LDA-SCGB: inferring lncRNA-disease associations based on condensed gradient boosting.

IF 3.3 3区 生物学 Q2 BIOCHEMICAL RESEARCH METHODS
Chengqiu Dai, Linna Wang, Yingwei Deng, Xuzhu Gao, Jingyu Zhang
{"title":"LDA-SCGB: inferring lncRNA-disease associations based on condensed gradient boosting.","authors":"Chengqiu Dai, Linna Wang, Yingwei Deng, Xuzhu Gao, Jingyu Zhang","doi":"10.1186/s12859-025-06169-2","DOIUrl":null,"url":null,"abstract":"<p><strong>Background: </strong>Long non-coding RNAs (lncRNAs) play essential roles in various physiological and pathological processes. Inferring new lncRNA-disease associations (LDAs) not only promotes us to better understand these complex biological processes, but also provides new options for the diagnosis and prevention of diseases.</p><p><strong>Results: </strong>A novel computational model, LDA-SCGB, is proposed to predict new LDAs. LDA-SCGB first extracts features of each lncRNA-disease pair with singular value decomposition. Next, it classifies unknown lncRNA-disease pairs through the condensed gradient boosting model. The results demonstrated that LDA-SCGB greatly outperformed the other four representative LDA inference methods (SDLDA, LDNFSGB, LDAenDL and LDASR) under 5-fold cross validations on lncRNAs, diseases, and lncRNA-disease pairs on three LDA datasets, which were from lncRNADisease v2.0, MNDR, and lncRNADisease v3.0, respectively. LDA-SCGB was further used to find potential lncRNAs for colorectal cancer, heart failure, and lung adenocarcinoma. The results demonstrated that CCDC26, MIAT, and CCDC26 had higher association probability with colorectal cancer, heart failure, and lung adenocarcinoma, respectively.</p><p><strong>Conclusions: </strong>We foresee that LDA-SCGB was capable of predicting potential lncRNAs for complex diseases and further assisting in cancer diagnosis and therapy.</p>","PeriodicalId":8958,"journal":{"name":"BMC Bioinformatics","volume":"26 1","pages":"190"},"PeriodicalIF":3.3000,"publicationDate":"2025-07-22","publicationTypes":"Journal Article","fieldsOfStudy":null,"isOpenAccess":false,"openAccessPdf":"https://www.ncbi.nlm.nih.gov/pmc/articles/PMC12281771/pdf/","citationCount":"0","resultStr":null,"platform":"Semanticscholar","paperid":null,"PeriodicalName":"BMC Bioinformatics","FirstCategoryId":"99","ListUrlMain":"https://doi.org/10.1186/s12859-025-06169-2","RegionNum":3,"RegionCategory":"生物学","ArticlePicture":[],"TitleCN":null,"AbstractTextCN":null,"PMCID":null,"EPubDate":"","PubModel":"","JCR":"Q2","JCRName":"BIOCHEMICAL RESEARCH METHODS","Score":null,"Total":0}
引用次数: 0

Abstract

Background: Long non-coding RNAs (lncRNAs) play essential roles in various physiological and pathological processes. Inferring new lncRNA-disease associations (LDAs) not only promotes us to better understand these complex biological processes, but also provides new options for the diagnosis and prevention of diseases.

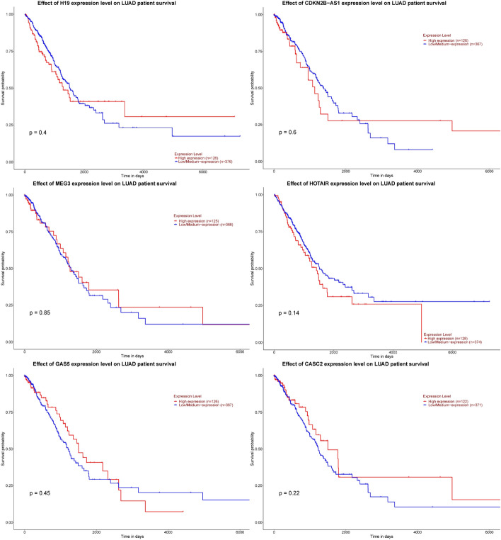
Results: A novel computational model, LDA-SCGB, is proposed to predict new LDAs. LDA-SCGB first extracts features of each lncRNA-disease pair with singular value decomposition. Next, it classifies unknown lncRNA-disease pairs through the condensed gradient boosting model. The results demonstrated that LDA-SCGB greatly outperformed the other four representative LDA inference methods (SDLDA, LDNFSGB, LDAenDL and LDASR) under 5-fold cross validations on lncRNAs, diseases, and lncRNA-disease pairs on three LDA datasets, which were from lncRNADisease v2.0, MNDR, and lncRNADisease v3.0, respectively. LDA-SCGB was further used to find potential lncRNAs for colorectal cancer, heart failure, and lung adenocarcinoma. The results demonstrated that CCDC26, MIAT, and CCDC26 had higher association probability with colorectal cancer, heart failure, and lung adenocarcinoma, respectively.

Conclusions: We foresee that LDA-SCGB was capable of predicting potential lncRNAs for complex diseases and further assisting in cancer diagnosis and therapy.

Abstract Image

Abstract Image

Abstract Image

LDA-SCGB:基于凝聚梯度增强推断lncrna与疾病的关联。
背景:长链非编码rna (lncRNAs)在各种生理和病理过程中发挥着重要作用。推断新的lncrna -疾病关联(LDAs)不仅有助于我们更好地理解这些复杂的生物学过程,而且为疾病的诊断和预防提供了新的选择。结果:提出了一种新的LDA-SCGB计算模型来预测新的lda。LDA-SCGB首先用奇异值分解法提取lncrna -疾病对的特征。其次,通过浓缩梯度增强模型对未知lncrna -疾病对进行分类。结果表明,在lncRNADisease v2.0、MNDR和lncRNADisease v3.0三个LDA数据集上,LDA- scgb对lncrna、疾病和lncrna -疾病对的5倍交叉验证中,LDA- scgb大大优于其他4种具有代表性的LDA推断方法(SDLDA、LDNFSGB、LDAenDL和LDASR)。进一步使用LDA-SCGB寻找结直肠癌、心力衰竭和肺腺癌的潜在lncrna。结果显示,CCDC26、MIAT和CCDC26分别与结直肠癌、心力衰竭和肺腺癌有较高的关联概率。结论:我们预见到LDA-SCGB能够预测复杂疾病的潜在lncrna,并进一步协助癌症的诊断和治疗。
本文章由计算机程序翻译,如有差异,请以英文原文为准。
求助全文
约1分钟内获得全文 求助全文
来源期刊
BMC Bioinformatics
BMC Bioinformatics 生物-生化研究方法
CiteScore
5.70
自引率
3.30%
发文量
506
审稿时长
4.3 months
期刊介绍: BMC Bioinformatics is an open access, peer-reviewed journal that considers articles on all aspects of the development, testing and novel application of computational and statistical methods for the modeling and analysis of all kinds of biological data, as well as other areas of computational biology. BMC Bioinformatics is part of the BMC series which publishes subject-specific journals focused on the needs of individual research communities across all areas of biology and medicine. We offer an efficient, fair and friendly peer review service, and are committed to publishing all sound science, provided that there is some advance in knowledge presented by the work.
×
引用
GB/T 7714-2015
复制
MLA
复制
APA
复制
导出至
BibTeX EndNote RefMan NoteFirst NoteExpress
×
提示
您的信息不完整,为了账户安全,请先补充。
现在去补充
×
提示
您因"违规操作"
具体请查看互助需知
我知道了
×
提示
确定
请完成安全验证×
copy
已复制链接
快去分享给好友吧!
我知道了
右上角分享
点击右上角分享
0
联系我们:info@booksci.cn Book学术提供免费学术资源搜索服务,方便国内外学者检索中英文文献。致力于提供最便捷和优质的服务体验。 Copyright © 2023 布克学术 All rights reserved.
京ICP备2023020795号-1
ghs 京公网安备 11010802042870号
Book学术文献互助
Book学术文献互助群
群 号:604180095
Book学术官方微信