Physiological, cytological, and reproductive hormone characterization of estrus in Pasundan heifers synchronized with double injection of prostaglandin F2α.

IF 2 Q2 AGRICULTURE, DAIRY & ANIMAL SCIENCE
Veterinary World Pub Date : 2025-05-01 Epub Date: 2025-05-31 DOI:10.14202/vetworld.2025.1357-1364
Rini Widyastuti, Nena Hilmia, Diky Ramdani, Rahmat Hidayat, Iman Hernaman, Andre Rivanda Daud, Ken Ratu Ghazirah Alhuur, Matni Syifa Bayani, Rangga Setiawan, Sigit Prastowo, Santoso Santoso, Vidi Wulandari
{"title":"Physiological, cytological, and reproductive hormone characterization of estrus in Pasundan heifers synchronized with double injection of prostaglandin F2α.","authors":"Rini Widyastuti, Nena Hilmia, Diky Ramdani, Rahmat Hidayat, Iman Hernaman, Andre Rivanda Daud, Ken Ratu Ghazirah Alhuur, Matni Syifa Bayani, Rangga Setiawan, Sigit Prastowo, Santoso Santoso, Vidi Wulandari","doi":"10.14202/vetworld.2025.1357-1364","DOIUrl":null,"url":null,"abstract":"<p><strong>Background and aim: </strong>Pasundan cattle, a native Indonesian breed with valuable reproductive traits, face population decline due to limited conservation efforts. Estrus synchronization using prostaglandin F2α (PGF2α) is a viable strategy to support genetic improvement and sustainable breeding. This study aimed to evaluate the physiological, cytological, and hormonal responses associated with estrus synchronization in Pasundan heifers following a double-injection protocol of PGF2α.</p><p><strong>Materials and methods: </strong>Eighteen healthy Pasundan heifers (2.0-2.5 years old; body condition score 3) received two intramuscular PGF2α injections 11 days apart. Estrus signs were assessed through vulva morphology, cervical mucus viscosity, and vaginal electrical resistance (VER) on days 0, 4, 5, 11-15. Vaginal cytology was conducted to classify epithelial cells, and blood samples were analyzed for follicle-stimulating hormone (FSH), progesterone, and estradiol through enzyme-linked immunosorbent assay. Data were analyzed using one-way analysis of variance with Tukey's <i>post hoc</i> test (p < 0.05).</p><p><strong>Results: </strong>The peak estrus response occurred on day 14 post-initial injection, marked by maximal vulvar swelling (7.27 ± 1.15 cm), highest mucus viscosity (14.9 ± 3.00 mm), and lowest VER (198.67 ± 29.61 Ohms). Cytologically, superficial and keratinized epithelial cells dominated (64.22%), indicating estrus. Hormonal assays revealed elevated FSH (5.08 mIU/mL) and estradiol (0.214 pg/mL), alongside a nadir in progesterone (0.162 ng/mL). Estrus was observed in 88.89% of heifers on day 14.</p><p><strong>Conclusion: </strong>Double-injection PGF2α effectively synchronized estrus in Pasundan heifers, with day 14 being optimal for fixed-time artificial insemination (FTAI). The synchronization protocol demonstrated clear correlations between physical, cytological, and hormonal parameters. This protocol provides a reliable basis for reproductive management in Pasundan cattle, facilitating conservation and productivity. Future studies should assess conception outcomes post-FTAI to validate long-term reproductive efficiency.</p>","PeriodicalId":23587,"journal":{"name":"Veterinary World","volume":"18 5","pages":"1357-1364"},"PeriodicalIF":2.0000,"publicationDate":"2025-05-01","publicationTypes":"Journal Article","fieldsOfStudy":null,"isOpenAccess":false,"openAccessPdf":"https://www.ncbi.nlm.nih.gov/pmc/articles/PMC12205253/pdf/","citationCount":"0","resultStr":null,"platform":"Semanticscholar","paperid":null,"PeriodicalName":"Veterinary World","FirstCategoryId":"1085","ListUrlMain":"https://doi.org/10.14202/vetworld.2025.1357-1364","RegionNum":0,"RegionCategory":null,"ArticlePicture":[],"TitleCN":null,"AbstractTextCN":null,"PMCID":null,"EPubDate":"2025/5/31 0:00:00","PubModel":"Epub","JCR":"Q2","JCRName":"AGRICULTURE, DAIRY & ANIMAL SCIENCE","Score":null,"Total":0}
引用次数: 0

Abstract

Background and aim: Pasundan cattle, a native Indonesian breed with valuable reproductive traits, face population decline due to limited conservation efforts. Estrus synchronization using prostaglandin F2α (PGF2α) is a viable strategy to support genetic improvement and sustainable breeding. This study aimed to evaluate the physiological, cytological, and hormonal responses associated with estrus synchronization in Pasundan heifers following a double-injection protocol of PGF2α.

Materials and methods: Eighteen healthy Pasundan heifers (2.0-2.5 years old; body condition score 3) received two intramuscular PGF2α injections 11 days apart. Estrus signs were assessed through vulva morphology, cervical mucus viscosity, and vaginal electrical resistance (VER) on days 0, 4, 5, 11-15. Vaginal cytology was conducted to classify epithelial cells, and blood samples were analyzed for follicle-stimulating hormone (FSH), progesterone, and estradiol through enzyme-linked immunosorbent assay. Data were analyzed using one-way analysis of variance with Tukey's post hoc test (p < 0.05).

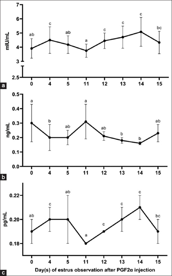
Results: The peak estrus response occurred on day 14 post-initial injection, marked by maximal vulvar swelling (7.27 ± 1.15 cm), highest mucus viscosity (14.9 ± 3.00 mm), and lowest VER (198.67 ± 29.61 Ohms). Cytologically, superficial and keratinized epithelial cells dominated (64.22%), indicating estrus. Hormonal assays revealed elevated FSH (5.08 mIU/mL) and estradiol (0.214 pg/mL), alongside a nadir in progesterone (0.162 ng/mL). Estrus was observed in 88.89% of heifers on day 14.

Conclusion: Double-injection PGF2α effectively synchronized estrus in Pasundan heifers, with day 14 being optimal for fixed-time artificial insemination (FTAI). The synchronization protocol demonstrated clear correlations between physical, cytological, and hormonal parameters. This protocol provides a reliable basis for reproductive management in Pasundan cattle, facilitating conservation and productivity. Future studies should assess conception outcomes post-FTAI to validate long-term reproductive efficiency.

Abstract Image

Abstract Image

Abstract Image

双注射前列腺素F2α对帕桑丹小母牛发情的生理、细胞学和生殖激素的影响。
背景与目的:巴桑丹牛是印尼本土的一种具有重要生殖性状的牛,由于保护措施有限,巴桑丹牛的数量正在下降。利用前列腺素F2α (PGF2α)同步发情是支持遗传改良和可持续育种的可行策略。本研究旨在评估帕桑丹母牛在双注射PGF2α后与发情同步相关的生理、细胞学和激素反应。材料与方法:18头健康巴桑丹小母牛(2.0 ~ 2.5岁);体状况评分3)分别于11 d肌内注射2次PGF2α。于第0、4、5、11-15天通过外阴形态学、宫颈黏液黏度、阴道电阻(VER)评估发情体征。阴道细胞学对上皮细胞进行分类,并通过酶联免疫吸附法分析血液样本中促卵泡激素(FSH)、孕酮和雌二醇的含量。资料分析采用单因素方差分析,采用Tukey事后检验(p < 0.05)。结果:发情反应高峰出现在注射后第14天,外阴肿胀最大(7.27±1.15 cm),粘液黏度最高(14.9±3.00 mm), VER最低(198.67±29.61欧姆)。细胞学上,浅表上皮细胞和角化上皮细胞占多数(64.22%),表明发情。激素检测显示卵泡刺激素(5.08 mIU/mL)和雌二醇(0.214 pg/mL)升高,孕酮最低(0.162 ng/mL)。88.89%的小母牛在第14天发情。结论:双注射PGF2α能有效同步帕桑丹母牛的发情,第14天为定时人工授精(FTAI)的最佳时间。同步方案显示了物理、细胞学和激素参数之间的明确相关性。该议定书为巴桑丹牛的生殖管理提供了可靠的基础,促进了保护和生产力。未来的研究应评估ftai后的受孕结果,以验证长期生殖效率。
本文章由计算机程序翻译,如有差异,请以英文原文为准。
求助全文
约1分钟内获得全文 求助全文
来源期刊
Veterinary World
Veterinary World Multiple-
CiteScore
3.60
自引率
12.50%
发文量
317
审稿时长
16 weeks
期刊介绍: Veterinary World publishes high quality papers focusing on Veterinary and Animal Science. The fields of study are bacteriology, parasitology, pathology, virology, immunology, mycology, public health, biotechnology, meat science, fish diseases, nutrition, gynecology, genetics, wildlife, laboratory animals, animal models of human infections, prion diseases and epidemiology. Studies on zoonotic and emerging infections are highly appreciated. Review articles are highly appreciated. All articles published by Veterinary World are made freely and permanently accessible online. All articles to Veterinary World are posted online immediately as they are ready for publication.
×
引用
GB/T 7714-2015
复制
MLA
复制
APA
复制
导出至
BibTeX EndNote RefMan NoteFirst NoteExpress
×
提示
您的信息不完整,为了账户安全,请先补充。
现在去补充
×
提示
您因"违规操作"
具体请查看互助需知
我知道了
×
提示
确定
请完成安全验证×
copy
已复制链接
快去分享给好友吧!
我知道了
右上角分享
点击右上角分享
0
联系我们:info@booksci.cn Book学术提供免费学术资源搜索服务,方便国内外学者检索中英文文献。致力于提供最便捷和优质的服务体验。 Copyright © 2023 布克学术 All rights reserved.
京ICP备2023020795号-1
ghs 京公网安备 11010802042870号
Book学术文献互助
Book学术文献互助群
群 号:604180095
Book学术官方微信