Practice-Level Spending Variation for Radiation Treatment Episodes Among Older Adults With Cancer.

IF 11.3 Q1 HEALTH CARE SCIENCES & SERVICES
Miranda B Lam, Mary Beth Landrum, J Michael McWilliams, Benjamin Buzzee, Alexi A Wright, Nancy L Keating, Bruce E Landon
{"title":"Practice-Level Spending Variation for Radiation Treatment Episodes Among Older Adults With Cancer.","authors":"Miranda B Lam, Mary Beth Landrum, J Michael McWilliams, Benjamin Buzzee, Alexi A Wright, Nancy L Keating, Bruce E Landon","doi":"10.1001/jamahealthforum.2025.1952","DOIUrl":null,"url":null,"abstract":"<p><strong>Importance: </strong>Radiation treatments are an essential but expensive component of cancer care.</p><p><strong>Objective: </strong>To elucidate trends in radiation spending and identify factors associated with practice-level variations across the US health care system to inform alternative payment model design.</p><p><strong>Design, setting, and participants: </strong>This population-based cross-sectional study analyzed fee-for-service Medicare beneficiaries from 2009 to 2020. Patients were continuously enrolled in fee-for-service Medicare Parts A and B during the 1 year prior through 28 days after a radiation treatment episode. Data were analyzed from January 2023 to September 2024.</p><p><strong>Exposures: </strong>Medicare beneficiaries with cancer who received radiation therapy.</p><p><strong>Main outcomes and measures: </strong>Radiation treatment-specific standardized spending and utilization during 90-day treatment episodes were examined and characterized by radiation type (conformal, intensity modulated, stereotactic, proton, or brachytherapy) and number of fractions. Linear regression models with practice random effects to understand practice-level variation in standardized radiation spending were estimated. Variables were added to adjust for year, patient demographics, cancer type, geography, radiation technology, and number of fractions per episode.</p><p><strong>Results: </strong>From 2009 to 2020, 1 898 864 beneficiaries with cancer (mean [SD] age, 74 [8.4] years; 48.5% female) initiated 2 149 385 radiation treatment episodes at 2150 practices. Mean (SD) 90-day standardized radiation treatment-specific spending was $13 683 ($8628). Practice-level per-episode radiation-specific spending variation was high (SD after adjusting for year, $4121). It remained high even after adjusting for patient demographic characteristics, cancer type, geography, radiation technology, and number of fractions (SD, $1487). From 2009 to 2020, unadjusted per-episode standardized radiation-specific spending increased slightly from $12 978 to $13 689 (P = .04). During this time, the median (IQR) number of fractions per episode decreased from 25 (10-33) to 16 (5-29) (P < .001), while the proportion of radiation episodes using intensity-modulated or proton radiation treatment increased (from 5% to 18% and 0.4% to 2%, respectively [both P < .001]) and use of conformal radiation treatment decreased from 61% to 38% (P < .001).</p><p><strong>Conclusions and relevance: </strong>In this cross-sectional study, there was substantial variation in practice-level radiation spending and number of fractions for older patients with cancer undergoing radiation treatment both within and across health care markets. This practice-level variation suggests that there may be opportunities for savings under population-based payment models.</p>","PeriodicalId":53180,"journal":{"name":"JAMA Health Forum","volume":"6 7","pages":"e251952"},"PeriodicalIF":11.3000,"publicationDate":"2025-07-03","publicationTypes":"Journal Article","fieldsOfStudy":null,"isOpenAccess":false,"openAccessPdf":"https://www.ncbi.nlm.nih.gov/pmc/articles/PMC12274980/pdf/","citationCount":"0","resultStr":null,"platform":"Semanticscholar","paperid":null,"PeriodicalName":"JAMA Health Forum","FirstCategoryId":"1085","ListUrlMain":"https://doi.org/10.1001/jamahealthforum.2025.1952","RegionNum":0,"RegionCategory":null,"ArticlePicture":[],"TitleCN":null,"AbstractTextCN":null,"PMCID":null,"EPubDate":"","PubModel":"","JCR":"Q1","JCRName":"HEALTH CARE SCIENCES & SERVICES","Score":null,"Total":0}
引用次数: 0

Abstract

Importance: Radiation treatments are an essential but expensive component of cancer care.

Objective: To elucidate trends in radiation spending and identify factors associated with practice-level variations across the US health care system to inform alternative payment model design.

Design, setting, and participants: This population-based cross-sectional study analyzed fee-for-service Medicare beneficiaries from 2009 to 2020. Patients were continuously enrolled in fee-for-service Medicare Parts A and B during the 1 year prior through 28 days after a radiation treatment episode. Data were analyzed from January 2023 to September 2024.

Exposures: Medicare beneficiaries with cancer who received radiation therapy.

Main outcomes and measures: Radiation treatment-specific standardized spending and utilization during 90-day treatment episodes were examined and characterized by radiation type (conformal, intensity modulated, stereotactic, proton, or brachytherapy) and number of fractions. Linear regression models with practice random effects to understand practice-level variation in standardized radiation spending were estimated. Variables were added to adjust for year, patient demographics, cancer type, geography, radiation technology, and number of fractions per episode.

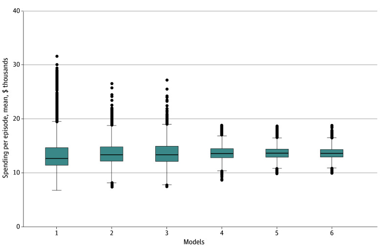
Results: From 2009 to 2020, 1 898 864 beneficiaries with cancer (mean [SD] age, 74 [8.4] years; 48.5% female) initiated 2 149 385 radiation treatment episodes at 2150 practices. Mean (SD) 90-day standardized radiation treatment-specific spending was $13 683 ($8628). Practice-level per-episode radiation-specific spending variation was high (SD after adjusting for year, $4121). It remained high even after adjusting for patient demographic characteristics, cancer type, geography, radiation technology, and number of fractions (SD, $1487). From 2009 to 2020, unadjusted per-episode standardized radiation-specific spending increased slightly from $12 978 to $13 689 (P = .04). During this time, the median (IQR) number of fractions per episode decreased from 25 (10-33) to 16 (5-29) (P < .001), while the proportion of radiation episodes using intensity-modulated or proton radiation treatment increased (from 5% to 18% and 0.4% to 2%, respectively [both P < .001]) and use of conformal radiation treatment decreased from 61% to 38% (P < .001).

Conclusions and relevance: In this cross-sectional study, there was substantial variation in practice-level radiation spending and number of fractions for older patients with cancer undergoing radiation treatment both within and across health care markets. This practice-level variation suggests that there may be opportunities for savings under population-based payment models.

Abstract Image

Abstract Image

Abstract Image

老年癌症患者放射治疗事件的实践水平支出变化。
重要性:放射治疗是癌症治疗的必要但昂贵的组成部分。目的:阐明辐射支出趋势,并确定与美国卫生保健系统实践水平变化相关的因素,为替代支付模式设计提供信息。设计、环境和参与者:这项以人群为基础的横断面研究分析了2009年至2020年按服务收费的医疗保险受益人。患者在放疗前1年至放疗后28天内连续参加按服务收费的医疗保险A部分和B部分。数据分析时间为2023年1月至2024年9月。暴露对象:接受放射治疗的癌症医疗保险受益人。主要结果和措施:在90天的治疗期间,检查了放射治疗特定的标准化花费和利用,并以放射类型(适形、强度调节、立体定向、质子或近距离治疗)和分数为特征。估计了具有实践随机效应的线性回归模型,以了解标准化辐射支出在实践水平上的变化。加入变量以调整年份、患者人口统计、癌症类型、地理位置、放射技术和每次发作的分数。结果:2009 - 2020年,1 898 864例癌症受益人(平均[SD]年龄74[8.4]岁;48.5%女性)在2150次实践中开始了2次 149次 385次放射治疗。平均(SD) 90天标准化放射治疗特异性支出为13 683美元(8628美元)。实践水平的每集辐射特异性支出差异很大(经年调整后标准差为4121美元)。即使在调整了患者的人口统计学特征、癌症类型、地理位置、放射技术和分数数之后,它仍然很高(标准差,1487美元)。从2009年到2020年,未经调整的每集标准化辐射特定支出从12 978美元略微增加到13 689美元(P = .04)。在此期间,每次发作的中位数(IQR)分数从25(10-33)下降到16 (5-29)(P结论和相关性:在这项横断面研究中,在医疗保健市场内部和跨医疗保健市场中,接受放射治疗的老年癌症患者的实践水平辐射支出和分数数量存在实质性变化。这种实践层面的差异表明,在以人口为基础的支付模式下,可能有节省的机会。
本文章由计算机程序翻译,如有差异,请以英文原文为准。
求助全文
约1分钟内获得全文 求助全文
来源期刊
CiteScore
4.00
自引率
7.80%
发文量
0
期刊介绍: JAMA Health Forum is an international, peer-reviewed, online, open access journal that addresses health policy and strategies affecting medicine, health, and health care. The journal publishes original research, evidence-based reports, and opinion about national and global health policy. It covers innovative approaches to health care delivery and health care economics, access, quality, safety, equity, and reform. In addition to publishing articles, JAMA Health Forum also features commentary from health policy leaders on the JAMA Forum. It covers news briefs on major reports released by government agencies, foundations, health policy think tanks, and other policy-focused organizations. JAMA Health Forum is a member of the JAMA Network, which is a consortium of peer-reviewed, general medical and specialty publications. The journal presents curated health policy content from across the JAMA Network, including journals such as JAMA and JAMA Internal Medicine.
×
引用
GB/T 7714-2015
复制
MLA
复制
APA
复制
导出至
BibTeX EndNote RefMan NoteFirst NoteExpress
×
提示
您的信息不完整,为了账户安全,请先补充。
现在去补充
×
提示
您因"违规操作"
具体请查看互助需知
我知道了
×
提示
确定
请完成安全验证×
copy
已复制链接
快去分享给好友吧!
我知道了
右上角分享
点击右上角分享
0
联系我们:info@booksci.cn Book学术提供免费学术资源搜索服务,方便国内外学者检索中英文文献。致力于提供最便捷和优质的服务体验。 Copyright © 2023 布克学术 All rights reserved.
京ICP备2023020795号-1
ghs 京公网安备 11010802042870号
Book学术文献互助
Book学术文献互助群
群 号:604180095
Book学术官方微信