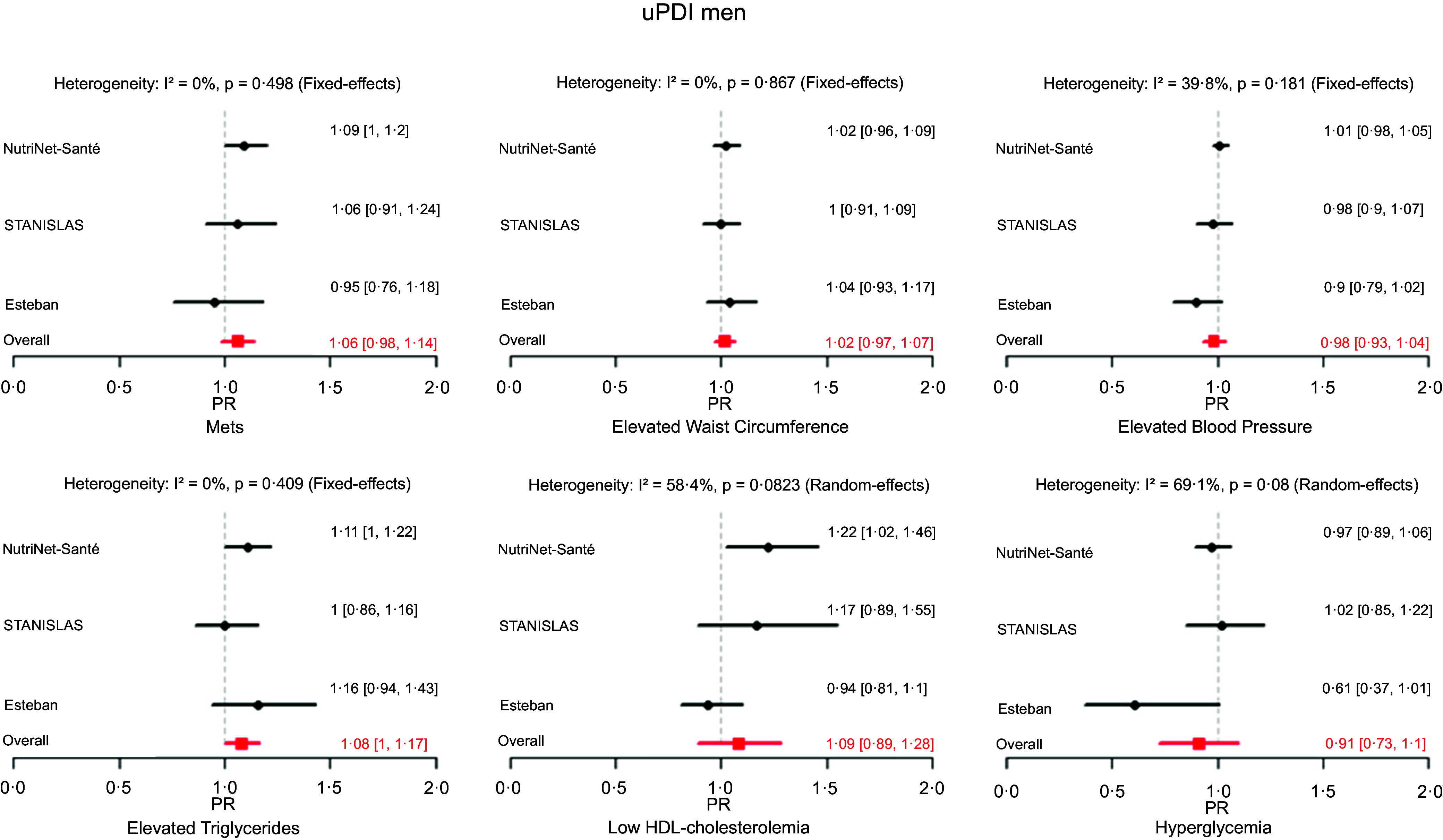
Cross-sectional associations between healthy and unhealthy plant-based diets and metabolic syndrome in three distinct French populations: a meta-analysis - ERRATUM.

IF 3 3区 医学 Q2 NUTRITION & DIETETICS
British Journal of Nutrition Pub Date : 2025-08-14 Epub Date: 2025-08-06 DOI:10.1017/S0007114525103978
Clémentine Prioux, Sandra Wagner, Léopold K Fézeu, Valérie Deschamps, Charlotte Verdot, Julia Baudry, Mathilde Touvier, Serge Hercberg, Julie-Anne Nazare, Axelle Hoge, João Pedro Ferreira, Patrick Rossignol, Nicolas Girerd, Sopio Tatulashvili, Emmanuelle Kesse-Guyot, Benjamin Allès
{"title":"Cross-sectional associations between healthy and unhealthy plant-based diets and metabolic syndrome in three distinct French populations: a meta-analysis - ERRATUM.","authors":"Clémentine Prioux, Sandra Wagner, Léopold K Fézeu, Valérie Deschamps, Charlotte Verdot, Julia Baudry, Mathilde Touvier, Serge Hercberg, Julie-Anne Nazare, Axelle Hoge, João Pedro Ferreira, Patrick Rossignol, Nicolas Girerd, Sopio Tatulashvili, Emmanuelle Kesse-Guyot, Benjamin Allès","doi":"10.1017/S0007114525103978","DOIUrl":null,"url":null,"abstract":"","PeriodicalId":9257,"journal":{"name":"British Journal of Nutrition","volume":" ","pages":"263-264"},"PeriodicalIF":3.0000,"publicationDate":"2025-08-14","publicationTypes":"Journal Article","fieldsOfStudy":null,"isOpenAccess":false,"openAccessPdf":"https://www.ncbi.nlm.nih.gov/pmc/articles/PMC12491389/pdf/","citationCount":"0","resultStr":null,"platform":"Semanticscholar","paperid":null,"PeriodicalName":"British Journal of Nutrition","FirstCategoryId":"3","ListUrlMain":"https://doi.org/10.1017/S0007114525103978","RegionNum":3,"RegionCategory":"医学","ArticlePicture":[],"TitleCN":null,"AbstractTextCN":null,"PMCID":null,"EPubDate":"2025/8/6 0:00:00","PubModel":"Epub","JCR":"Q2","JCRName":"NUTRITION & DIETETICS","Score":null,"Total":0}
引用次数: 0

Abstract Image

在三个不同的法国人群中,健康和不健康的植物性饮食与代谢综合征之间的横断面关联:一项荟萃分析。
本文章由计算机程序翻译,如有差异,请以英文原文为准。
求助全文
约1分钟内获得全文 求助全文
来源期刊
British Journal of Nutrition
British Journal of Nutrition 医学-营养学
CiteScore
6.60
自引率
5.60%
发文量
740
审稿时长
3 months
期刊介绍: British Journal of Nutrition is a leading international peer-reviewed journal covering research on human and clinical nutrition, animal nutrition and basic science as applied to nutrition. The Journal recognises the multidisciplinary nature of nutritional science and includes material from all of the specialities involved in nutrition research, including molecular and cell biology and nutritional genomics.
×
引用
GB/T 7714-2015
复制
MLA
复制
APA
复制
导出至
BibTeX EndNote RefMan NoteFirst NoteExpress
×
提示
您的信息不完整,为了账户安全,请先补充。
现在去补充
×
提示
您因"违规操作"
具体请查看互助需知
我知道了
×
提示
确定
请完成安全验证×
copy
已复制链接
快去分享给好友吧!
我知道了
右上角分享
点击右上角分享
0
联系我们:info@booksci.cn Book学术提供免费学术资源搜索服务,方便国内外学者检索中英文文献。致力于提供最便捷和优质的服务体验。 Copyright © 2023 布克学术 All rights reserved.
京ICP备2023020795号-1
ghs 京公网安备 11010802042870号
Book学术文献互助
Book学术文献互助群
群 号:604180095
Book学术官方微信