Characteristics of Postural Instability in Idiopathic Normal Pressure Hydrocephalus.

IF 4.8 3区 医学 Q1 CLINICAL NEUROLOGY
Neurology and Therapy Pub Date : 2025-10-01 Epub Date: 2025-07-13 DOI:10.1007/s40120-025-00786-y
Eunhee Park, Kyunghun Kang, Janghoon Lee, Jong Taek Lee, Ki-Su Park, Chul-Hyun Kim, Yu-Sun Min
{"title":"Characteristics of Postural Instability in Idiopathic Normal Pressure Hydrocephalus.","authors":"Eunhee Park, Kyunghun Kang, Janghoon Lee, Jong Taek Lee, Ki-Su Park, Chul-Hyun Kim, Yu-Sun Min","doi":"10.1007/s40120-025-00786-y","DOIUrl":null,"url":null,"abstract":"<p><strong>Introduction: </strong>In patients with idiopathic normal pressure hydrocephalus (iNPH), the characteristics of static steady-state balance disturbance are not as well understood as those related to gait. This study aimed to investigate differences in center of pressure (COP) parameters between patients with iNPH and age-matched healthy controls.</p><p><strong>Methods: </strong>A total of 56 patients diagnosed with probable iNPH, who responded positively to cerebrospinal fluid tap test (CSFTT), along with 25 age-matched healthy controls, were enrolled. Prior to the CSFTT, COP measurements were taken using a force plate while participants stood quietly with eyes open (EO) and eyes closed (EC). We calculated the values of mediolateral (ML) and anteroposterior (AP) directions and ML/AP ratio in terms of the velocity of COP (vCOP), the standardized COP path length (Std_vCOP), and the peak power spectral density (PSD) at 0-0.5 Hz and 0.5-1.0 Hz. Additionally, we calculated the average distance from the COP center (Dist_COP) and the base of support (BOS). A Mann-Whitney U test with Bonferroni correction was used to compare differences between healthy controls and patients with iNPH under each visual condition (EO vs. EC).</p><p><strong>Results: </strong>There were no significant differences in gender, age, height, and weight between the healthy controls and the patients with iNPH. Patients with iNPH demonstrated greater spontaneous sway in the ML direction of vCOP (p < 0.001), increased variability in both ML and AP directions of Std_vCOP (p < 0.001 for both), a larger Dist_COP (p < 0.001) and BOS (p < 0.001) in the EC condition. Under the EO condition, patients with iNPH exhibited a significantly higher ML/AP ratio (p < 0.001) and larger BOS (p < 0.001). Furthermore, peak PSD at 0-0.5 Hz, reflecting low-frequency oscillations, was more pronounced in the ML direction and in the ML/AP ratio (p < 0.001 for both under EO), as well as in the AP direction (p < 0.001 under EC) in patients with iNPH. However, no significant differences were observed in the high-frequency oscillations (0.5-1.0 Hz).</p><p><strong>Conclusions: </strong>These findings suggest that patients with iNPH exhibit distinct COP patterns, particularly greater variability in the ML direction during quiet standing. In contrast, the AP direction appears to be more influenced by visual conditions when compared to healthy controls. This result highlights the potential need for tailored balance training in patients with iNPH.</p>","PeriodicalId":19216,"journal":{"name":"Neurology and Therapy","volume":" ","pages":"1961-1974"},"PeriodicalIF":4.8000,"publicationDate":"2025-10-01","publicationTypes":"Journal Article","fieldsOfStudy":null,"isOpenAccess":false,"openAccessPdf":"https://www.ncbi.nlm.nih.gov/pmc/articles/PMC12450156/pdf/","citationCount":"0","resultStr":null,"platform":"Semanticscholar","paperid":null,"PeriodicalName":"Neurology and Therapy","FirstCategoryId":"3","ListUrlMain":"https://doi.org/10.1007/s40120-025-00786-y","RegionNum":3,"RegionCategory":"医学","ArticlePicture":[],"TitleCN":null,"AbstractTextCN":null,"PMCID":null,"EPubDate":"2025/7/13 0:00:00","PubModel":"Epub","JCR":"Q1","JCRName":"CLINICAL NEUROLOGY","Score":null,"Total":0}
引用次数: 0

Abstract

Introduction: In patients with idiopathic normal pressure hydrocephalus (iNPH), the characteristics of static steady-state balance disturbance are not as well understood as those related to gait. This study aimed to investigate differences in center of pressure (COP) parameters between patients with iNPH and age-matched healthy controls.

Methods: A total of 56 patients diagnosed with probable iNPH, who responded positively to cerebrospinal fluid tap test (CSFTT), along with 25 age-matched healthy controls, were enrolled. Prior to the CSFTT, COP measurements were taken using a force plate while participants stood quietly with eyes open (EO) and eyes closed (EC). We calculated the values of mediolateral (ML) and anteroposterior (AP) directions and ML/AP ratio in terms of the velocity of COP (vCOP), the standardized COP path length (Std_vCOP), and the peak power spectral density (PSD) at 0-0.5 Hz and 0.5-1.0 Hz. Additionally, we calculated the average distance from the COP center (Dist_COP) and the base of support (BOS). A Mann-Whitney U test with Bonferroni correction was used to compare differences between healthy controls and patients with iNPH under each visual condition (EO vs. EC).

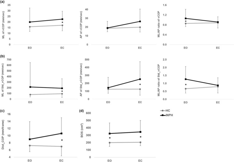
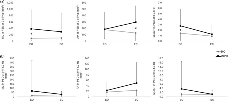
Results: There were no significant differences in gender, age, height, and weight between the healthy controls and the patients with iNPH. Patients with iNPH demonstrated greater spontaneous sway in the ML direction of vCOP (p < 0.001), increased variability in both ML and AP directions of Std_vCOP (p < 0.001 for both), a larger Dist_COP (p < 0.001) and BOS (p < 0.001) in the EC condition. Under the EO condition, patients with iNPH exhibited a significantly higher ML/AP ratio (p < 0.001) and larger BOS (p < 0.001). Furthermore, peak PSD at 0-0.5 Hz, reflecting low-frequency oscillations, was more pronounced in the ML direction and in the ML/AP ratio (p < 0.001 for both under EO), as well as in the AP direction (p < 0.001 under EC) in patients with iNPH. However, no significant differences were observed in the high-frequency oscillations (0.5-1.0 Hz).

Conclusions: These findings suggest that patients with iNPH exhibit distinct COP patterns, particularly greater variability in the ML direction during quiet standing. In contrast, the AP direction appears to be more influenced by visual conditions when compared to healthy controls. This result highlights the potential need for tailored balance training in patients with iNPH.

Abstract Image

Abstract Image

Abstract Image

特发性正常压力脑积水的体位不稳定特征。
在特发性常压脑积水(iNPH)患者中,静态稳态平衡障碍的特征并不像步态相关的特征那样被很好地理解。本研究旨在探讨iNPH患者与年龄匹配的健康对照者之间压力中心(COP)参数的差异。方法:共纳入56例诊断为可能的iNPH,脑脊液穿刺试验(CSFTT)阳性的患者,以及25例年龄匹配的健康对照。在CSFTT之前,在参与者安静地站着,眼睛睁着(EO)和眼睛闭着(EC)的情况下,使用测力板测量COP。我们根据COP的速度(vCOP)、标准化COP路径长度(Std_vCOP)和0-0.5 Hz和0.5-1.0 Hz的峰值功率谱密度(PSD)计算了中外侧(ML)和正前方(AP)方向和ML/AP比值。此外,我们还计算了从COP中心(Dist_COP)到支持基(BOS)的平均距离。采用Bonferroni矫正的Mann-Whitney U检验比较健康对照者和iNPH患者在不同视觉状态下的差异(EO vs EC)。结果:健康对照组与iNPH患者在性别、年龄、身高、体重等方面均无显著差异。结论:这些发现表明,iNPH患者表现出明显的COP模式,特别是在安静站立时,ML方向的变异性更大。相反,与健康对照组相比,AP方向似乎更受视觉条件的影响。这一结果强调了对iNPH患者进行量身定制的平衡训练的潜在需求。
本文章由计算机程序翻译,如有差异,请以英文原文为准。
求助全文
约1分钟内获得全文 求助全文
来源期刊
Neurology and Therapy
Neurology and Therapy CLINICAL NEUROLOGY-
CiteScore
5.40
自引率
8.10%
发文量
103
审稿时长
6 weeks
期刊介绍: Aims and Scope Neurology and Therapy aims to provide reliable and inclusive, rapid publication for all therapy related research for neurological indications, supporting the timely dissemination of research with a global reach, to help advance scientific discovery and support clinical practice. Neurology and Therapy is an international, open access, peer reviewed, rapid publication journal dedicated to the publication of high-quality clinical (all phases), observational, real-world and health outcomes research around the discovery, development, and use of neurological and psychiatric therapies, (also covering surgery and devices). Studies relating to diagnosis, pharmacoeconomics, public health, quality of life, and patient care, management, and education are also welcomed. The journal is of interest to a broad audience of healthcare professionals and publishes original research, reviews, case reports, trial designs, communications and letters. The journal is read by a global audience and receives submissions from all over the world. Neurology and Therapy will consider all scientifically sound research be it positive, confirmatory or negative data. Submissions are welcomed whether they relate to an international and/or a country-specific audience, something that is crucially important when researchers are trying to target more specific patient populations. This inclusive approach allows the journal to assist in the dissemination of all scientifically and ethically sound research. Rapid Publication The journal’s rapid publication timelines aim for a peer review decision within 2 weeks of submission. If an article is accepted, it will be published online 3-4 weeks from acceptance. These rapid timelines are achieved through the combination of a dedicated in-house editorial team, who closely manage article workflow, and an extensive Editorial and Advisory Board who assist with rapid peer review. This allows the journal to support the rapid dissemination of research, whilst still providing robust peer review. Combined with the journal’s open access model, this allows for the rapid and efficient communication of the latest research and reviews to support scientific discovery and clinical practice. Open Access All articles published by Neurology and Therapy are open access. Personal Service The journal’s dedicated in-house editorial team offer a personal “concierge service” meaning that authors will always have a personal point of contact able to update them on the status of their manuscript. The editorial team check all manuscripts to ensure that articles conform to the most recent COPE and ICMJE publishing guidelines. This supports the publication of ethically sound and transparent research. We also encourage pre-submission enquiries and are always happy to provide a confidential assessment of manuscripts. Digital Features and Plain Language Summaries Neurology and Therapy offers a range of additional features designed to increase the visibility, readership and educational value of the journal’s content. Each article is accompanied by key summary points, giving a time-efficient overview of the content to a wide readership. Articles may be accompanied by plain language summaries to assist readers who have some knowledge of, but not in-depth expertise in, the area to understand the scientific content and overall implications of the article. The journal also provides the option to include various types of digital features including animated abstracts, video abstracts, slide decks, audio slides, instructional videos, infographics, podcasts and animations. All additional features are peer reviewed to the same high standard as the article itself. If you consider that your paper would benefit from the inclusion of a digital feature, please let us know. Our editorial team are able to create high-quality slide decks and infographics in-house, and video abstracts through our partner Research Square, and would be happy to assist in any way we can. For further information about digital features, please contact the journal editor (see ‘Contact the Journal’ for email address), and see the ‘Guidelines for digital features and plain language summaries’ document under ‘Submission guidelines’. For examples of digital features please visit our showcase page https://springerhealthcare.com/expertise/publishing-digital-features/ Publication Fees Upon acceptance of an article, authors will be required to pay the mandatory Rapid Service Fee of €5250/$6000/£4300. The journal will consider fee discounts and waivers for developing countries and this is decided on a case-by-case basis. Peer Review Process Upon submission, manuscripts are assessed by the editorial team to ensure they fit within the aims and scope of the journal and are also checked for plagiarism. All suitable submissions are then subject to a comprehensive single-blind peer review. Reviewers are selected based on their relevant expertise and publication history in the subject area. The journal has an extensive pool of editorial and advisory board members who have been selected to assist with peer review based on the afore-mentioned criteria. At least two extensive reviews are required to make the editorial decision, with the exception of some article types such as Commentaries, Editorials and Letters which are generally reviewed by one member of the Editorial Board. Where reviews conflict, an Editorial Board Member will be contacted for further advice and a presiding decision. Manuscripts are then either accepted, rejected or authors are required to make major or minor revisions (both reviewer comments and editorial comments may need to be addressed. Once a revised manuscript is re-submitted, it is assessed along with the responses to reviewer comments and if it has been adequately revised, it will be accepted for publication. Accepted manuscripts are then copyedited and typeset by the production team before online publication. Appeals against decisions following peer review are considered on a case-by-case basis and should be sent to the journal editor, and authors are welcome to make rebuttals against individual reviewer comments, if appropriate. Preprints We encourage posting of preprints of primary research manuscripts on preprint servers, authors'' or institutional websites, and open communications between researchers whether on community preprint servers or preprint commenting platforms. Posting of preprints is not considered prior publication and will not jeopardize consideration in our journals. Please see here for further information on preprint sharing: https://www.springer.com/gp/authors-editors/journal-author/journal-author-helpdesk/submission/1302#c16721550 Copyright Neurology and Therapy is published under the Creative Commons Attribution-Noncommercial License, which allows users to read, copy, distribute, and make derivative works for non-commercial purposes from the material, as long as the author of the original work is cited. The author assigns the exclusive right to any commercial use of the article to Springer. For more information about the Creative Commons Attribution-Noncommercial License, click here: http://creativecommons.org/licenses/by-nc/4.0. Contact For more information about the journal, including pre-submission enquiries, please contact managing editor Lydia Alborn at lydia.alborn@springer.com.
×
引用
GB/T 7714-2015
复制
MLA
复制
APA
复制
导出至
BibTeX EndNote RefMan NoteFirst NoteExpress
×
提示
您的信息不完整,为了账户安全,请先补充。
现在去补充
×
提示
您因"违规操作"
具体请查看互助需知
我知道了
×
提示
确定
请完成安全验证×
copy
已复制链接
快去分享给好友吧!
我知道了
右上角分享
点击右上角分享
0
联系我们:info@booksci.cn Book学术提供免费学术资源搜索服务,方便国内外学者检索中英文文献。致力于提供最便捷和优质的服务体验。 Copyright © 2023 布克学术 All rights reserved.
京ICP备2023020795号-1
ghs 京公网安备 11010802042870号
Book学术文献互助
Book学术文献互助群
群 号:604180095
Book学术官方微信