Comparative effects of integrated physical training with a high protein diet versus a regular protein diet in post-COVID-19 older men with sarcopenia symptoms.

IF 2.5 Q2 NUTRITION & DIETETICS
BMJ Nutrition, Prevention and Health Pub Date : 2025-04-04 eCollection Date: 2025-01-01 DOI:10.1136/bmjnph-2024-001076
Gopal Nambi, Mshari Alghadier, Shahul Hameed Pakkir Mohamed, Arul Vellaiyan, Elturabi Elsayed Ebrahim, Dena Eltabey Sobeh, Osama R Aldhafian, Mohamed Sherif Sirajudeen, Hariraja Muthusamy, Radhakrishnan Unnikrishnan, Naif Nwihadh Alshahrani, Alaa Jameel A Albarakati
{"title":"Comparative effects of integrated physical training with a high protein diet versus a regular protein diet in post-COVID-19 older men with sarcopenia symptoms.","authors":"Gopal Nambi, Mshari Alghadier, Shahul Hameed Pakkir Mohamed, Arul Vellaiyan, Elturabi Elsayed Ebrahim, Dena Eltabey Sobeh, Osama R Aldhafian, Mohamed Sherif Sirajudeen, Hariraja Muthusamy, Radhakrishnan Unnikrishnan, Naif Nwihadh Alshahrani, Alaa Jameel A Albarakati","doi":"10.1136/bmjnph-2024-001076","DOIUrl":null,"url":null,"abstract":"<p><strong>Background: </strong>Sarcopenia has become a significant health issue, particularly as a common consequence of COVID-19 in older adults.</p><p><strong>Objective: </strong>This study aimed to explore the clinical and psychological effects of integrated physical training with a high-protein diet compared with a regular protein diet in community-dwelling older men who had recovered from COVID-19 and exhibited symptoms of sarcopenia.</p><p><strong>Methods: </strong>This is a single-blinded, randomised, controlled study conducted from March 2020 to December 2023 at the University hospital. The eligible participants were randomly assigned to two groups using the block randomisation method. The first group underwent integrated physical training with a high-protein diet (group A; n=38), with an average age of 64.1±3.8 years, while the second group underwent integrated physical training with a regular protein diet (group B; n=38), with an average age of 64.5±3.6 years over an 8-week period. Clinical parameters (handgrip strength and muscle mass-cross-sectional area CSA) and psychological measures (kinesiophobia and quality of life) were assessed at baseline, the fourth week, the eighth week and at a 6-month follow-up. The data were analysed using a 4×2 mixed model for repeated measures at different time points.</p><p><strong>Results: </strong>Demographic characteristics such as age, height, weight and body mass index did not show any statistically significant differences between the groups (p>0.05). After the 8-week intervention and at the 6-month follow-up, handgrip strength decreased by -5.0 (95% CI -6.21 to -3.78), midthigh CSA decreased by -3.7 (95% CI -6.53 to -0.86), midcalf CSA decreased by -4.4 (95% CI -6.80 to -2.00), kinesiophobia level increased by 8.1 (95% CI 7.16 to 9.03) and quality of life decreased by -6.3 (95% CI -9.0 to -3.5). The findings indicated significantly greater improvement (p<0.001) in group A compared with group B, although there was no significant difference in muscle CSA in the arm region (p>0.05).</p><p><strong>Conclusion: </strong>Integrated physical training with a high-protein diet led to improvements in clinical (muscle strength and muscle mass) and psychological (kinesiophobia and quality of life) parameters compared with integrated physical training with a regular protein diet in older men recovering from COVID-19 and displaying symptoms of sarcopenia.</p>","PeriodicalId":36307,"journal":{"name":"BMJ Nutrition, Prevention and Health","volume":"8 1","pages":"e001076"},"PeriodicalIF":2.5000,"publicationDate":"2025-04-04","publicationTypes":"Journal Article","fieldsOfStudy":null,"isOpenAccess":false,"openAccessPdf":"https://www.ncbi.nlm.nih.gov/pmc/articles/PMC12322558/pdf/","citationCount":"0","resultStr":null,"platform":"Semanticscholar","paperid":null,"PeriodicalName":"BMJ Nutrition, Prevention and Health","FirstCategoryId":"1085","ListUrlMain":"https://doi.org/10.1136/bmjnph-2024-001076","RegionNum":0,"RegionCategory":null,"ArticlePicture":[],"TitleCN":null,"AbstractTextCN":null,"PMCID":null,"EPubDate":"2025/1/1 0:00:00","PubModel":"eCollection","JCR":"Q2","JCRName":"NUTRITION & DIETETICS","Score":null,"Total":0}
引用次数: 0

Abstract

Background: Sarcopenia has become a significant health issue, particularly as a common consequence of COVID-19 in older adults.

Objective: This study aimed to explore the clinical and psychological effects of integrated physical training with a high-protein diet compared with a regular protein diet in community-dwelling older men who had recovered from COVID-19 and exhibited symptoms of sarcopenia.

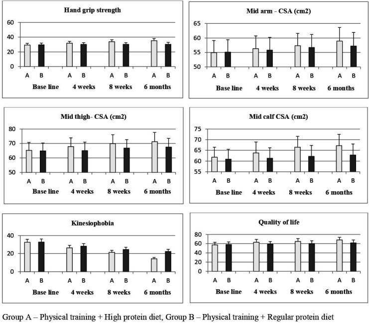
Methods: This is a single-blinded, randomised, controlled study conducted from March 2020 to December 2023 at the University hospital. The eligible participants were randomly assigned to two groups using the block randomisation method. The first group underwent integrated physical training with a high-protein diet (group A; n=38), with an average age of 64.1±3.8 years, while the second group underwent integrated physical training with a regular protein diet (group B; n=38), with an average age of 64.5±3.6 years over an 8-week period. Clinical parameters (handgrip strength and muscle mass-cross-sectional area CSA) and psychological measures (kinesiophobia and quality of life) were assessed at baseline, the fourth week, the eighth week and at a 6-month follow-up. The data were analysed using a 4×2 mixed model for repeated measures at different time points.

Results: Demographic characteristics such as age, height, weight and body mass index did not show any statistically significant differences between the groups (p>0.05). After the 8-week intervention and at the 6-month follow-up, handgrip strength decreased by -5.0 (95% CI -6.21 to -3.78), midthigh CSA decreased by -3.7 (95% CI -6.53 to -0.86), midcalf CSA decreased by -4.4 (95% CI -6.80 to -2.00), kinesiophobia level increased by 8.1 (95% CI 7.16 to 9.03) and quality of life decreased by -6.3 (95% CI -9.0 to -3.5). The findings indicated significantly greater improvement (p<0.001) in group A compared with group B, although there was no significant difference in muscle CSA in the arm region (p>0.05).

Conclusion: Integrated physical training with a high-protein diet led to improvements in clinical (muscle strength and muscle mass) and psychological (kinesiophobia and quality of life) parameters compared with integrated physical training with a regular protein diet in older men recovering from COVID-19 and displaying symptoms of sarcopenia.

Abstract Image

Abstract Image

综合体能训练加高蛋白饮食与常规蛋白质饮食对covid -19后老年男性肌肉减少症症状的比较效果
背景:骨骼肌减少症已成为一个重大的健康问题,特别是作为COVID-19在老年人中的常见后果。目的:本研究旨在探讨高蛋白饮食与常规蛋白质饮食相结合的综合体能训练对新冠肺炎康复后出现肌肉减少症症状的社区老年男性的临床和心理影响。方法:这是一项单盲、随机、对照研究,于2020年3月至2023年12月在大学医院进行。采用分组随机法将符合条件的参与者随机分为两组。第一组接受综合体能训练和高蛋白饮食(a组;n=38),平均年龄64.1±3.8岁,第二组在常规蛋白质饮食的基础上进行综合体能训练(B组;N =38),平均年龄64.5±3.6岁,随访8周。临床参数(握力和肌肉质量横截面积CSA)和心理测量(运动恐惧症和生活质量)在基线、第四周、第八周和6个月随访时进行评估。使用4×2混合模型对不同时间点的重复测量数据进行分析。结果:年龄、身高、体重、体质指数等人口学特征组间差异无统计学意义(p < 0.05)。经过8周的干预和6个月的随访,握力下降了-5.0 (95% CI -6.21至-3.78),大腿中部CSA下降了-3.7 (95% CI -6.53至-0.86),小腿中部CSA下降了-4.4 (95% CI -6.80至-2.00),运动恐惧水平增加了8.1 (95% CI 7.16至9.03),生活质量下降了-6.3 (95% CI -9.0至-3.5)。结果显示明显改善(p0.05)。结论:与常规蛋白质饮食的综合体能训练相比,高蛋白饮食的综合体能训练可改善2019冠状病毒病康复后出现肌肉减少症状的老年男性的临床(肌肉力量和肌肉量)和心理(运动恐惧症和生活质量)参数。
本文章由计算机程序翻译,如有差异,请以英文原文为准。
求助全文
约1分钟内获得全文 求助全文
来源期刊
BMJ Nutrition, Prevention and Health
BMJ Nutrition, Prevention and Health Nursing-Nutrition and Dietetics
CiteScore
5.80
自引率
0.00%
发文量
34
×
引用
GB/T 7714-2015
复制
MLA
复制
APA
复制
导出至
BibTeX EndNote RefMan NoteFirst NoteExpress
×
提示
您的信息不完整,为了账户安全,请先补充。
现在去补充
×
提示
您因"违规操作"
具体请查看互助需知
我知道了
×
提示
确定
请完成安全验证×
copy
已复制链接
快去分享给好友吧!
我知道了
右上角分享
点击右上角分享
0
联系我们:info@booksci.cn Book学术提供免费学术资源搜索服务,方便国内外学者检索中英文文献。致力于提供最便捷和优质的服务体验。 Copyright © 2023 布克学术 All rights reserved.
京ICP备2023020795号-1
ghs 京公网安备 11010802042870号
Book学术文献互助
Book学术文献互助群
群 号:604180095
Book学术官方微信