Quality of life and patient reported outcomes in the UK Mammo-50 randomised trial of annual versus less frequent mammographic surveillance in people with breast cancer aged 50 years and over.

IF 3.4 2区 医学 Q1 HEALTH CARE SCIENCES & SERVICES
Andrea Marshall, Peter Donnelly, Nada Elbeltagi, Sophie Gasson, Amy Broadfield, Amy Hopkins, Sue Hartup, Lesley Turner, Annie Young, Eila K Watson, Janet A Dunn
{"title":"Quality of life and patient reported outcomes in the UK Mammo-50 randomised trial of annual versus less frequent mammographic surveillance in people with breast cancer aged 50 years and over.","authors":"Andrea Marshall, Peter Donnelly, Nada Elbeltagi, Sophie Gasson, Amy Broadfield, Amy Hopkins, Sue Hartup, Lesley Turner, Annie Young, Eila K Watson, Janet A Dunn","doi":"10.1186/s12955-025-02396-6","DOIUrl":null,"url":null,"abstract":"","PeriodicalId":12980,"journal":{"name":"Health and Quality of Life Outcomes","volume":"23 1","pages":"67"},"PeriodicalIF":3.4000,"publicationDate":"2025-07-01","publicationTypes":"Journal Article","fieldsOfStudy":null,"isOpenAccess":false,"openAccessPdf":"https://www.ncbi.nlm.nih.gov/pmc/articles/PMC12220118/pdf/","citationCount":"0","resultStr":null,"platform":"Semanticscholar","paperid":null,"PeriodicalName":"Health and Quality of Life Outcomes","FirstCategoryId":"3","ListUrlMain":"https://doi.org/10.1186/s12955-025-02396-6","RegionNum":2,"RegionCategory":"医学","ArticlePicture":[],"TitleCN":null,"AbstractTextCN":null,"PMCID":null,"EPubDate":"","PubModel":"","JCR":"Q1","JCRName":"HEALTH CARE SCIENCES & SERVICES","Score":null,"Total":0}
引用次数: 0

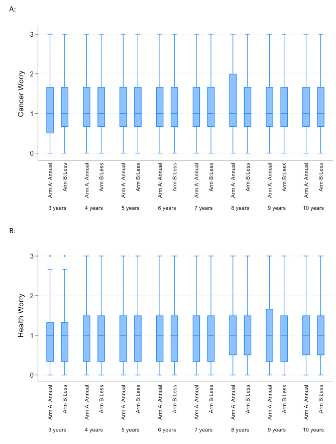
Abstract Image

Abstract Image

Abstract Image

生活质量和患者报告的结果在英国乳房x光检查50岁及以上乳腺癌患者的年度和不频繁的随机试验。
本文章由计算机程序翻译,如有差异,请以英文原文为准。
求助全文
约1分钟内获得全文 求助全文
来源期刊
CiteScore
7.30
自引率
2.80%
发文量
154
审稿时长
3-8 weeks
期刊介绍: Health and Quality of Life Outcomes is an open access, peer-reviewed, journal offering high quality articles, rapid publication and wide diffusion in the public domain. Health and Quality of Life Outcomes considers original manuscripts on the Health-Related Quality of Life (HRQOL) assessment for evaluation of medical and psychosocial interventions. It also considers approaches and studies on psychometric properties of HRQOL and patient reported outcome measures, including cultural validation of instruments if they provide information about the impact of interventions. The journal publishes study protocols and reviews summarising the present state of knowledge concerning a particular aspect of HRQOL and patient reported outcome measures. Reviews should generally follow systematic review methodology. Comments on articles and letters to the editor are welcome.
×
引用
GB/T 7714-2015
复制
MLA
复制
APA
复制
导出至
BibTeX EndNote RefMan NoteFirst NoteExpress
×
提示
您的信息不完整,为了账户安全,请先补充。
现在去补充
×
提示
您因"违规操作"
具体请查看互助需知
我知道了
×
提示
确定
请完成安全验证×
copy
已复制链接
快去分享给好友吧!
我知道了
右上角分享
点击右上角分享
0
联系我们:info@booksci.cn Book学术提供免费学术资源搜索服务,方便国内外学者检索中英文文献。致力于提供最便捷和优质的服务体验。 Copyright © 2023 布克学术 All rights reserved.
京ICP备2023020795号-1
ghs 京公网安备 11010802042870号
Book学术文献互助
Book学术文献互助群
群 号:604180095
Book学术官方微信