Validation of the COAPT risk score in Polish patients undergoing transcatheter edge-to-edge repair of severe, functional mitral regurgitation: a multicenter, observational study.

Karolina Jasińska-Gniadzik, Michał Łomiak, Jerzy Pręgowski, Zbigniew Chmielak, Piotr Kasprzyk, Jan Kasprzyk, Rafał Gałąska, Michał Chmielecki, Miłosz J Jaguszewski, Marcin Fijałkowski, Aleksandra Topolska, Michał Sekuła, Marcin Grabowski, Janusz Kochman, Adam Rdzanek, Piotr Scislo, Agnieszka Kapłon-Cieślicka, Renata Główczyńska, Monika Budnik, Radosław Piątkowski, Łukasz Kołtowski, Arkadiusz Pietrasik, Aleksandra Gąsecka
{"title":"Validation of the COAPT risk score in Polish patients undergoing transcatheter edge-to-edge repair of severe, functional mitral regurgitation: a multicenter, observational study.","authors":"Karolina Jasińska-Gniadzik, Michał Łomiak, Jerzy Pręgowski, Zbigniew Chmielak, Piotr Kasprzyk, Jan Kasprzyk, Rafał Gałąska, Michał Chmielecki, Miłosz J Jaguszewski, Marcin Fijałkowski, Aleksandra Topolska, Michał Sekuła, Marcin Grabowski, Janusz Kochman, Adam Rdzanek, Piotr Scislo, Agnieszka Kapłon-Cieślicka, Renata Główczyńska, Monika Budnik, Radosław Piątkowski, Łukasz Kołtowski, Arkadiusz Pietrasik, Aleksandra Gąsecka","doi":"10.5603/cj.100877","DOIUrl":null,"url":null,"abstract":"<p><strong>Background: </strong>The COAPT risk score, developed based on the COAPT trial, is a tool to predict the risk of death or hospitalization for heart failure (HFH) within two years after transcatheter edge-to-edge repair (TEER) of mitral regurgitation using a MitraClip device. We aimed to validate the Score in a Polish population.</p><p><strong>Methods: </strong>Patients with severe mitral regurgitation who underwent TEER with MitraClip at three cardiology centers in Poland between November 2015 and February 2023 were included. Patients were divided into two groups based on the COAPT trail criteria: COAPT eligible and COAPT non-eligible. Clinical data were collected from medical records and the COAPT risk score was calculated for each patient. Outcomes were collected during the two-year follow-up period. The primary endpoint was a composite of all-cause mortality and HFH at two-year follow-up and evaluated in the overall cohort and separately for COAPT-eligible and -non-eligible patients.</p><p><strong>Results: </strong>A total of 225 patients were included in the study: 134 COAPT eligible (60%) and 91 COAPT non-eligible (40%). Higher COAPT risk score was associated with increased risk of primary endpoint in the overall population and in COAPT-eligible patients. The score demonstrated moderate discrimination (area under curve [AUC] = 0.581) and poor calibration (Hosmer-Lemeshow [HL] p = 0.085) in the overall population, whereas it showed moderate discrimination (AUC = 0.600) and good calibration (HL p = 0.308) in COAPT-eligible patients.</p><p><strong>Conclusions: </strong>In Polish patients fulfilling COAPT criteria, the COAPT risk score has moderate predictive value for post-procedural outcomes. In COAPT non-eligible patients, novel tools are required to predict outcomes.</p>","PeriodicalId":93923,"journal":{"name":"Cardiology journal","volume":"32 3","pages":"258-269"},"PeriodicalIF":0.0000,"publicationDate":"2025-01-01","publicationTypes":"Journal Article","fieldsOfStudy":null,"isOpenAccess":false,"openAccessPdf":"https://www.ncbi.nlm.nih.gov/pmc/articles/PMC12221333/pdf/","citationCount":"0","resultStr":null,"platform":"Semanticscholar","paperid":null,"PeriodicalName":"Cardiology journal","FirstCategoryId":"1085","ListUrlMain":"https://doi.org/10.5603/cj.100877","RegionNum":0,"RegionCategory":null,"ArticlePicture":[],"TitleCN":null,"AbstractTextCN":null,"PMCID":null,"EPubDate":"","PubModel":"","JCR":"","JCRName":"","Score":null,"Total":0}
引用次数: 0

Abstract

Background: The COAPT risk score, developed based on the COAPT trial, is a tool to predict the risk of death or hospitalization for heart failure (HFH) within two years after transcatheter edge-to-edge repair (TEER) of mitral regurgitation using a MitraClip device. We aimed to validate the Score in a Polish population.

Methods: Patients with severe mitral regurgitation who underwent TEER with MitraClip at three cardiology centers in Poland between November 2015 and February 2023 were included. Patients were divided into two groups based on the COAPT trail criteria: COAPT eligible and COAPT non-eligible. Clinical data were collected from medical records and the COAPT risk score was calculated for each patient. Outcomes were collected during the two-year follow-up period. The primary endpoint was a composite of all-cause mortality and HFH at two-year follow-up and evaluated in the overall cohort and separately for COAPT-eligible and -non-eligible patients.

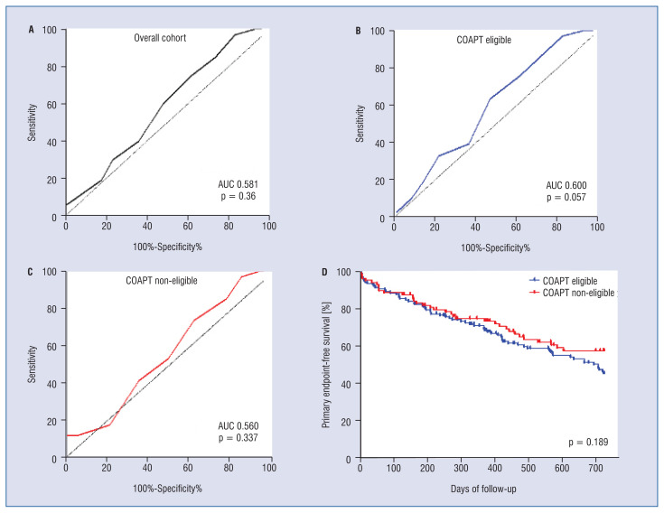
Results: A total of 225 patients were included in the study: 134 COAPT eligible (60%) and 91 COAPT non-eligible (40%). Higher COAPT risk score was associated with increased risk of primary endpoint in the overall population and in COAPT-eligible patients. The score demonstrated moderate discrimination (area under curve [AUC] = 0.581) and poor calibration (Hosmer-Lemeshow [HL] p = 0.085) in the overall population, whereas it showed moderate discrimination (AUC = 0.600) and good calibration (HL p = 0.308) in COAPT-eligible patients.

Conclusions: In Polish patients fulfilling COAPT criteria, the COAPT risk score has moderate predictive value for post-procedural outcomes. In COAPT non-eligible patients, novel tools are required to predict outcomes.

Abstract Image

Abstract Image

Abstract Image

波兰接受经导管边缘到边缘修复严重功能性二尖瓣反流患者COAPT风险评分的验证:一项多中心观察性研究
背景:COAPT风险评分是基于COAPT试验开发的,是一种预测使用MitraClip装置进行二尖瓣瓣边缘修复(TEER)后两年内因心力衰竭(HFH)死亡或住院风险的工具。我们的目标是在波兰人群中验证分数。方法:纳入2015年11月至2023年2月在波兰三个心脏病中心接受MitraClip TEER治疗的严重二尖瓣反流患者。根据COAPT试验标准将患者分为两组:COAPT合格和COAPT不合格。从医疗记录中收集临床数据,并计算每位患者的COAPT风险评分。在两年的随访期间收集结果。主要终点是两年随访时的全因死亡率和HFH的综合,并在整个队列中进行评估,并分别对符合coapt条件和不符合coapt条件的患者进行评估。结果:共纳入225例患者,其中134例符合COAPT条件(60%),91例不符合COAPT条件(40%)。在总体人群和符合COAPT条件的患者中,较高的COAPT风险评分与主要终点风险增加相关。该评分在总体人群中表现为中度区分(曲线下面积[AUC] = 0.581)和较差的校准(Hosmer-Lemeshow [HL] p = 0.085),而在符合coapt条件的患者中表现为中度区分(AUC = 0.600)和较好的校准(HL p = 0.308)。结论:在满足COAPT标准的波兰患者中,COAPT风险评分对术后预后具有中等预测价值。对于不符合COAPT条件的患者,需要新的工具来预测预后。
本文章由计算机程序翻译,如有差异,请以英文原文为准。
求助全文
约1分钟内获得全文 求助全文
来源期刊
自引率
0.00%
发文量
0
×
引用
GB/T 7714-2015
复制
MLA
复制
APA
复制
导出至
BibTeX EndNote RefMan NoteFirst NoteExpress
×
提示
您的信息不完整,为了账户安全,请先补充。
现在去补充
×
提示
您因"违规操作"
具体请查看互助需知
我知道了
×
提示
确定
请完成安全验证×
copy
已复制链接
快去分享给好友吧!
我知道了
右上角分享
点击右上角分享
0
联系我们:info@booksci.cn Book学术提供免费学术资源搜索服务,方便国内外学者检索中英文文献。致力于提供最便捷和优质的服务体验。 Copyright © 2023 布克学术 All rights reserved.
京ICP备2023020795号-1
ghs 京公网安备 11010802042870号
Book学术文献互助
Book学术文献互助群
群 号:604180095
Book学术官方微信