The Association Between Serum Vitamin D Status and Cardiometabolic Risk Factors in Extremely Obese Adults: A Cross-Sectional Study.

IF 2.3 4区 医学 Q3 ENDOCRINOLOGY & METABOLISM
International Journal of Endocrinology Pub Date : 2025-06-26 eCollection Date: 2025-01-01 DOI:10.1155/ije/7945302
Yan Zhou, Chunyan Wang, Zhixing Wang, Xiaojing Wang
{"title":"The Association Between Serum Vitamin D Status and Cardiometabolic Risk Factors in Extremely Obese Adults: A Cross-Sectional Study.","authors":"Yan Zhou, Chunyan Wang, Zhixing Wang, Xiaojing Wang","doi":"10.1155/ije/7945302","DOIUrl":null,"url":null,"abstract":"<p><p><b>Background:</b> Vitamin D may play a vital role in glucose and lipid metabolism, but existing studies on this topic are limited and inconsistent. The aim of our study was to undertake an in depth exploration of the relationship between vitamin D and cardiometabolic markers in extremely obese individuals in North China. <b>Methods:</b> In this cross-sectional study, 293 adults aged between 18 and 60 years with BMIs higher than 35 kg/m<sup>2</sup> were recruited from Beijing, China. Serum 25(OH) D was measured using chemiluminescence, and concentrations of glucose, insulin, and lipids were quantified as well. Multiple linear regression analysis adjusted for potential confounding factors was used to assess independent associations between serum 25(OH) D and lipid profiles. <b>Results:</b> The prevalence of vitamin D deficiency was 81.2% in the extremely obese subjects, and the median serum 25(OH) D concentration was 12.88 ng/mL. Moreover, 25(OH) D levels were significantly negatively associated with the BMI and parathyroid hormone (<i>p</i> < 0.0001). After adjustment for age, sex, BMI, and HOMA-IR, 25(OH) D levels were positively correlated with HDL-c (<i>p</i> < 0.007) and ApoA1 as well (<i>p</i> < 0.001). No significant differences in blood pressure, fasting blood glucose, or HOMA-IR were detected between vitamin D nondeficient (≥ 20 ng/mL) and deficient (< 20 ng/mL) groups. <b>Conclusions:</b> Vitamin D deficiency is highly prevalent in extremely obese individuals in China, exhibiting significant correlations with higher BMI and lower HDL-c/ApoA1. Our findings underscore the importance of vitamin D deficiency as a correlate of cardiovascular risk. Prospective studies and randomized clinical trials are warranted to determine the effect of 25(OH) D on other cardiometabolic parameters.</p>","PeriodicalId":13966,"journal":{"name":"International Journal of Endocrinology","volume":"2025 ","pages":"7945302"},"PeriodicalIF":2.3000,"publicationDate":"2025-06-26","publicationTypes":"Journal Article","fieldsOfStudy":null,"isOpenAccess":false,"openAccessPdf":"https://www.ncbi.nlm.nih.gov/pmc/articles/PMC12226170/pdf/","citationCount":"0","resultStr":null,"platform":"Semanticscholar","paperid":null,"PeriodicalName":"International Journal of Endocrinology","FirstCategoryId":"3","ListUrlMain":"https://doi.org/10.1155/ije/7945302","RegionNum":4,"RegionCategory":"医学","ArticlePicture":[],"TitleCN":null,"AbstractTextCN":null,"PMCID":null,"EPubDate":"2025/1/1 0:00:00","PubModel":"eCollection","JCR":"Q3","JCRName":"ENDOCRINOLOGY & METABOLISM","Score":null,"Total":0}
引用次数: 0

Abstract

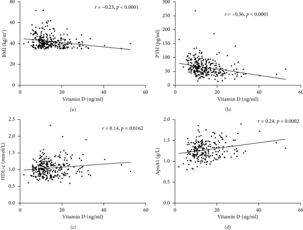
Background: Vitamin D may play a vital role in glucose and lipid metabolism, but existing studies on this topic are limited and inconsistent. The aim of our study was to undertake an in depth exploration of the relationship between vitamin D and cardiometabolic markers in extremely obese individuals in North China. Methods: In this cross-sectional study, 293 adults aged between 18 and 60 years with BMIs higher than 35 kg/m2 were recruited from Beijing, China. Serum 25(OH) D was measured using chemiluminescence, and concentrations of glucose, insulin, and lipids were quantified as well. Multiple linear regression analysis adjusted for potential confounding factors was used to assess independent associations between serum 25(OH) D and lipid profiles. Results: The prevalence of vitamin D deficiency was 81.2% in the extremely obese subjects, and the median serum 25(OH) D concentration was 12.88 ng/mL. Moreover, 25(OH) D levels were significantly negatively associated with the BMI and parathyroid hormone (p < 0.0001). After adjustment for age, sex, BMI, and HOMA-IR, 25(OH) D levels were positively correlated with HDL-c (p < 0.007) and ApoA1 as well (p < 0.001). No significant differences in blood pressure, fasting blood glucose, or HOMA-IR were detected between vitamin D nondeficient (≥ 20 ng/mL) and deficient (< 20 ng/mL) groups. Conclusions: Vitamin D deficiency is highly prevalent in extremely obese individuals in China, exhibiting significant correlations with higher BMI and lower HDL-c/ApoA1. Our findings underscore the importance of vitamin D deficiency as a correlate of cardiovascular risk. Prospective studies and randomized clinical trials are warranted to determine the effect of 25(OH) D on other cardiometabolic parameters.

Abstract Image

极度肥胖成人血清维生素D水平与心脏代谢危险因素之间的关系:一项横断面研究
背景:维生素D可能在葡萄糖和脂质代谢中起着至关重要的作用,但目前关于这一主题的研究有限且不一致。我们的研究目的是深入探讨维生素D与中国北方极度肥胖人群心脏代谢标志物之间的关系。方法:在这项横断面研究中,从中国北京招募了293名年龄在18至60岁之间、bmi高于35 kg/m2的成年人。用化学发光法测定血清25(OH) D,并定量葡萄糖、胰岛素和脂质浓度。采用校正潜在混杂因素的多元线性回归分析来评估血清25(OH) D与血脂之间的独立关联。结果:极度肥胖人群维生素D缺乏症发生率为81.2%,血清25(OH) D中位浓度为12.88 ng/mL。此外,25(OH) D水平与BMI和甲状旁腺激素呈显著负相关(p < 0.0001)。在调整年龄、性别、BMI和HOMA-IR后,25(OH) D水平与HDL-c (p < 0.007)和ApoA1 (p < 0.001)呈正相关。在维生素D非缺乏(≥20 ng/mL)组和维生素D缺乏(< 20 ng/mL)组之间,血压、空腹血糖或HOMA-IR均无显著差异。结论:维生素D缺乏症在中国极度肥胖人群中非常普遍,与较高的BMI和较低的HDL-c/ApoA1存在显著相关性。我们的发现强调了维生素D缺乏与心血管风险相关的重要性。需要前瞻性研究和随机临床试验来确定25(OH) D对其他心脏代谢参数的影响。
本文章由计算机程序翻译,如有差异,请以英文原文为准。
求助全文
约1分钟内获得全文 求助全文
来源期刊
International Journal of Endocrinology
International Journal of Endocrinology ENDOCRINOLOGY & METABOLISM-
CiteScore
5.20
自引率
0.00%
发文量
147
审稿时长
1 months
期刊介绍: International Journal of Endocrinology is a peer-reviewed, Open Access journal that provides a forum for scientists and clinicians working in basic and translational research. The journal publishes original research articles, review articles, and clinical studies that provide insights into the endocrine system and its associated diseases at a genomic, molecular, biochemical and cellular level.
×
引用
GB/T 7714-2015
复制
MLA
复制
APA
复制
导出至
BibTeX EndNote RefMan NoteFirst NoteExpress
×
提示
您的信息不完整,为了账户安全,请先补充。
现在去补充
×
提示
您因"违规操作"
具体请查看互助需知
我知道了
×
提示
确定
请完成安全验证×
copy
已复制链接
快去分享给好友吧!
我知道了
右上角分享
点击右上角分享
0
联系我们:info@booksci.cn Book学术提供免费学术资源搜索服务,方便国内外学者检索中英文文献。致力于提供最便捷和优质的服务体验。 Copyright © 2023 布克学术 All rights reserved.
京ICP备2023020795号-1
ghs 京公网安备 11010802042870号
Book学术文献互助
Book学术文献互助群
群 号:604180095
Book学术官方微信