The utility of monitoring end-tidal carbon dioxide in emergency department to predict inhospital mortality of patients presenting with nontraumatic shock: A prospective observational study.

IF 2.3 Q3 EMERGENCY MEDICINE
R Abhiraj, Meera Ekka, Aravind Sreekumar, Praveen Aggarwal, Nayer Jamshed, Sanjeev Kumar Bhoi, Maroof Ahmed Khan
{"title":"The utility of monitoring end-tidal carbon dioxide in emergency department to predict inhospital mortality of patients presenting with nontraumatic shock: A prospective observational study.","authors":"R Abhiraj, Meera Ekka, Aravind Sreekumar, Praveen Aggarwal, Nayer Jamshed, Sanjeev Kumar Bhoi, Maroof Ahmed Khan","doi":"10.4103/tjem.tjem_223_24","DOIUrl":null,"url":null,"abstract":"<p><strong>Objectives: </strong>We aimed to identify the ability of end-tidal carbon dioxide (EtCO2) to predict inhospital mortality of patients presenting to the emergency department (ED) with nontraumatic circulatory shock. We also attempted to assess the correlation between EtCO2 and other traditional vital signs and laboratory parameters in this patient population at different time points during their resuscitation.</p><p><strong>Methods: </strong>This was a single-center prospective observational study conducted among patients with nontraumatic circulatory shock who presented to the ED of a tertiary care teaching institute in India. EtCO2 measurement was done using mainstream capnography in both intubated and nonintubated patients at presentation and at 120 min of resuscitation. Heart rate, systolic blood pressure, diastolic blood pressure, mean arterial pressure (MAP), respiratory rate, oxygen saturation, and laboratory parameters (lactate, base deficit [BD], and partial pressure of carbon dioxide) were measured at the same time points. All patients were followed up till hospital discharge.</p><p><strong>Results: </strong>One hundred and ten patients were recruited to the study. An EtCO2 of ≤ 23 mm Hg at presentation was 87% sensitive (95% CI: 73-95 %) and 43% specific (95% CI: 31-56 %) in predicting in-hospital mortality of patients presenting with no-traumatic circulatory shock in emergency department [area under curve (AUC): 0.735 (95% CI: 0.638-0.832, p<0.001)]. EtCO2 ≥23 mmHg at presentation had a significant predictive value on the risk of in-hospital mortality with an adjusted odd's ratio of 0.08 (95% CI: 0.02-0.3, <i>P</i> < 0.001). EtCO2 values at presentation and 120 min as well as the change between the time points showed statistically significant weak-to-moderate positive correlations with corresponding values of MAP and BD. Similarly, a significant negative correlation was demonstrated with lactate levels at the same time points.</p><p><strong>Conclusion: </strong>EtCO2 values at presentation are an independent predictor of inhospital mortality of patients with circulatory shock of nontraumatic etiology presenting to the ED.</p>","PeriodicalId":46536,"journal":{"name":"Turkish Journal of Emergency Medicine","volume":"25 3","pages":"199-207"},"PeriodicalIF":2.3000,"publicationDate":"2025-07-01","publicationTypes":"Journal Article","fieldsOfStudy":null,"isOpenAccess":false,"openAccessPdf":"https://www.ncbi.nlm.nih.gov/pmc/articles/PMC12309820/pdf/","citationCount":"0","resultStr":null,"platform":"Semanticscholar","paperid":null,"PeriodicalName":"Turkish Journal of Emergency Medicine","FirstCategoryId":"1085","ListUrlMain":"https://doi.org/10.4103/tjem.tjem_223_24","RegionNum":0,"RegionCategory":null,"ArticlePicture":[],"TitleCN":null,"AbstractTextCN":null,"PMCID":null,"EPubDate":"","PubModel":"","JCR":"Q3","JCRName":"EMERGENCY MEDICINE","Score":null,"Total":0}
引用次数: 0

Abstract

Objectives: We aimed to identify the ability of end-tidal carbon dioxide (EtCO2) to predict inhospital mortality of patients presenting to the emergency department (ED) with nontraumatic circulatory shock. We also attempted to assess the correlation between EtCO2 and other traditional vital signs and laboratory parameters in this patient population at different time points during their resuscitation.

Methods: This was a single-center prospective observational study conducted among patients with nontraumatic circulatory shock who presented to the ED of a tertiary care teaching institute in India. EtCO2 measurement was done using mainstream capnography in both intubated and nonintubated patients at presentation and at 120 min of resuscitation. Heart rate, systolic blood pressure, diastolic blood pressure, mean arterial pressure (MAP), respiratory rate, oxygen saturation, and laboratory parameters (lactate, base deficit [BD], and partial pressure of carbon dioxide) were measured at the same time points. All patients were followed up till hospital discharge.

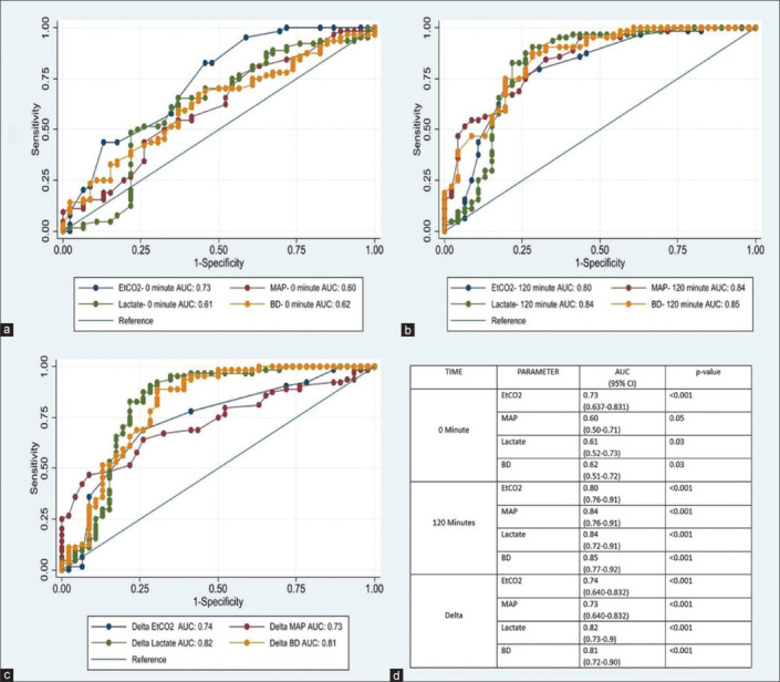
Results: One hundred and ten patients were recruited to the study. An EtCO2 of ≤ 23 mm Hg at presentation was 87% sensitive (95% CI: 73-95 %) and 43% specific (95% CI: 31-56 %) in predicting in-hospital mortality of patients presenting with no-traumatic circulatory shock in emergency department [area under curve (AUC): 0.735 (95% CI: 0.638-0.832, p<0.001)]. EtCO2 ≥23 mmHg at presentation had a significant predictive value on the risk of in-hospital mortality with an adjusted odd's ratio of 0.08 (95% CI: 0.02-0.3, P < 0.001). EtCO2 values at presentation and 120 min as well as the change between the time points showed statistically significant weak-to-moderate positive correlations with corresponding values of MAP and BD. Similarly, a significant negative correlation was demonstrated with lactate levels at the same time points.

Conclusion: EtCO2 values at presentation are an independent predictor of inhospital mortality of patients with circulatory shock of nontraumatic etiology presenting to the ED.

Abstract Image

Abstract Image

Abstract Image

急诊科监测潮末二氧化碳对预测非创伤性休克患者住院死亡率的效用:一项前瞻性观察研究。
目的:我们旨在确定潮汐末二氧化碳(EtCO2)预测急诊(ED)非创伤性循环性休克患者住院死亡率的能力。我们还试图评估该患者在复苏过程中不同时间点的EtCO2与其他传统生命体征和实验室参数的相关性。方法:这是一项单中心前瞻性观察研究,研究对象是在印度一家三级医疗教学机构急诊科就诊的非创伤性循环性休克患者。插管和非插管患者在入院时和复苏120分钟时均采用主流血管造影测量EtCO2。在同一时间点测量心率、收缩压、舒张压、平均动脉压(MAP)、呼吸速率、血氧饱和度和实验室参数(乳酸、碱性赤字[BD]和二氧化碳分压)。所有患者均随访至出院。结果:110例患者被纳入研究。在预测急诊非创伤性循环休克患者的住院死亡率时,就诊时EtCO2≤23 mm Hg的敏感性为87% (95% CI: 73- 95%),特异性为43% (95% CI: 31- 56%)[曲线下面积(AUC): 0.735 (95% CI: 0.638-0.832, pP < 0.001)]。出现时和120 min的EtCO2值以及时间点之间的变化与MAP、BD相应值呈显著的弱到中度正相关,与同一时间点的乳酸水平呈显著的负相关。结论:就诊时的EtCO2值是急诊非创伤性循环休克患者住院死亡率的独立预测因子。
本文章由计算机程序翻译,如有差异,请以英文原文为准。
求助全文
约1分钟内获得全文 求助全文
来源期刊
CiteScore
1.70
自引率
0.00%
发文量
30
审稿时长
22 weeks
期刊介绍: The Turkish Journal of Emergency Medicine (Turk J Emerg Med) is an International, peer-reviewed, open-access journal that publishes clinical and experimental trials, case reports, invited reviews, case images, letters to the Editor, and interesting research conducted in all fields of Emergency Medicine. The Journal is the official scientific publication of the Emergency Medicine Association of Turkey (EMAT) and is printed four times a year, in January, April, July and October. The language of the journal is English. The Journal is based on independent and unbiased double-blinded peer-reviewed principles. Only unpublished papers that are not under review for publication elsewhere can be submitted. The authors are responsible for the scientific content of the material to be published. The Turkish Journal of Emergency Medicine reserves the right to request any research materials on which the paper is based. The Editorial Board of the Turkish Journal of Emergency Medicine and the Publisher adheres to the principles of the International Council of Medical Journal Editors, the World Association of Medical Editors, the Council of Science Editors, the Committee on Publication Ethics, the US National Library of Medicine, the US Office of Research Integrity, the European Association of Science Editors, and the International Society of Managing and Technical Editors.
×
引用
GB/T 7714-2015
复制
MLA
复制
APA
复制
导出至
BibTeX EndNote RefMan NoteFirst NoteExpress
×
提示
您的信息不完整,为了账户安全,请先补充。
现在去补充
×
提示
您因"违规操作"
具体请查看互助需知
我知道了
×
提示
确定
请完成安全验证×
copy
已复制链接
快去分享给好友吧!
我知道了
右上角分享
点击右上角分享
0
联系我们:info@booksci.cn Book学术提供免费学术资源搜索服务,方便国内外学者检索中英文文献。致力于提供最便捷和优质的服务体验。 Copyright © 2023 布克学术 All rights reserved.
京ICP备2023020795号-1
ghs 京公网安备 11010802042870号
Book学术文献互助
Book学术文献互助群
群 号:604180095
Book学术官方微信