Spontaneous neural activity alterations in medication-naïve primary blepharospasm: a resting-state functional magnetic resonance imaging study.

IF 3.5 4区 医学 Q2 NEUROSCIENCES
Frontiers in Systems Neuroscience Pub Date : 2025-07-14 eCollection Date: 2025-01-01 DOI:10.3389/fnsys.2025.1639915
Hua-Liang Li, Shu Wang, Xin-Xin Yao, Si-Yu Gu, Jian-Bin Hu, Ping-Lei Pan
{"title":"Spontaneous neural activity alterations in medication-naïve primary blepharospasm: a resting-state functional magnetic resonance imaging study.","authors":"Hua-Liang Li, Shu Wang, Xin-Xin Yao, Si-Yu Gu, Jian-Bin Hu, Ping-Lei Pan","doi":"10.3389/fnsys.2025.1639915","DOIUrl":null,"url":null,"abstract":"<p><strong>Background: </strong>Brain functional reorganization in primary blepharospasm (BSP) remains incompletely understood. This study aimed to add to the increasing knowledge by examining abnormalities in local spontaneous neural activity in this disorder.</p><p><strong>Methods: </strong>Resting-state functional magnetic resonance imaging data were acquired from 32 medication-naïve patients with BSP and 32 age- and sex-matched healthy controls in this study. The imaging data were analyzed using the amplitude of low frequency fluctuation (ALFF) to measure spontaneous neural activity. Partial correlation analyses between the altered ALFF values and clinical variables (illness duration and Jankovic Rating Scale score) in patients with BSP were further conducted.</p><p><strong>Results: </strong>Compared to healthy controls, medication-naïve patients with BSP exhibited significantly increased ALFF in the bilateral putamen and left premotor cortex and decreased ALFF in the bilateral thalamus (<i>p</i> < 0.05, threshold-free cluster enhancement with family-wise error correction for multiple comparisons). Furthermore, ALFF values in the left putamen in the patient group were positively correlated with illness duration (<i>r</i> = 0.53, <i>p</i> = 0.002).</p><p><strong>Conclusion: </strong>Our findings reveal aberrant spontaneous neural activity within key regions of the motor control network in medication-naïve BSP patients. These ALFF alterations, especially the progressive changes observed in the putamen, provide novel insights into BSP neuropathophysiology and highlight the value of studying untreated cohorts to understand the disorder's intrinsic characteristics.</p>","PeriodicalId":12649,"journal":{"name":"Frontiers in Systems Neuroscience","volume":"19 ","pages":"1639915"},"PeriodicalIF":3.5000,"publicationDate":"2025-07-14","publicationTypes":"Journal Article","fieldsOfStudy":null,"isOpenAccess":false,"openAccessPdf":"https://www.ncbi.nlm.nih.gov/pmc/articles/PMC12301356/pdf/","citationCount":"0","resultStr":null,"platform":"Semanticscholar","paperid":null,"PeriodicalName":"Frontiers in Systems Neuroscience","FirstCategoryId":"3","ListUrlMain":"https://doi.org/10.3389/fnsys.2025.1639915","RegionNum":4,"RegionCategory":"医学","ArticlePicture":[],"TitleCN":null,"AbstractTextCN":null,"PMCID":null,"EPubDate":"2025/1/1 0:00:00","PubModel":"eCollection","JCR":"Q2","JCRName":"NEUROSCIENCES","Score":null,"Total":0}
引用次数: 0

Abstract

Background: Brain functional reorganization in primary blepharospasm (BSP) remains incompletely understood. This study aimed to add to the increasing knowledge by examining abnormalities in local spontaneous neural activity in this disorder.

Methods: Resting-state functional magnetic resonance imaging data were acquired from 32 medication-naïve patients with BSP and 32 age- and sex-matched healthy controls in this study. The imaging data were analyzed using the amplitude of low frequency fluctuation (ALFF) to measure spontaneous neural activity. Partial correlation analyses between the altered ALFF values and clinical variables (illness duration and Jankovic Rating Scale score) in patients with BSP were further conducted.

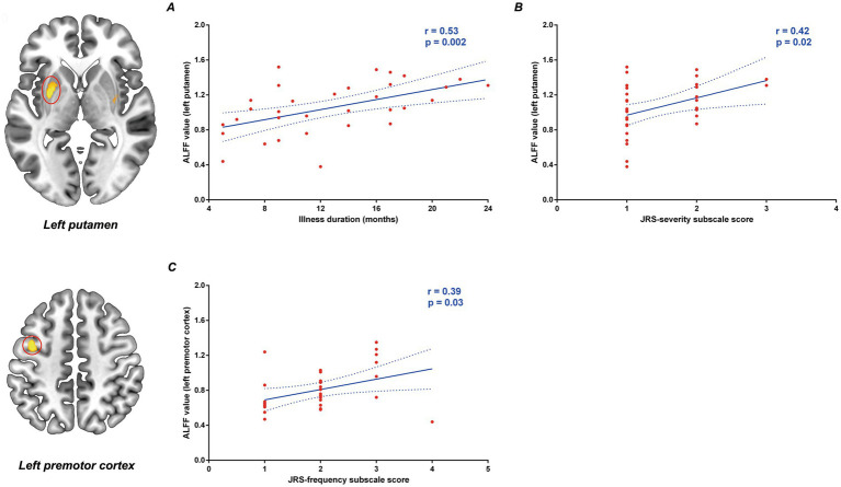
Results: Compared to healthy controls, medication-naïve patients with BSP exhibited significantly increased ALFF in the bilateral putamen and left premotor cortex and decreased ALFF in the bilateral thalamus (p < 0.05, threshold-free cluster enhancement with family-wise error correction for multiple comparisons). Furthermore, ALFF values in the left putamen in the patient group were positively correlated with illness duration (r = 0.53, p = 0.002).

Conclusion: Our findings reveal aberrant spontaneous neural activity within key regions of the motor control network in medication-naïve BSP patients. These ALFF alterations, especially the progressive changes observed in the putamen, provide novel insights into BSP neuropathophysiology and highlight the value of studying untreated cohorts to understand the disorder's intrinsic characteristics.

Abstract Image

Abstract Image

自发性神经活动改变medication-naïve原发性眼睑痉挛:静息状态功能磁共振成像研究。
背景:原发性眼睑痉挛(BSP)的脑功能重组尚不完全清楚。本研究旨在通过检查这种疾病的局部自发神经活动异常来增加对这种疾病的认识。方法:获取32例medication-naïve BSP患者和32例年龄、性别匹配的健康对照者静息状态功能磁共振成像数据。利用低频波动幅度(ALFF)测量自发性神经活动,对成像数据进行分析。进一步对BSP患者ALFF值的改变与临床变量(病程、Jankovic评分)进行偏相关分析。结果:与健康对照组相比,medication-naïve BSP患者双侧壳核和左侧运动前皮层ALFF显著升高,双侧丘脑ALFF显著降低(p r = 0.53,p = 0.002)。结论:我们的研究结果揭示了medication-naïve BSP患者运动控制网络关键区域的异常自发神经活动。这些ALFF的改变,特别是壳核中观察到的进行性变化,为BSP神经病理生理学提供了新的见解,并强调了研究未经治疗的队列以了解该疾病的内在特征的价值。
本文章由计算机程序翻译,如有差异,请以英文原文为准。
求助全文
约1分钟内获得全文 求助全文
来源期刊
Frontiers in Systems Neuroscience
Frontiers in Systems Neuroscience Neuroscience-Developmental Neuroscience
CiteScore
6.00
自引率
3.30%
发文量
144
审稿时长
14 weeks
期刊介绍: Frontiers in Systems Neuroscience publishes rigorously peer-reviewed research that advances our understanding of whole systems of the brain, including those involved in sensation, movement, learning and memory, attention, reward, decision-making, reasoning, executive functions, and emotions.
×
引用
GB/T 7714-2015
复制
MLA
复制
APA
复制
导出至
BibTeX EndNote RefMan NoteFirst NoteExpress
×
提示
您的信息不完整,为了账户安全,请先补充。
现在去补充
×
提示
您因"违规操作"
具体请查看互助需知
我知道了
×
提示
确定
请完成安全验证×
copy
已复制链接
快去分享给好友吧!
我知道了
右上角分享
点击右上角分享
0
联系我们:info@booksci.cn Book学术提供免费学术资源搜索服务,方便国内外学者检索中英文文献。致力于提供最便捷和优质的服务体验。 Copyright © 2023 布克学术 All rights reserved.
京ICP备2023020795号-1
ghs 京公网安备 11010802042870号
Book学术文献互助
Book学术文献互助群
群 号:604180095
Book学术官方微信