Cytotoxic effects of five Iranian medicinal plants on pancreatic cancer cell lines and investigation of induced changes in the expression of several key genes.

IF 3.4 2区 医学 Q1 INTEGRATIVE & COMPLEMENTARY MEDICINE
Sahar Akrami, Shirin Omidvar Kordshouli, Ahmad Tahmasebi, Ali Moghadam, Farzaneh Aram, Ali Golestan, Amin Ramezani, Ali Niazi
{"title":"Cytotoxic effects of five Iranian medicinal plants on pancreatic cancer cell lines and investigation of induced changes in the expression of several key genes.","authors":"Sahar Akrami, Shirin Omidvar Kordshouli, Ahmad Tahmasebi, Ali Moghadam, Farzaneh Aram, Ali Golestan, Amin Ramezani, Ali Niazi","doi":"10.1186/s12906-025-04970-3","DOIUrl":null,"url":null,"abstract":"<p><p>Cancer is a deadly and fast-spreading disease that is a growing health problem worldwide due to a lack of comprehensive screening and appropriate medication. However, natural products derived from medicinal plants have gained attention as potential sources of bioactive compounds that selectively remove cancerous lesions and are nontoxic and safe. Pancreatic cancer (PC) is a major therapeutic challenge and is predicted to surpass breast cancer as the third leading cause of cancer death. This study investigated the cytotoxic effects of methanolic extracts from five Iranian medicinal plants, Cuscuta epithymum, Achillea millefolium, Salvia officinalis, Salvia hydrangea, and Teucrium polium, on pancreatic cancer cell lines (MIA PaCa-2 and PaTu8902). Additionally, we examined the changes in the expression of key genes following treatment with C. epithymum extract. The findings revealed that the plant extracts had a dose-dependent effect on the cell viability of the lines, with the C. epithymum extract exhibiting the greatest cytotoxic effect (IC50 values of 85.03 µg/mL for MIA PaCa-2 and 156.57 µg/mL for PaTu 8902). GC‒MS analysis revealed 25 bioactive compounds in C. epithymum, with quinic acid (14.13%), p-vinylphenol (13.22%), and valeraldehyde (11.21%) as the most abundant. The study also investigated the changes in the expression of the STAT4, PIK3CD, EMP1, and RAB11FIP3 genes in MIA PaCa-2 and PaTu 8902 pancreatic cancer cell lines after treatment with the extract from C. epithymum. A correlation was detected between the expression levels of PIK3CD, STAT4, EMP1, and RAB11FIP3 and various concentrations of C. epithymum extract. The results revealed that the extract increased the mRNA levels of STAT4, PIK3CD, and EMP1, whereas RAB11FIP3 was reduced in the treated cells. Accordingly, C. epithymum extract has strong cytotoxic effects on pancreatic cancer cells and influences the expression of key cancer-related genes, suggesting its potential as a therapeutic candidate for PC treatment. Further in vivo studies are recommended to explore its mechanisms of action and clinical applicability.</p>","PeriodicalId":9128,"journal":{"name":"BMC Complementary Medicine and Therapies","volume":"25 1","pages":"285"},"PeriodicalIF":3.4000,"publicationDate":"2025-07-22","publicationTypes":"Journal Article","fieldsOfStudy":null,"isOpenAccess":false,"openAccessPdf":"https://www.ncbi.nlm.nih.gov/pmc/articles/PMC12285092/pdf/","citationCount":"0","resultStr":null,"platform":"Semanticscholar","paperid":null,"PeriodicalName":"BMC Complementary Medicine and Therapies","FirstCategoryId":"3","ListUrlMain":"https://doi.org/10.1186/s12906-025-04970-3","RegionNum":2,"RegionCategory":"医学","ArticlePicture":[],"TitleCN":null,"AbstractTextCN":null,"PMCID":null,"EPubDate":"","PubModel":"","JCR":"Q1","JCRName":"INTEGRATIVE & COMPLEMENTARY MEDICINE","Score":null,"Total":0}
引用次数: 0

Abstract

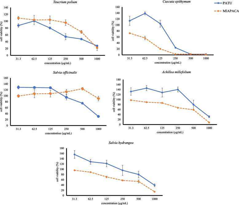
Cancer is a deadly and fast-spreading disease that is a growing health problem worldwide due to a lack of comprehensive screening and appropriate medication. However, natural products derived from medicinal plants have gained attention as potential sources of bioactive compounds that selectively remove cancerous lesions and are nontoxic and safe. Pancreatic cancer (PC) is a major therapeutic challenge and is predicted to surpass breast cancer as the third leading cause of cancer death. This study investigated the cytotoxic effects of methanolic extracts from five Iranian medicinal plants, Cuscuta epithymum, Achillea millefolium, Salvia officinalis, Salvia hydrangea, and Teucrium polium, on pancreatic cancer cell lines (MIA PaCa-2 and PaTu8902). Additionally, we examined the changes in the expression of key genes following treatment with C. epithymum extract. The findings revealed that the plant extracts had a dose-dependent effect on the cell viability of the lines, with the C. epithymum extract exhibiting the greatest cytotoxic effect (IC50 values of 85.03 µg/mL for MIA PaCa-2 and 156.57 µg/mL for PaTu 8902). GC‒MS analysis revealed 25 bioactive compounds in C. epithymum, with quinic acid (14.13%), p-vinylphenol (13.22%), and valeraldehyde (11.21%) as the most abundant. The study also investigated the changes in the expression of the STAT4, PIK3CD, EMP1, and RAB11FIP3 genes in MIA PaCa-2 and PaTu 8902 pancreatic cancer cell lines after treatment with the extract from C. epithymum. A correlation was detected between the expression levels of PIK3CD, STAT4, EMP1, and RAB11FIP3 and various concentrations of C. epithymum extract. The results revealed that the extract increased the mRNA levels of STAT4, PIK3CD, and EMP1, whereas RAB11FIP3 was reduced in the treated cells. Accordingly, C. epithymum extract has strong cytotoxic effects on pancreatic cancer cells and influences the expression of key cancer-related genes, suggesting its potential as a therapeutic candidate for PC treatment. Further in vivo studies are recommended to explore its mechanisms of action and clinical applicability.

Abstract Image

Abstract Image

Abstract Image

五种伊朗药用植物对胰腺癌细胞系的细胞毒作用及诱导几个关键基因表达变化的研究。
癌症是一种致命且传播迅速的疾病,由于缺乏全面的筛查和适当的药物治疗,它已成为全球日益严重的健康问题。然而,从药用植物中提取的天然产物作为生物活性化合物的潜在来源而受到关注,这些活性化合物可以选择性地去除癌症病变,并且无毒且安全。胰腺癌(PC)是一个主要的治疗挑战,预计将超过乳腺癌,成为癌症死亡的第三大原因。本研究研究了5种伊朗药用植物Cuscuta上皮、Achillea千叶、丹参、绣球丹参和teucium polium甲醇提取物对胰腺癌细胞株(MIA PaCa-2和PaTu8902)的细胞毒性作用。此外,我们还检测了上皮细胞提取物处理后关键基因表达的变化。结果表明,植物提取物对细胞系的细胞活力有剂量依赖性影响,其中C.上皮细胞提取物的细胞毒作用最大(MIA PaCa-2的IC50值为85.03µg/mL, PaTu 8902的IC50值为156.57µg/mL)。GC-MS分析结果显示,葡萄球菌上皮中含有25种活性物质,其中奎宁酸(14.13%)、对乙烯基酚(13.22%)和戊醛(11.21%)含量最高。本研究还研究了MIA PaCa-2和PaTu 8902胰腺癌细胞株经C.上皮细胞提取物处理后STAT4、PIK3CD、EMP1和RAB11FIP3基因的表达变化。检测到PIK3CD、STAT4、EMP1和RAB11FIP3的表达水平与不同浓度的C.上皮细胞提取物之间存在相关性。结果显示,提取物增加了处理细胞中STAT4、PIK3CD和EMP1的mRNA水平,而降低了RAB11FIP3的mRNA水平。因此,C.上皮提取物对胰腺癌细胞具有很强的细胞毒作用,并影响关键癌症相关基因的表达,表明其有潜力作为PC治疗的候选药物。建议进一步进行体内研究,以探索其作用机制和临床适用性。
本文章由计算机程序翻译,如有差异,请以英文原文为准。
求助全文
约1分钟内获得全文 求助全文
来源期刊
BMC Complementary Medicine and Therapies
BMC Complementary Medicine and Therapies INTEGRATIVE & COMPLEMENTARY MEDICINE-
CiteScore
6.10
自引率
2.60%
发文量
300
审稿时长
19 weeks
期刊介绍:
×
引用
GB/T 7714-2015
复制
MLA
复制
APA
复制
导出至
BibTeX EndNote RefMan NoteFirst NoteExpress
×
提示
您的信息不完整,为了账户安全,请先补充。
现在去补充
×
提示
您因"违规操作"
具体请查看互助需知
我知道了
×
提示
确定
请完成安全验证×
copy
已复制链接
快去分享给好友吧!
我知道了
右上角分享
点击右上角分享
0
联系我们:info@booksci.cn Book学术提供免费学术资源搜索服务,方便国内外学者检索中英文文献。致力于提供最便捷和优质的服务体验。 Copyright © 2023 布克学术 All rights reserved.
京ICP备2023020795号-1
ghs 京公网安备 11010802042870号
Book学术文献互助
Book学术文献互助群
群 号:604180095
Book学术官方微信