Cancer-Associated PIK3R1 Genetic Aberrations and Precision Medicine.

IF 3.2 3区 医学 Q1 MEDICINE, GENERAL & INTERNAL
International Journal of Medical Sciences Pub Date : 2025-06-12 eCollection Date: 2025-01-01 DOI:10.7150/ijms.109506
Huan Xie, Yirong Li, Xinran Li
{"title":"Cancer-Associated <i>PIK3R1</i> Genetic Aberrations and Precision Medicine.","authors":"Huan Xie, Yirong Li, Xinran Li","doi":"10.7150/ijms.109506","DOIUrl":null,"url":null,"abstract":"<p><p>The <i>PIK3R1</i> gene encodes the class IA PI3K regulatory subunit p85α, which is frequently altered in cancer. <i>PIK3R1</i> functions as a tumor suppressor by stabilizing and inhibiting the catalytic activity of p110, and it directly binds to and enhances the activity of the PTEN lipid phosphatase. Aberrations in the <i>PIK3R1</i> gene are associated with poor prognosis in cancer; available data underscore the significant role of <i>PIK3R1</i> mutations in mediating tumorigenesis by promoting the signaling of the PI3K/AKT/mTOR pathway. Moreover, copy number variations, driver mutations, and epigenetic alterations in <i>PIK3R1</i> contribute to tumorigenesis and progression through distinct mechanisms. This article reviews the cancer-promoting effects of <i>PIK3R1</i> gene aberrations across major cancer types and elucidates their underlying mechanisms. It also discusses the targeted therapies for related aberrations, aiming to provide a comprehensive understanding of the dynamic interplay of <i>PIK3R1</i> in cancer, thereby advancing precision medicine and the development of targeted interventions.</p>","PeriodicalId":14031,"journal":{"name":"International Journal of Medical Sciences","volume":"22 12","pages":"2932-2943"},"PeriodicalIF":3.2000,"publicationDate":"2025-06-12","publicationTypes":"Journal Article","fieldsOfStudy":null,"isOpenAccess":false,"openAccessPdf":"https://www.ncbi.nlm.nih.gov/pmc/articles/PMC12243862/pdf/","citationCount":"0","resultStr":null,"platform":"Semanticscholar","paperid":null,"PeriodicalName":"International Journal of Medical Sciences","FirstCategoryId":"3","ListUrlMain":"https://doi.org/10.7150/ijms.109506","RegionNum":3,"RegionCategory":"医学","ArticlePicture":[],"TitleCN":null,"AbstractTextCN":null,"PMCID":null,"EPubDate":"2025/1/1 0:00:00","PubModel":"eCollection","JCR":"Q1","JCRName":"MEDICINE, GENERAL & INTERNAL","Score":null,"Total":0}
引用次数: 0

Abstract

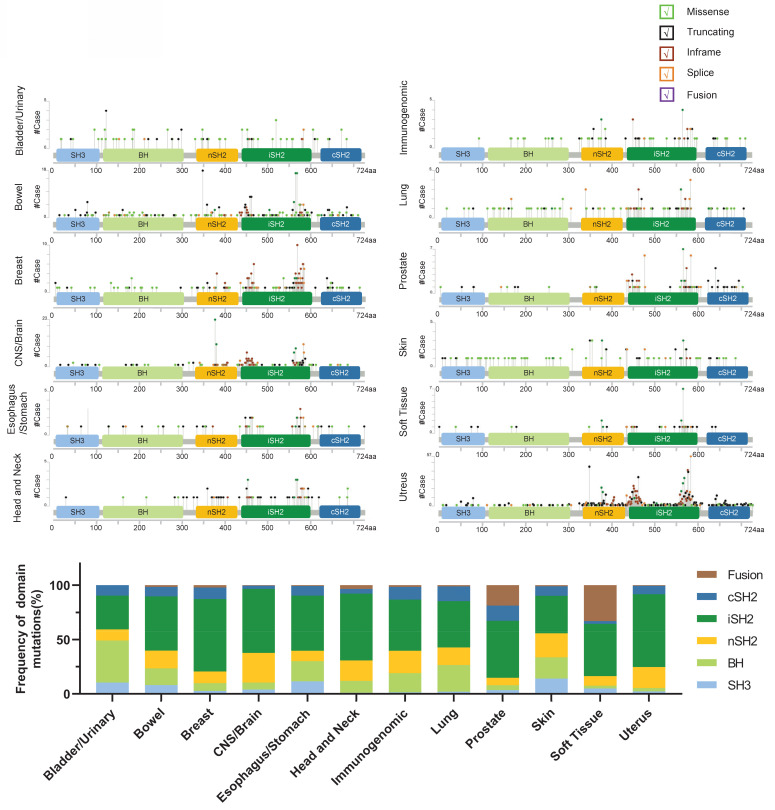
The PIK3R1 gene encodes the class IA PI3K regulatory subunit p85α, which is frequently altered in cancer. PIK3R1 functions as a tumor suppressor by stabilizing and inhibiting the catalytic activity of p110, and it directly binds to and enhances the activity of the PTEN lipid phosphatase. Aberrations in the PIK3R1 gene are associated with poor prognosis in cancer; available data underscore the significant role of PIK3R1 mutations in mediating tumorigenesis by promoting the signaling of the PI3K/AKT/mTOR pathway. Moreover, copy number variations, driver mutations, and epigenetic alterations in PIK3R1 contribute to tumorigenesis and progression through distinct mechanisms. This article reviews the cancer-promoting effects of PIK3R1 gene aberrations across major cancer types and elucidates their underlying mechanisms. It also discusses the targeted therapies for related aberrations, aiming to provide a comprehensive understanding of the dynamic interplay of PIK3R1 in cancer, thereby advancing precision medicine and the development of targeted interventions.

Abstract Image

Abstract Image

癌症相关的PIK3R1基因畸变和精准医学。
PIK3R1基因编码IA类PI3K调控亚基p85α,该亚基在癌症中经常发生改变。PIK3R1通过稳定和抑制p110的催化活性发挥抑瘤作用,它直接结合并增强PTEN脂质磷酸酶的活性。PIK3R1基因异常与癌症预后不良相关;现有数据强调了PIK3R1突变通过促进PI3K/AKT/mTOR通路的信号传导在介导肿瘤发生中的重要作用。此外,PIK3R1的拷贝数变异、驱动突变和表观遗传改变通过不同的机制促进肿瘤的发生和进展。本文综述了PIK3R1基因畸变在主要癌症类型中的促癌作用,并阐明了其潜在机制。并讨论了相关畸变的靶向治疗,旨在全面了解PIK3R1在癌症中的动态相互作用,从而推动精准医学和靶向干预的发展。
本文章由计算机程序翻译,如有差异,请以英文原文为准。
求助全文
约1分钟内获得全文 求助全文
来源期刊
International Journal of Medical Sciences
International Journal of Medical Sciences MEDICINE, GENERAL & INTERNAL-
CiteScore
7.20
自引率
0.00%
发文量
185
审稿时长
2.7 months
期刊介绍: Original research papers, reviews, and short research communications in any medical related area can be submitted to the Journal on the understanding that the work has not been published previously in whole or part and is not under consideration for publication elsewhere. Manuscripts in basic science and clinical medicine are both considered. There is no restriction on the length of research papers and reviews, although authors are encouraged to be concise. Short research communication is limited to be under 2500 words.
×
引用
GB/T 7714-2015
复制
MLA
复制
APA
复制
导出至
BibTeX EndNote RefMan NoteFirst NoteExpress
×
提示
您的信息不完整,为了账户安全,请先补充。
现在去补充
×
提示
您因"违规操作"
具体请查看互助需知
我知道了
×
提示
确定
请完成安全验证×
copy
已复制链接
快去分享给好友吧!
我知道了
右上角分享
点击右上角分享
0
联系我们:info@booksci.cn Book学术提供免费学术资源搜索服务,方便国内外学者检索中英文文献。致力于提供最便捷和优质的服务体验。 Copyright © 2023 布克学术 All rights reserved.
京ICP备2023020795号-1
ghs 京公网安备 11010802042870号
Book学术文献互助
Book学术文献互助群
群 号:604180095
Book学术官方微信