Retrospective comparison between breast cancer tissue- and blood-based next-generation sequencing results in detection of PIK3CA, AKT1, and PTEN alterations.

IF 5.6 1区 医学 Q1 Medicine
Moumita Chaki, Mona Benrashid, Subir Puri, Smruthy Sivakumar, Ethan S Sokol, Josefa M Briceno, Neil Vasan
{"title":"Retrospective comparison between breast cancer tissue- and blood-based next-generation sequencing results in detection of PIK3CA, AKT1, and PTEN alterations.","authors":"Moumita Chaki, Mona Benrashid, Subir Puri, Smruthy Sivakumar, Ethan S Sokol, Josefa M Briceno, Neil Vasan","doi":"10.1186/s13058-025-02055-0","DOIUrl":null,"url":null,"abstract":"<p><strong>Background: </strong>Based on the CAPItello-291 phase III trial results, capivasertib in combination with fulvestrant has been approved for patients with hormone receptor-positive/human epidermal growth factor receptor 2-negative advanced breast cancer harboring one or more PIK3CA, AKT1, and/or PTEN alterations. Given the growing interest in circulating tumor DNA (ctDNA) next-generation sequencing (NGS) to detect PIK3CA/AKT1/PTEN alterations, we retrospectively compared blood-based FoundationOne®Liquid CDx versus tumor tissue-based FoundationOne®CDx real-world data from patients with various breast cancer subtypes.</p><p><strong>Methods: </strong>We utilized a database of patients profiled with FoundationOne®CDx and/or FoundationOne®Liquid CDx during routine clinical care. Analytical comparison of all pathogenic alterations in PIK3CA, AKT1, AKT2, AKT3, and PTEN, including alterations defined in the CAPItello-291 protocol (CAPItello-defined alterations), was performed in paired data from 289 patients with both tissue and liquid biopsies sampled within 90 days of each other.</p><p><strong>Results: </strong>Overall positive percent agreement (PPA) for short variants across ctDNA tumor fraction (TF) subgroups in paired biopsy samples was: ctDNA TF ≥ 10%: PIK3CA, 93.9%; AKT1, 100%; PTEN, 100%; ctDNA TF 1%-10%: PIK3CA, 96.3%; AKT1, 100%; PTEN, 100%; ctDNA TF < 1%: PIK3CA, 34.7%; AKT1, 50.0%; PTEN, 37.5%. PPA for CAPItello-defined alterations was: ctDNA TF ≥ 10%: 92.5%; ctDNA TF 1%-10%: 97.1%; ctDNA TF < 1%: 33.9%. For PTEN homozygous deletions, PPA was 50.0% in cases with ctDNA TF ≥ 10%. Overall PPA for AKT2 and AKT3 copy number variations (CNVs) was 66.7% and 0%, respectively.</p><p><strong>Conclusions: </strong>Blood-based NGS could offer a minimally invasive option to identify clinically relevant PIK3CA/AKT1/PTEN short variants in cases with ctDNA TF ≥ 1%. Confirmatory tissue-based NGS should be performed when blood-based NGS results are negative, especially when ctDNA TF is < 1% and for enhanced detection of CNVs in general.</p>","PeriodicalId":49227,"journal":{"name":"Breast Cancer Research","volume":"27 1","pages":"122"},"PeriodicalIF":5.6000,"publicationDate":"2025-07-01","publicationTypes":"Journal Article","fieldsOfStudy":null,"isOpenAccess":false,"openAccessPdf":"https://www.ncbi.nlm.nih.gov/pmc/articles/PMC12217283/pdf/","citationCount":"0","resultStr":null,"platform":"Semanticscholar","paperid":null,"PeriodicalName":"Breast Cancer Research","FirstCategoryId":"3","ListUrlMain":"https://doi.org/10.1186/s13058-025-02055-0","RegionNum":1,"RegionCategory":"医学","ArticlePicture":[],"TitleCN":null,"AbstractTextCN":null,"PMCID":null,"EPubDate":"","PubModel":"","JCR":"Q1","JCRName":"Medicine","Score":null,"Total":0}
引用次数: 0

Abstract

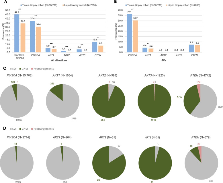
Background: Based on the CAPItello-291 phase III trial results, capivasertib in combination with fulvestrant has been approved for patients with hormone receptor-positive/human epidermal growth factor receptor 2-negative advanced breast cancer harboring one or more PIK3CA, AKT1, and/or PTEN alterations. Given the growing interest in circulating tumor DNA (ctDNA) next-generation sequencing (NGS) to detect PIK3CA/AKT1/PTEN alterations, we retrospectively compared blood-based FoundationOne®Liquid CDx versus tumor tissue-based FoundationOne®CDx real-world data from patients with various breast cancer subtypes.

Methods: We utilized a database of patients profiled with FoundationOne®CDx and/or FoundationOne®Liquid CDx during routine clinical care. Analytical comparison of all pathogenic alterations in PIK3CA, AKT1, AKT2, AKT3, and PTEN, including alterations defined in the CAPItello-291 protocol (CAPItello-defined alterations), was performed in paired data from 289 patients with both tissue and liquid biopsies sampled within 90 days of each other.

Results: Overall positive percent agreement (PPA) for short variants across ctDNA tumor fraction (TF) subgroups in paired biopsy samples was: ctDNA TF ≥ 10%: PIK3CA, 93.9%; AKT1, 100%; PTEN, 100%; ctDNA TF 1%-10%: PIK3CA, 96.3%; AKT1, 100%; PTEN, 100%; ctDNA TF < 1%: PIK3CA, 34.7%; AKT1, 50.0%; PTEN, 37.5%. PPA for CAPItello-defined alterations was: ctDNA TF ≥ 10%: 92.5%; ctDNA TF 1%-10%: 97.1%; ctDNA TF < 1%: 33.9%. For PTEN homozygous deletions, PPA was 50.0% in cases with ctDNA TF ≥ 10%. Overall PPA for AKT2 and AKT3 copy number variations (CNVs) was 66.7% and 0%, respectively.

Conclusions: Blood-based NGS could offer a minimally invasive option to identify clinically relevant PIK3CA/AKT1/PTEN short variants in cases with ctDNA TF ≥ 1%. Confirmatory tissue-based NGS should be performed when blood-based NGS results are negative, especially when ctDNA TF is < 1% and for enhanced detection of CNVs in general.

Abstract Image

Abstract Image

Abstract Image

回顾性比较乳腺癌组织和血液为基础的下一代测序结果检测PIK3CA, AKT1和PTEN的改变。
背景:基于CAPItello-291 III期试验结果,capivasertib联合氟维西汀已被批准用于激素受体阳性/人表皮生长因子受体2阴性的晚期乳腺癌患者,这些患者具有一种或多种PIK3CA、AKT1和/或PTEN改变。鉴于人们对循环肿瘤DNA (ctDNA)下一代测序(NGS)检测PIK3CA/AKT1/PTEN改变的兴趣日益浓厚,我们回顾性地比较了来自不同乳腺癌亚型患者的基于血液的FoundationOne®液体CDx和基于肿瘤组织的FoundationOne®CDx的真实数据。方法:在常规临床护理中使用FoundationOne®CDx和/或FoundationOne®液体CDx的患者数据库。对来自289例患者的配对数据进行了PIK3CA、AKT1、AKT2、AKT3和PTEN的所有致病性改变的分析比较,包括CAPItello-291方案中定义的改变(capitello定义的改变),这些患者在90天内进行了组织和液体活检。结果:配对活检样本中ctDNA肿瘤部分(TF)亚组短变异的总体阳性一致性(PPA)为:ctDNA TF≥10%:PIK3CA, 93.9%;AKT1, 100%;PTEN, 100%;ctDNA TF 1%-10%; PIK3CA 96.3%;AKT1, 100%;PTEN, 100%;结论:在ctDNA TF≥1%的病例中,基于血液的NGS可以提供一种微创选择,用于鉴定临床相关的PIK3CA/AKT1/PTEN短变异体。当基于血液的NGS结果为阴性时,应进行基于组织的确认性NGS,特别是当ctDNA TF为阴性时
本文章由计算机程序翻译,如有差异,请以英文原文为准。
求助全文
约1分钟内获得全文 求助全文
来源期刊
CiteScore
12.00
自引率
0.00%
发文量
76
审稿时长
12 weeks
期刊介绍: Breast Cancer Research, an international, peer-reviewed online journal, publishes original research, reviews, editorials, and reports. It features open-access research articles of exceptional interest across all areas of biology and medicine relevant to breast cancer. This includes normal mammary gland biology, with a special emphasis on the genetic, biochemical, and cellular basis of breast cancer. In addition to basic research, the journal covers preclinical, translational, and clinical studies with a biological basis, including Phase I and Phase II trials.
×
引用
GB/T 7714-2015
复制
MLA
复制
APA
复制
导出至
BibTeX EndNote RefMan NoteFirst NoteExpress
×
提示
您的信息不完整,为了账户安全,请先补充。
现在去补充
×
提示
您因"违规操作"
具体请查看互助需知
我知道了
×
提示
确定
请完成安全验证×
copy
已复制链接
快去分享给好友吧!
我知道了
右上角分享
点击右上角分享
0
联系我们:info@booksci.cn Book学术提供免费学术资源搜索服务,方便国内外学者检索中英文文献。致力于提供最便捷和优质的服务体验。 Copyright © 2023 布克学术 All rights reserved.
京ICP备2023020795号-1
ghs 京公网安备 11010802042870号
Book学术文献互助
Book学术文献互助群
群 号:604180095
Book学术官方微信