The Central Variant of Posterior Reversible Encephalopathy Syndrome: A Systematic Review and Meta-Analysis.

IF 3 Q2 CLINICAL NEUROLOGY
Bahadar S Srichawla, Maria A Garcia-Dominguez, Brian Silver
{"title":"The Central Variant of Posterior Reversible Encephalopathy Syndrome: A Systematic Review and Meta-Analysis.","authors":"Bahadar S Srichawla, Maria A Garcia-Dominguez, Brian Silver","doi":"10.3390/neurolint17070113","DOIUrl":null,"url":null,"abstract":"<p><strong>Background: </strong>The central variant of posterior reversible encephalopathy syndrome (cvPRES) is an atypical subtype of PRES. Although no unifying definitions exists, it is most often characterized by vasogenic edema involving \"central\" structures, such as the brainstem, subcortical nuclei, and spinal cord, with relative sparing of the parieto-occipital lobes.</p><p><strong>Methods: </strong>This systematic review and meta-analysis followed the PRISMA guidelines and was pre-registered on PROSPERO [CRD42023483806]. Both the Joanna Briggs Institute and New-Castle Ottawa scale were used for case reports and cohort studies, respectively. The meta-analysis was completed using R-Studio and its associated \"metafor\" package.</p><p><strong>Results: </strong>A comprehensive search in four databases yielded 70 case reports/series (<i>n</i> = 100) and 12 cohort studies. The meta-analysis revealed a pooled incidence rate of 13% (95% CI: 9-18%) for cvPRES amongst included cohort studies on PRES. Significant heterogeneity was observed (I<sup>2</sup> = 71% and a <i>τ</i><sup>2</sup> = 0.2046). The average age of affected individuals was 40.9 years, with a slightly higher prevalence in males (54%). The most common etiological factor was hypertension (72%). Fifty percent had an SBP >200 mmHg at presentation and a mean arterial pressure (MAP) of 217.6 ± 40.82. Imaging revealed an increased T<sub>2</sub> signal involving the brain stem (88%), most often in the pons (62/88; 70.45%), and 18/100 (18%) cases of PRES with spinal cord involvement (PRES-SCI). Management primarily involved blood pressure reduction, with adjunctive therapies for underlying causes such as anti-seizure medications or hemodialysis. The MAP between isolated PRES-SCI and cvPRES without spinal cord involvement did not show significant differences (<i>p</i> = 0.5205). Favorable outcomes were observed in most cases, with a mortality rate of only 2%.</p><p><strong>Conclusions: </strong>cvPRES is most often associated with higher blood pressure compared to prior studies with typical PRES. The pons is most often involved. Despite the severity of blood pressure and critical brain stem involvement, those with cvPRES have favorable functional outcomes and a lower mortality rate than typical PRES, likely attributable to reversible vasogenic edema without significant neuronal dysfunction.</p>","PeriodicalId":19130,"journal":{"name":"Neurology International","volume":"17 7","pages":""},"PeriodicalIF":3.0000,"publicationDate":"2025-07-21","publicationTypes":"Journal Article","fieldsOfStudy":null,"isOpenAccess":false,"openAccessPdf":"https://www.ncbi.nlm.nih.gov/pmc/articles/PMC12298113/pdf/","citationCount":"0","resultStr":null,"platform":"Semanticscholar","paperid":null,"PeriodicalName":"Neurology International","FirstCategoryId":"1085","ListUrlMain":"https://doi.org/10.3390/neurolint17070113","RegionNum":0,"RegionCategory":null,"ArticlePicture":[],"TitleCN":null,"AbstractTextCN":null,"PMCID":null,"EPubDate":"","PubModel":"","JCR":"Q2","JCRName":"CLINICAL NEUROLOGY","Score":null,"Total":0}
引用次数: 0

Abstract

Background: The central variant of posterior reversible encephalopathy syndrome (cvPRES) is an atypical subtype of PRES. Although no unifying definitions exists, it is most often characterized by vasogenic edema involving "central" structures, such as the brainstem, subcortical nuclei, and spinal cord, with relative sparing of the parieto-occipital lobes.

Methods: This systematic review and meta-analysis followed the PRISMA guidelines and was pre-registered on PROSPERO [CRD42023483806]. Both the Joanna Briggs Institute and New-Castle Ottawa scale were used for case reports and cohort studies, respectively. The meta-analysis was completed using R-Studio and its associated "metafor" package.

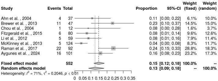
Results: A comprehensive search in four databases yielded 70 case reports/series (n = 100) and 12 cohort studies. The meta-analysis revealed a pooled incidence rate of 13% (95% CI: 9-18%) for cvPRES amongst included cohort studies on PRES. Significant heterogeneity was observed (I2 = 71% and a τ2 = 0.2046). The average age of affected individuals was 40.9 years, with a slightly higher prevalence in males (54%). The most common etiological factor was hypertension (72%). Fifty percent had an SBP >200 mmHg at presentation and a mean arterial pressure (MAP) of 217.6 ± 40.82. Imaging revealed an increased T2 signal involving the brain stem (88%), most often in the pons (62/88; 70.45%), and 18/100 (18%) cases of PRES with spinal cord involvement (PRES-SCI). Management primarily involved blood pressure reduction, with adjunctive therapies for underlying causes such as anti-seizure medications or hemodialysis. The MAP between isolated PRES-SCI and cvPRES without spinal cord involvement did not show significant differences (p = 0.5205). Favorable outcomes were observed in most cases, with a mortality rate of only 2%.

Conclusions: cvPRES is most often associated with higher blood pressure compared to prior studies with typical PRES. The pons is most often involved. Despite the severity of blood pressure and critical brain stem involvement, those with cvPRES have favorable functional outcomes and a lower mortality rate than typical PRES, likely attributable to reversible vasogenic edema without significant neuronal dysfunction.

Abstract Image

Abstract Image

Abstract Image

后部可逆性脑病综合征的中枢变异:系统回顾和荟萃分析。
背景:后部可逆性脑病综合征(cvPRES)的中枢变型是一种非典型的PRES亚型,虽然没有统一的定义,但其最常见的特征是血管源性水肿,累及“中枢”结构,如脑干、皮质下核和脊髓,顶枕叶相对较少。方法:本系统评价和荟萃分析遵循PRISMA指南,并在PROSPERO上预注册[CRD42023483806]。乔安娜布里格斯研究所和纽卡斯尔渥太华量表分别用于病例报告和队列研究。meta分析是使用R-Studio及其相关的“元”包完成的。结果:在四个数据库中进行全面检索,获得70例病例报告/系列(n = 100)和12项队列研究。meta分析显示,在纳入的PRES队列研究中,cvPRES的合并发病率为13% (95% CI: 9-18%),观察到显著的异质性(I2 = 71%, τ2 = 0.2046)。受影响个体的平均年龄为40.9岁,男性患病率略高(54%)。最常见的病因是高血压(72%)。50%患者就诊时收缩压为200 mmHg,平均动脉压(MAP)为217.6±40.82。成像显示T2信号增加累及脑干(88%),最常见于脑桥(62/88;press伴脊髓受累(press - sci) 18/100(18%)。治疗主要包括降低血压,并对潜在原因进行辅助治疗,如抗癫痫药物或血液透析。孤立性press - sci与无脊髓受累的cvpress - sci之间的MAP无显著差异(p = 0.5205)。在大多数病例中观察到良好的结果,死亡率仅为2%。结论:与以往的典型PRES研究相比,cvPRES最常与高血压相关,最常涉及脑桥。尽管有严重的血压和严重的脑干受累,与典型的PRES相比,cvPRES患者有良好的功能结局和较低的死亡率,可能是由于可逆性血管源性水肿,没有明显的神经元功能障碍。
本文章由计算机程序翻译,如有差异,请以英文原文为准。
求助全文
约1分钟内获得全文 求助全文
来源期刊
Neurology International
Neurology International CLINICAL NEUROLOGY-
CiteScore
3.70
自引率
3.30%
发文量
69
审稿时长
11 weeks
×
引用
GB/T 7714-2015
复制
MLA
复制
APA
复制
导出至
BibTeX EndNote RefMan NoteFirst NoteExpress
×
提示
您的信息不完整,为了账户安全,请先补充。
现在去补充
×
提示
您因"违规操作"
具体请查看互助需知
我知道了
×
提示
确定
请完成安全验证×
copy
已复制链接
快去分享给好友吧!
我知道了
右上角分享
点击右上角分享
0
联系我们:info@booksci.cn Book学术提供免费学术资源搜索服务,方便国内外学者检索中英文文献。致力于提供最便捷和优质的服务体验。 Copyright © 2023 布克学术 All rights reserved.
京ICP备2023020795号-1
ghs 京公网安备 11010802042870号
Book学术文献互助
Book学术文献互助群
群 号:604180095
Book学术官方微信