCategoryId":"3","ListUrlMain":"https://doi.org/10.1186/s13019-025-03576-7","RegionNum":4,"RegionCategory":"医学","ArticlePicture":[],"TitleCN":null,"AbstractTextCN":null,"PMCID":null,"EPubDate":"","PubModel":"","JCR":"Q3","JCRName":"CARDIAC & CARDIOVASCULAR SYSTEMS","Score":null,"Total":0}
引用次数: 0

Abstract

Background: Delirium is a common postoperative complication in patients undergoing cardiac surgery and is associated with prolonged hospitalization and persistent cognitive impairment. This study aimed to assess the predictive value of alpha power in various brain regions at different time points for postoperative delirium.

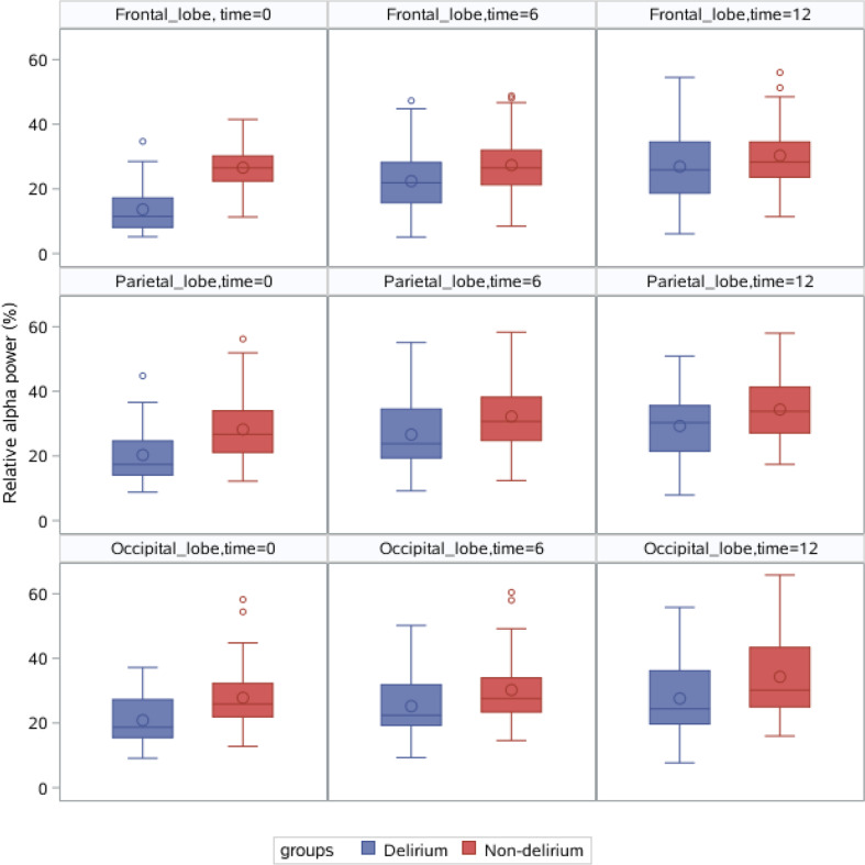
Methods: Patients scheduled for routine cardiac surgery were prospectively enrolled. All participants underwent 12-hour ambulatory electroencephalography (EEG) monitoring immediately upon admission to the intensive care unit (ICU). Delirium was assessed daily using the CAM-ICU criteria for five postoperative days. Alpha power in the frontal, parietal, and occipital lobes was analyzed at three time points: immediately (T0), at 6 h, and at 12 h postoperatively.

Results: Among the 106 patients in the training cohort, 45 developed postoperative delirium. These patients had a higher incidence of hypertension and prolonged extracorporeal circulation and aortic clamping times. Alpha power in the frontal lobe at T0 was identified as the most accurate predictor of delirium, with an area under the curve (AUC) of 0.91 (95% CI: 0.84-0.97). The validation cohort (n = 74) showed consistent results with an AUC of 0.9188 (95% CI: 0.87-0.99; P < 0.001).

Conclusion: Frontal lobe alpha power measured immediately postoperatively could be a reliable neurophysiological biomarker for predicting delirium after cardiac surgery, outperforming conventional clinical predictors (AUC 0.91 vs. 0.70).

Abstract Image

Abstract Image

Abstract Image

额叶区域的早期阿尔法能量可以预测心脏手术后的谵妄。
背景:谵妄是心脏手术患者常见的术后并发症,与住院时间延长和持续认知功能障碍有关。本研究旨在评估不同时间点不同脑区α功率对术后谵妄的预测价值。方法:前瞻性纳入计划进行常规心脏手术的患者。所有参与者在进入重症监护病房(ICU)后立即进行12小时动态脑电图(EEG)监测。术后5天每天使用CAM-ICU标准评估谵妄。在术后即刻(T0)、6小时和12小时三个时间点分析额叶、顶叶和枕叶的α功率。结果:106例患者中,45例出现术后谵妄。这些患者高血压发病率较高,体外循环和主动脉夹持时间延长。T0时额叶α功率被认为是谵妄最准确的预测指标,曲线下面积(AUC)为0.91 (95% CI: 0.84-0.97)。验证队列(n = 74)结果一致,AUC为0.9188 (95% CI: 0.87-0.99;结论:术后立即测量额叶α功率可作为预测心脏手术后谵妄的可靠神经生理生物标志物,优于传统的临床预测指标(AUC为0.91比0.70)。
本文章由计算机程序翻译,如有差异,请以英文原文为准。
求助全文
约1分钟内获得全文 求助全文
来源期刊
Journal of Cardiothoracic Surgery
Journal of Cardiothoracic Surgery 医学-心血管系统
CiteScore
2.50
自引率
6.20%
发文量
286
审稿时长
4-8 weeks
期刊介绍: Journal of Cardiothoracic Surgery is an open access journal that encompasses all aspects of research in the field of Cardiology, and Cardiothoracic and Vascular Surgery. The journal publishes original scientific research documenting clinical and experimental advances in cardiac, vascular and thoracic surgery, and related fields. Topics of interest include surgical techniques, survival rates, surgical complications and their outcomes; along with basic sciences, pediatric conditions, transplantations and clinical trials. Journal of Cardiothoracic Surgery is of interest to cardiothoracic and vascular surgeons, cardiothoracic anaesthesiologists, cardiologists, chest physicians, and allied health professionals.
×
引用
GB/T 7714-2015
复制
MLA
复制
APA
复制
导出至
BibTeX EndNote RefMan NoteFirst NoteExpress
×
提示
您的信息不完整,为了账户安全,请先补充。
现在去补充
×
提示
您因"违规操作"
具体请查看互助需知
我知道了
×
提示
确定
请完成安全验证×
copy
已复制链接
快去分享给好友吧!
我知道了
右上角分享
点击右上角分享
0
联系我们:info@booksci.cn Book学术提供免费学术资源搜索服务,方便国内外学者检索中英文文献。致力于提供最便捷和优质的服务体验。 Copyright © 2023 布克学术 All rights reserved.
京ICP备2023020795号-1
ghs 京公网安备 11010802042870号
Book学术文献互助
Book学术文献互助群
群 号:604180095
Book学术官方微信