Tropomyosin-based cross-reactivity and asymptomatic shellfish sensitization in patients with perennial allergy.

IF 3.1 Q2 ALLERGY
Frontiers in allergy Pub Date : 2025-06-27 eCollection Date: 2025-01-01 DOI:10.3389/falgy.2025.1598583
Moritz Maximilian Hollstein, Marie Charlotte Schuppe, Katharina Klara Hahn, Prasad Dasari, Susann Forkel, Caroline Beutner, Timo Buhl
{"title":"Tropomyosin-based cross-reactivity and asymptomatic shellfish sensitization in patients with perennial allergy.","authors":"Moritz Maximilian Hollstein, Marie Charlotte Schuppe, Katharina Klara Hahn, Prasad Dasari, Susann Forkel, Caroline Beutner, Timo Buhl","doi":"10.3389/falgy.2025.1598583","DOIUrl":null,"url":null,"abstract":"<p><strong>Background: </strong>Mite, cockroach, and shellfish (crab, clam, and shrimp) proteins share allergenic epitopes. The determination of specific IgE (sIgE) against cockroach (<i>Blattella germanica,</i> relevant in asthma) and shellfish allergens (relevant in food allergy) using whole-body extracts necessitates detailed knowledge of IgE cross-reactivity.</p><p><strong>Objective: </strong>This study aimed to evaluate whether cross-reactivity between aeroallergens and food allergens is clinically relevant and whether subjects with mite and/or cockroach sensitization are at risk of false-positive results in shellfish food allergy diagnostics.</p><p><strong>Methods: </strong>In this cross-sectional, single-center study, we recruited 200 patients with elevated sIgE against ≥1 allergen at random from our outpatient clinic and assessed allergic comorbidity. We analyzed sIgE against mites (<i>Dermatophagoides pteronyssinus, Dermatophagoides farinae,</i> or <i>Blomia tropicalis</i>), German cockroach (<i>B. germanica</i>), crab, clam, and shrimp whole allergen extract, as well as sIgE against mite tropomyosin Der p 10 and shrimp tropomyosin Pen a 1 (in a subpopulation), using automated ImmunoCAP Specific IgE Tests.</p><p><strong>Results: </strong>During allergologic assessment, two participants reported previous anaphylaxis to fish and/or seafood and were excluded from further analysis. The final study population comprised 150 female and 48 male participants. Of these, 93 presented with positive sIgE against mites. As expected, participants with mite sensitization displayed an elevated prevalence of perennial asthma or allergic rhinitis (<i>p</i> < 0.001). Further, they were more often sensitized to German cockroach, crab, claw, or shrimp (each <i>p</i> < 0.001). Der p 10 and Pen a 1 sIgE levels were below the cutoff level (<0.35 kU/L) in all subjects. However, the correlation analyses revealed that tropomyosin sIgE explained between 24% and 55% of the variance (R<sup>2</sup>) in sIgE against clam, crab, German cockroach, or shrimp (each <i>p</i> < 0.001).</p><p><strong>Conclusion: </strong>Patients with mite sensitization have higher asymptomatic sIgE levels to shellfish. Even in patients with anti-tropomyosin sIgE levels below the cutoff level, anti-tropomyosin sIgE correlates strongly with sIgE against German cockroach, crab, clam, and shrimp. Our findings suggest large-scale false-positive results for sIgE to shellfish when analyzing patients with mite- or cockroach sensitization.</p>","PeriodicalId":73062,"journal":{"name":"Frontiers in allergy","volume":"6 ","pages":"1598583"},"PeriodicalIF":3.1000,"publicationDate":"2025-06-27","publicationTypes":"Journal Article","fieldsOfStudy":null,"isOpenAccess":false,"openAccessPdf":"https://www.ncbi.nlm.nih.gov/pmc/articles/PMC12245884/pdf/","citationCount":"0","resultStr":null,"platform":"Semanticscholar","paperid":null,"PeriodicalName":"Frontiers in allergy","FirstCategoryId":"1085","ListUrlMain":"https://doi.org/10.3389/falgy.2025.1598583","RegionNum":0,"RegionCategory":null,"ArticlePicture":[],"TitleCN":null,"AbstractTextCN":null,"PMCID":null,"EPubDate":"2025/1/1 0:00:00","PubModel":"eCollection","JCR":"Q2","JCRName":"ALLERGY","Score":null,"Total":0}
引用次数: 0

Abstract

Background: Mite, cockroach, and shellfish (crab, clam, and shrimp) proteins share allergenic epitopes. The determination of specific IgE (sIgE) against cockroach (Blattella germanica, relevant in asthma) and shellfish allergens (relevant in food allergy) using whole-body extracts necessitates detailed knowledge of IgE cross-reactivity.

Objective: This study aimed to evaluate whether cross-reactivity between aeroallergens and food allergens is clinically relevant and whether subjects with mite and/or cockroach sensitization are at risk of false-positive results in shellfish food allergy diagnostics.

Methods: In this cross-sectional, single-center study, we recruited 200 patients with elevated sIgE against ≥1 allergen at random from our outpatient clinic and assessed allergic comorbidity. We analyzed sIgE against mites (Dermatophagoides pteronyssinus, Dermatophagoides farinae, or Blomia tropicalis), German cockroach (B. germanica), crab, clam, and shrimp whole allergen extract, as well as sIgE against mite tropomyosin Der p 10 and shrimp tropomyosin Pen a 1 (in a subpopulation), using automated ImmunoCAP Specific IgE Tests.

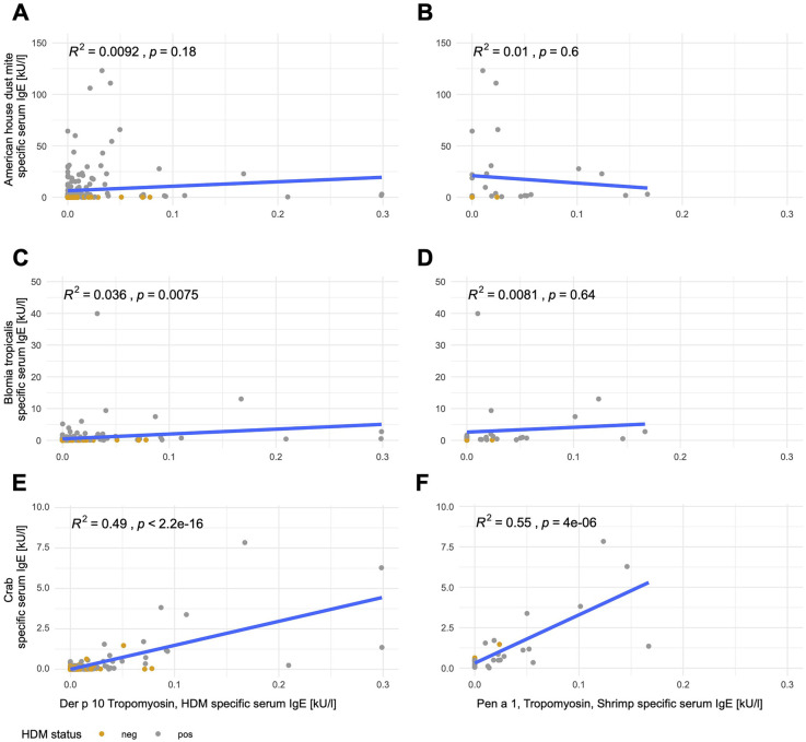
Results: During allergologic assessment, two participants reported previous anaphylaxis to fish and/or seafood and were excluded from further analysis. The final study population comprised 150 female and 48 male participants. Of these, 93 presented with positive sIgE against mites. As expected, participants with mite sensitization displayed an elevated prevalence of perennial asthma or allergic rhinitis (p < 0.001). Further, they were more often sensitized to German cockroach, crab, claw, or shrimp (each p < 0.001). Der p 10 and Pen a 1 sIgE levels were below the cutoff level (<0.35 kU/L) in all subjects. However, the correlation analyses revealed that tropomyosin sIgE explained between 24% and 55% of the variance (R2) in sIgE against clam, crab, German cockroach, or shrimp (each p < 0.001).

Conclusion: Patients with mite sensitization have higher asymptomatic sIgE levels to shellfish. Even in patients with anti-tropomyosin sIgE levels below the cutoff level, anti-tropomyosin sIgE correlates strongly with sIgE against German cockroach, crab, clam, and shrimp. Our findings suggest large-scale false-positive results for sIgE to shellfish when analyzing patients with mite- or cockroach sensitization.

Abstract Image

Abstract Image

Abstract Image

常年性过敏患者原肌球蛋白交叉反应和无症状贝类致敏。
背景:螨虫、蟑螂和贝类(螃蟹、蛤蜊和虾)蛋白共享致敏表位。使用全身提取物测定蟑螂(德国小蠊,与哮喘有关)和贝类过敏原(与食物过敏有关)的特异性IgE (sIgE),需要详细了解IgE交叉反应性。目的:本研究旨在评估空气过敏原和食物过敏原之间的交叉反应是否具有临床相关性,以及螨虫和/或蟑螂致敏的受试者在贝类食物过敏诊断中是否存在假阳性结果的风险。方法:在这项横断的单中心研究中,我们从门诊随机招募了200名sIgE升高且过敏原≥1的患者,并评估了过敏合并症。我们使用自动免疫cap特异性IgE测试分析了对螨虫(翅状螨、粉状螨或热带布氏螨)、德国蜚蠊(德国小蠊)、螃蟹、蛤蜊和虾整个过敏原提取物的sIgE,以及对螨原肌球蛋白Der p10和虾原肌球蛋白Pen a1(在一个亚群中)的sIgE。结果:在过敏评估期间,两名参与者报告了之前对鱼和/或海鲜的过敏反应,并被排除在进一步的分析之外。最终的研究人群包括150名女性和48名男性参与者。其中93例呈抗螨sIgE阳性。正如预期的那样,螨虫致敏的参与者在对蛤蜊、螃蟹、德国蟑螂或虾的sIgE中表现出常年性哮喘或过敏性鼻炎的患病率升高(p p 2)。结论:螨虫致敏的患者对贝类的无症状sIgE水平更高。即使在抗原肌球蛋白sIgE水平低于临界值的患者中,抗原肌球蛋白sIgE与德国蟑螂、螃蟹、蛤蜊和虾的sIgE密切相关。我们的研究结果表明,在分析螨虫或蟑螂致敏患者时,贝类sIgE的大规模假阳性结果。
本文章由计算机程序翻译,如有差异,请以英文原文为准。
求助全文
约1分钟内获得全文 求助全文
来源期刊
CiteScore
2.80
自引率
0.00%
发文量
0
审稿时长
12 weeks
×
引用
GB/T 7714-2015
复制
MLA
复制
APA
复制
导出至
BibTeX EndNote RefMan NoteFirst NoteExpress
×
提示
您的信息不完整,为了账户安全,请先补充。
现在去补充
×
提示
您因"违规操作"
具体请查看互助需知
我知道了
×
提示
确定
请完成安全验证×
copy
已复制链接
快去分享给好友吧!
我知道了
右上角分享
点击右上角分享
0
联系我们:info@booksci.cn Book学术提供免费学术资源搜索服务,方便国内外学者检索中英文文献。致力于提供最便捷和优质的服务体验。 Copyright © 2023 布克学术 All rights reserved.
京ICP备2023020795号-1
ghs 京公网安备 11010802042870号
Book学术文献互助
Book学术文献互助群
群 号:604180095
Book学术官方微信