Association between serum tumor markers and diabetic nephropathy in type 2 diabetes patients: a cross-sectional survey in Western China.

IF 3.3 3区 医学 Q3 ENDOCRINOLOGY & METABOLISM
Li Tao, Tong Yao, Yan Zhang, Yangyang Gong, Lun Huang, Ya Zhao, Naichuan Chen, Jian Yin, Li Xue, Chaoliang Xiong, Xuanxi Li, YanPing Zhang
{"title":"Association between serum tumor markers and diabetic nephropathy in type 2 diabetes patients: a cross-sectional survey in Western China.","authors":"Li Tao, Tong Yao, Yan Zhang, Yangyang Gong, Lun Huang, Ya Zhao, Naichuan Chen, Jian Yin, Li Xue, Chaoliang Xiong, Xuanxi Li, YanPing Zhang","doi":"10.1186/s12902-025-01932-1","DOIUrl":null,"url":null,"abstract":"<p><strong>Background: </strong>Diabetic nephropathy (DN) is a common and serious microvascular complication of type 2 diabetes mellitus (T2DM). However, there is limited clinical research on the use of tumor markers in DN, and the relationship between serum tumor markers and DN in T2DM patients is not well understood.</p><p><strong>Purpose: </strong>This study seeks to examine the potential association between serum tumor biomarkers and DN in individuals with T2DM in Western China.</p><p><strong>Methods: </strong>This cross-sectional study involved 620 T2DM patients, including 253 with DN and 367 without. Differences between the groups were analyzed using Student's t-test, Mann-Whitney U-test, and Pearson's Chi-squared test. Logistic regression assessed the link between serum tumor biomarkers and DN presence, while Spearman's correlation analyzed the relationship between these biomarkers and kidney damage indicators. The diagnostic efficacy of the biomarkers was evaluated through receiver operating characteristic (ROC) curve analysis.</p><p><strong>Results: </strong>In patients with T2DM and DN, the serum levels of carcinoembryonic antigen (CEA), neuron-specific enolase (NSE), cancer antigen 211 (CA211), cancer antigen 125 (CA125), cancer antigen 199 (CA199), and squamous cell carcinoma antigen (SCC) were significantly elevated compared to those in the non-DN group, while serum levels of pro-gastrin-releasing peptide (ProGRP) were lower than those in the DN group (P < 0.01). After adjusting for potential confounding variables, serum levels of CEA, CA199, and CA125 were found to be independently associated with DN in T2DM patients. The odds ratio (OR) for elevated CEA in relation to DN was 1.41 (95% confidence interval [CI]: 1.17-1.70), for elevated CA125 was 1.02 (95% CI: 1.005-1.036), and for elevated CA199 was 1.021 (95% CI: 1.010-1.032). In this study, the levels of CA125 and CA199 exhibited a negative correlation with estimated glomerular filtration rate (eGFR), with correlation coefficients of -0.16, and -0.089, respectively. Conversely, these biomarkers were positively correlated with albumin-to-creatinine ratio (ACR), with correlation coefficients of 0.56, 0.55, and 0.22, respectively, and with cystatin C levels, with correlation coefficients of 0.17, 0.23, and 0.07, respectively. ROC curve analysis showed that combining CEA, CA125, and CA199 improves the accuracy in distinguishing DN patients, with an AUC of 0.82 (95% CI: 0.79-0.86, P < 0.001).</p><p><strong>Conclusions: </strong>This study shows that serum tumor markers (CEA, CA125, and CA199) are strongly linked to the presence of DN in type 2 diabetes patients, providing new insights into their role in DN and suggesting potential prevention strategies.</p><p><strong>Clinical trial number: </strong>Not applicable.</p>","PeriodicalId":9152,"journal":{"name":"BMC Endocrine Disorders","volume":"25 1","pages":"150"},"PeriodicalIF":3.3000,"publicationDate":"2025-07-01","publicationTypes":"Journal Article","fieldsOfStudy":null,"isOpenAccess":false,"openAccessPdf":"https://www.ncbi.nlm.nih.gov/pmc/articles/PMC12211909/pdf/","citationCount":"0","resultStr":null,"platform":"Semanticscholar","paperid":null,"PeriodicalName":"BMC Endocrine Disorders","FirstCategoryId":"3","ListUrlMain":"https://doi.org/10.1186/s12902-025-01932-1","RegionNum":3,"RegionCategory":"医学","ArticlePicture":[],"TitleCN":null,"AbstractTextCN":null,"PMCID":null,"EPubDate":"","PubModel":"","JCR":"Q3","JCRName":"ENDOCRINOLOGY & METABOLISM","Score":null,"Total":0}
引用次数: 0

Abstract

Background: Diabetic nephropathy (DN) is a common and serious microvascular complication of type 2 diabetes mellitus (T2DM). However, there is limited clinical research on the use of tumor markers in DN, and the relationship between serum tumor markers and DN in T2DM patients is not well understood.

Purpose: This study seeks to examine the potential association between serum tumor biomarkers and DN in individuals with T2DM in Western China.

Methods: This cross-sectional study involved 620 T2DM patients, including 253 with DN and 367 without. Differences between the groups were analyzed using Student's t-test, Mann-Whitney U-test, and Pearson's Chi-squared test. Logistic regression assessed the link between serum tumor biomarkers and DN presence, while Spearman's correlation analyzed the relationship between these biomarkers and kidney damage indicators. The diagnostic efficacy of the biomarkers was evaluated through receiver operating characteristic (ROC) curve analysis.

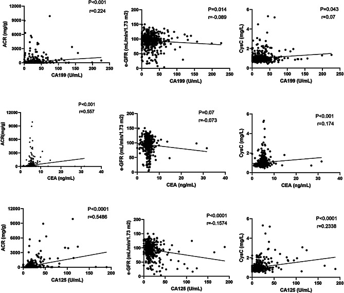
Results: In patients with T2DM and DN, the serum levels of carcinoembryonic antigen (CEA), neuron-specific enolase (NSE), cancer antigen 211 (CA211), cancer antigen 125 (CA125), cancer antigen 199 (CA199), and squamous cell carcinoma antigen (SCC) were significantly elevated compared to those in the non-DN group, while serum levels of pro-gastrin-releasing peptide (ProGRP) were lower than those in the DN group (P < 0.01). After adjusting for potential confounding variables, serum levels of CEA, CA199, and CA125 were found to be independently associated with DN in T2DM patients. The odds ratio (OR) for elevated CEA in relation to DN was 1.41 (95% confidence interval [CI]: 1.17-1.70), for elevated CA125 was 1.02 (95% CI: 1.005-1.036), and for elevated CA199 was 1.021 (95% CI: 1.010-1.032). In this study, the levels of CA125 and CA199 exhibited a negative correlation with estimated glomerular filtration rate (eGFR), with correlation coefficients of -0.16, and -0.089, respectively. Conversely, these biomarkers were positively correlated with albumin-to-creatinine ratio (ACR), with correlation coefficients of 0.56, 0.55, and 0.22, respectively, and with cystatin C levels, with correlation coefficients of 0.17, 0.23, and 0.07, respectively. ROC curve analysis showed that combining CEA, CA125, and CA199 improves the accuracy in distinguishing DN patients, with an AUC of 0.82 (95% CI: 0.79-0.86, P < 0.001).

Conclusions: This study shows that serum tumor markers (CEA, CA125, and CA199) are strongly linked to the presence of DN in type 2 diabetes patients, providing new insights into their role in DN and suggesting potential prevention strategies.

Clinical trial number: Not applicable.

Abstract Image

Abstract Image

Abstract Image

中国西部2型糖尿病患者血清肿瘤标志物与糖尿病肾病的关系:一项横断面调查
背景:糖尿病肾病(DN)是2型糖尿病(T2DM)常见且严重的微血管并发症。然而,肿瘤标志物在DN中的应用临床研究有限,T2DM患者血清肿瘤标志物与DN的关系尚不清楚。目的:本研究旨在探讨中国西部T2DM患者血清肿瘤生物标志物与DN之间的潜在关联。方法:本横断面研究纳入620例T2DM患者,其中253例合并DN, 367例未合并DN。组间差异分析采用Student’st检验、Mann-Whitney u检验和Pearson’s卡方检验。Logistic回归评估血清肿瘤生物标志物与DN存在之间的关系,Spearman相关分析这些生物标志物与肾损害指标之间的关系。通过受试者工作特征(ROC)曲线分析评价生物标志物的诊断效果。结果:T2DM合并DN患者血清癌胚抗原(CEA)、神经元特异性烯醇酶(NSE)、癌抗原211 (CA211)、癌抗原125 (CA125)、癌抗原199 (CA199)、鳞状细胞癌抗原(SCC)水平显著高于非DN组,血清胃泌素释放肽前(ProGRP)水平低于DN组(P)。本研究表明,血清肿瘤标志物(CEA、CA125和CA199)与2型糖尿病患者DN的存在密切相关,为其在DN中的作用提供了新的见解,并提出了潜在的预防策略。临床试验号:不适用。
本文章由计算机程序翻译,如有差异,请以英文原文为准。
求助全文
约1分钟内获得全文 求助全文
来源期刊
BMC Endocrine Disorders
BMC Endocrine Disorders ENDOCRINOLOGY & METABOLISM-
CiteScore
4.40
自引率
0.00%
发文量
280
审稿时长
>12 weeks
期刊介绍: BMC Endocrine Disorders is an open access, peer-reviewed journal that considers articles on all aspects of the prevention, diagnosis and management of endocrine disorders, as well as related molecular genetics, pathophysiology, and epidemiology.
×
引用
GB/T 7714-2015
复制
MLA
复制
APA
复制
导出至
BibTeX EndNote RefMan NoteFirst NoteExpress
×
提示
您的信息不完整,为了账户安全,请先补充。
现在去补充
×
提示
您因"违规操作"
具体请查看互助需知
我知道了
×
提示
确定
请完成安全验证×
copy
已复制链接
快去分享给好友吧!
我知道了
右上角分享
点击右上角分享
0
联系我们:info@booksci.cn Book学术提供免费学术资源搜索服务,方便国内外学者检索中英文文献。致力于提供最便捷和优质的服务体验。 Copyright © 2023 布克学术 All rights reserved.
京ICP备2023020795号-1
ghs 京公网安备 11010802042870号
Book学术文献互助
Book学术文献互助群
群 号:604180095
Book学术官方微信