Acute Cardiovascular Changes Following Cerebral Ischemia in a Non-human Primate Thromboembolic Stroke Model.

IF 1.8 4区 医学 Q3 MEDICINE, RESEARCH & EXPERIMENTAL
In vivo Pub Date : 2025-07-01 DOI:10.21873/invivo.13996
Tetsuya Yoshikawa, Yuki Akiyoshi, Tsuyoshi Uchino, Hiroaki Kawaguchi
{"title":"Acute Cardiovascular Changes Following Cerebral Ischemia in a Non-human Primate Thromboembolic Stroke Model.","authors":"Tetsuya Yoshikawa, Yuki Akiyoshi, Tsuyoshi Uchino, Hiroaki Kawaguchi","doi":"10.21873/invivo.13996","DOIUrl":null,"url":null,"abstract":"<p><strong>Background/aim: </strong>Acute cardiovascular changes following cerebral ischemia are significant contributors to stroke-related mortality, yet their mechanisms remain poorly understood. This study investigated cardiovascular responses in a cynomolgus monkey thromboembolic stroke model.</p><p><strong>Materials and methods: </strong>A thromboembolic stroke model was induced in eight male animals (aged 4 to 6 years) by occlusion of the left middle cerebral artery with an autologous blood clod. Arterial blood pressure, heart rate, respiratory rate, and body temperature were continuously monitored in conscious, free-moving animals for 24 h post-embolization using a telemetry system.</p><p><strong>Results: </strong>Blood pressure, heart rate, and respiratory rate significantly increased following embolization and these increases persisted for 24 h. Circadian rhythm disruption was suggested by elevated nighttime respiratory rate and body temperature. Three moribund animals exhibited higher blood pressure, heart rate, and respiratory rate compared to five non-moribund animals, along with a drop in body temperature in the hours before death. Electrocardiographic analysis revealed no major abnormalities in non-moribund animals, but the moribund animals showed arrhythmias and ST-segment elevation before death.</p><p><strong>Conclusion: </strong>These cardiovascular changes closely resemble those observed in stroke-heart syndrome in humans, highlighting the relevance of this non-human primate model in studying acute cardiovascular complications following cerebral ischemia. This model could be applied in the development of therapies for managing post-stroke cardiovascular events.</p>","PeriodicalId":13364,"journal":{"name":"In vivo","volume":"39 4","pages":"1992-2003"},"PeriodicalIF":1.8000,"publicationDate":"2025-07-01","publicationTypes":"Journal Article","fieldsOfStudy":null,"isOpenAccess":false,"openAccessPdf":"https://www.ncbi.nlm.nih.gov/pmc/articles/PMC12223606/pdf/","citationCount":"0","resultStr":null,"platform":"Semanticscholar","paperid":null,"PeriodicalName":"In vivo","FirstCategoryId":"3","ListUrlMain":"https://doi.org/10.21873/invivo.13996","RegionNum":4,"RegionCategory":"医学","ArticlePicture":[],"TitleCN":null,"AbstractTextCN":null,"PMCID":null,"EPubDate":"","PubModel":"","JCR":"Q3","JCRName":"MEDICINE, RESEARCH & EXPERIMENTAL","Score":null,"Total":0}
引用次数: 0

Abstract

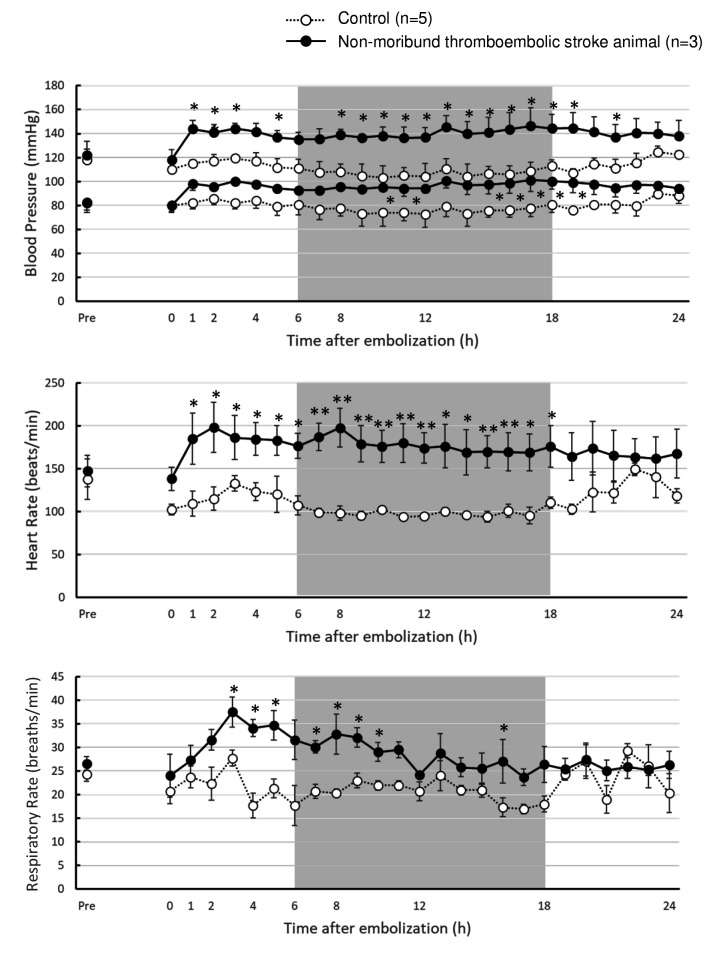
Background/aim: Acute cardiovascular changes following cerebral ischemia are significant contributors to stroke-related mortality, yet their mechanisms remain poorly understood. This study investigated cardiovascular responses in a cynomolgus monkey thromboembolic stroke model.

Materials and methods: A thromboembolic stroke model was induced in eight male animals (aged 4 to 6 years) by occlusion of the left middle cerebral artery with an autologous blood clod. Arterial blood pressure, heart rate, respiratory rate, and body temperature were continuously monitored in conscious, free-moving animals for 24 h post-embolization using a telemetry system.

Results: Blood pressure, heart rate, and respiratory rate significantly increased following embolization and these increases persisted for 24 h. Circadian rhythm disruption was suggested by elevated nighttime respiratory rate and body temperature. Three moribund animals exhibited higher blood pressure, heart rate, and respiratory rate compared to five non-moribund animals, along with a drop in body temperature in the hours before death. Electrocardiographic analysis revealed no major abnormalities in non-moribund animals, but the moribund animals showed arrhythmias and ST-segment elevation before death.

Conclusion: These cardiovascular changes closely resemble those observed in stroke-heart syndrome in humans, highlighting the relevance of this non-human primate model in studying acute cardiovascular complications following cerebral ischemia. This model could be applied in the development of therapies for managing post-stroke cardiovascular events.

Abstract Image

Abstract Image

Abstract Image

非人类灵长类动物血栓栓塞性脑卒中模型脑缺血后的急性心血管变化。
背景/目的:脑缺血后急性心血管改变是卒中相关死亡率的重要因素,但其机制尚不清楚。本研究探讨了食蟹猴血栓栓塞性中风模型的心血管反应。材料与方法:采用自体血凝块阻断大脑左中动脉,建立8只4 ~ 6岁雄性大鼠血栓栓塞性脑卒中模型。栓塞后24小时,使用遥测系统连续监测有意识、自由活动的动物的动脉血压、心率、呼吸频率和体温。结果:栓塞后血压、心率和呼吸频率显著升高,并持续24小时。夜间呼吸频率和体温升高提示昼夜节律紊乱。与5只未死亡的动物相比,3只濒临死亡的动物表现出更高的血压、心率和呼吸频率,并在死亡前数小时内体温下降。非死亡动物的心电图分析未发现重大异常,但死亡动物在死亡前出现心律失常和st段抬高。结论:这些心血管变化与人类卒中-心脏综合征非常相似,强调了这种非人类灵长类动物模型在研究脑缺血后急性心血管并发症中的相关性。该模型可应用于卒中后心血管事件治疗的开发。
本文章由计算机程序翻译,如有差异,请以英文原文为准。
求助全文
约1分钟内获得全文 求助全文
来源期刊
In vivo
In vivo 医学-医学:研究与实验
CiteScore
4.20
自引率
4.30%
发文量
330
审稿时长
3-8 weeks
期刊介绍: IN VIVO is an international peer-reviewed journal designed to bring together original high quality works and reviews on experimental and clinical biomedical research within the frames of physiology, pathology and disease management. The topics of IN VIVO include: 1. Experimental development and application of new diagnostic and therapeutic procedures; 2. Pharmacological and toxicological evaluation of new drugs, drug combinations and drug delivery systems; 3. Clinical trials; 4. Development and characterization of models of biomedical research; 5. Cancer diagnosis and treatment; 6. Immunotherapy and vaccines; 7. Radiotherapy, Imaging; 8. Tissue engineering, Regenerative medicine; 9. Carcinogenesis.
×
引用
GB/T 7714-2015
复制
MLA
复制
APA
复制
导出至
BibTeX EndNote RefMan NoteFirst NoteExpress
×
提示
您的信息不完整,为了账户安全,请先补充。
现在去补充
×
提示
您因"违规操作"
具体请查看互助需知
我知道了
×
提示
确定
请完成安全验证×
copy
已复制链接
快去分享给好友吧!
我知道了
右上角分享
点击右上角分享
0
联系我们:info@booksci.cn Book学术提供免费学术资源搜索服务,方便国内外学者检索中英文文献。致力于提供最便捷和优质的服务体验。 Copyright © 2023 布克学术 All rights reserved.
京ICP备2023020795号-1
ghs 京公网安备 11010802042870号
Book学术文献互助
Book学术文献互助群
群 号:604180095
Book学术官方微信