Assessing individual physiological variability and future performance phenotypes is essential for predicting the resilience of fish populations to anthropogenic climate change.

IF 2.5 3区 环境科学与生态学 Q2 BIODIVERSITY CONSERVATION
Conservation Physiology Pub Date : 2025-06-24 eCollection Date: 2025-01-01 DOI:10.1093/conphys/coaf043
Lauren A Bailey, Amber Robyn Childs, Nicola C James, Murray I Duncan, Brett A Pringle, Warren M Potts
{"title":"Assessing individual physiological variability and future performance phenotypes is essential for predicting the resilience of fish populations to anthropogenic climate change.","authors":"Lauren A Bailey, Amber Robyn Childs, Nicola C James, Murray I Duncan, Brett A Pringle, Warren M Potts","doi":"10.1093/conphys/coaf043","DOIUrl":null,"url":null,"abstract":"<p><p>Changes in ocean temperature are expected to have a considerable effect on fishes through the impact of temperature on physiological performance, vital energetic processes (i.e. metabolism, foraging and swimming style) and reproductive fitness. To understand the sensitivity of an exploited population of <i>Chrysoblephus laticeps</i> in to temperature variability, intermittent-flow respirometry was used to quantify and compare changes in metabolic rate and aerobic scope under different temperatures (10, 16, 21 and 24°C) mimicking thermal variations experienced in the home range of this species. A total performance score was developed to represent aerobic performance across the range of test temperatures. This score was calculated for each temperature from the lower (25%), mid (50%) and upper (75%) percentiles of the aerobic scope range available for the species. The results of this study identified heterogeneity in physiological performance phenotypes amongst individuals of the exploited population. There was significant variation in the aerobic performance of high, intermediate and low performers at higher temperatures. However, differences in performance were not significant at low temperatures, where several intermediate performers maintained high performance. High performers maintained high rates of physiological performance across a broad range of temperatures, whereas low performers were physiologically limited outside of their optimal thermal range. These results suggest that individuals with a broad aerobic scope (i.e. high aerobic scope (AS) values across a range of temperatures) may likely be the most resilient to short-term thermal variability caused by marine heat waves and upwelling events in temperate coastal environments. Since the shape of thermal performance curves differs between individuals and reflects the range at which individuals can function above specified performance thresholds, individual thermal performance must be measured repeatedly in the same individual over a thermal gradient. An understanding of physiological phenotypic diversity amongst individuals is critical to understand the impacts of thermal variability on fished populations.</p>","PeriodicalId":54331,"journal":{"name":"Conservation Physiology","volume":"13 1","pages":"coaf043"},"PeriodicalIF":2.5000,"publicationDate":"2025-06-24","publicationTypes":"Journal Article","fieldsOfStudy":null,"isOpenAccess":false,"openAccessPdf":"https://www.ncbi.nlm.nih.gov/pmc/articles/PMC12187193/pdf/","citationCount":"0","resultStr":null,"platform":"Semanticscholar","paperid":null,"PeriodicalName":"Conservation Physiology","FirstCategoryId":"93","ListUrlMain":"https://doi.org/10.1093/conphys/coaf043","RegionNum":3,"RegionCategory":"环境科学与生态学","ArticlePicture":[],"TitleCN":null,"AbstractTextCN":null,"PMCID":null,"EPubDate":"2025/1/1 0:00:00","PubModel":"eCollection","JCR":"Q2","JCRName":"BIODIVERSITY CONSERVATION","Score":null,"Total":0}
引用次数: 0

Abstract

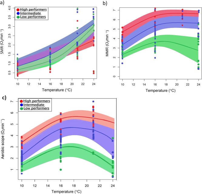
Changes in ocean temperature are expected to have a considerable effect on fishes through the impact of temperature on physiological performance, vital energetic processes (i.e. metabolism, foraging and swimming style) and reproductive fitness. To understand the sensitivity of an exploited population of Chrysoblephus laticeps in to temperature variability, intermittent-flow respirometry was used to quantify and compare changes in metabolic rate and aerobic scope under different temperatures (10, 16, 21 and 24°C) mimicking thermal variations experienced in the home range of this species. A total performance score was developed to represent aerobic performance across the range of test temperatures. This score was calculated for each temperature from the lower (25%), mid (50%) and upper (75%) percentiles of the aerobic scope range available for the species. The results of this study identified heterogeneity in physiological performance phenotypes amongst individuals of the exploited population. There was significant variation in the aerobic performance of high, intermediate and low performers at higher temperatures. However, differences in performance were not significant at low temperatures, where several intermediate performers maintained high performance. High performers maintained high rates of physiological performance across a broad range of temperatures, whereas low performers were physiologically limited outside of their optimal thermal range. These results suggest that individuals with a broad aerobic scope (i.e. high aerobic scope (AS) values across a range of temperatures) may likely be the most resilient to short-term thermal variability caused by marine heat waves and upwelling events in temperate coastal environments. Since the shape of thermal performance curves differs between individuals and reflects the range at which individuals can function above specified performance thresholds, individual thermal performance must be measured repeatedly in the same individual over a thermal gradient. An understanding of physiological phenotypic diversity amongst individuals is critical to understand the impacts of thermal variability on fished populations.

Abstract Image

Abstract Image

Abstract Image

评估个体生理变异和未来性能表型对于预测鱼类种群对人为气候变化的适应能力至关重要。
海洋温度的变化预计会对鱼类的生理性能、重要的能量过程(即新陈代谢、觅食和游泳方式)和生殖适应性产生相当大的影响。为了了解一个被开发的黄颡鱼种群对温度变化的敏感性,我们使用间歇流呼吸法来量化和比较不同温度(10、16、21和24°C)下代谢率和有氧范围的变化,模拟该物种栖息地的温度变化。开发了一个总性能分数来表示在测试温度范围内的有氧性能。这个分数是从该物种可用的有氧范围范围的低(25%)、中(50%)和高(75%)百分位数中计算每个温度。本研究的结果确定了被剥削群体个体之间生理表现表型的异质性。在较高温度下,高、中、低表现者的有氧表现有显著差异。然而,在低温下,性能差异并不显著,在低温下,几个中间表演者保持了高性能。表现优异的动物在很宽的温度范围内都能保持较高的生理表现,而表现不佳的动物在最佳温度范围外的生理表现受到限制。这些结果表明,在温带沿海环境中,有氧范围宽(即在温度范围内有氧范围(AS)值高)的个体可能对海洋热浪和上升流事件引起的短期热变化最有弹性。由于热性能曲线的形状在个体之间是不同的,并且反映了个体在高于规定性能阈值的范围,因此必须在一个热梯度上对同一个体重复测量个体热性能。了解个体之间的生理表型多样性对于理解热变异性对鱼类种群的影响至关重要。
本文章由计算机程序翻译,如有差异,请以英文原文为准。
求助全文
约1分钟内获得全文 求助全文
来源期刊
Conservation Physiology
Conservation Physiology Environmental Science-Management, Monitoring, Policy and Law
CiteScore
5.10
自引率
3.70%
发文量
71
审稿时长
11 weeks
期刊介绍: Conservation Physiology is an online only, fully open access journal published on behalf of the Society for Experimental Biology. Biodiversity across the globe faces a growing number of threats associated with human activities. Conservation Physiology will publish research on all taxa (microbes, plants and animals) focused on understanding and predicting how organisms, populations, ecosystems and natural resources respond to environmental change and stressors. Physiology is considered in the broadest possible terms to include functional and mechanistic responses at all scales. We also welcome research towards developing and refining strategies to rebuild populations, restore ecosystems, inform conservation policy, and manage living resources. We define conservation physiology broadly and encourage potential authors to contact the editorial team if they have any questions regarding the remit of the journal.
×
引用
GB/T 7714-2015
复制
MLA
复制
APA
复制
导出至
BibTeX EndNote RefMan NoteFirst NoteExpress
×
提示
您的信息不完整,为了账户安全,请先补充。
现在去补充
×
提示
您因"违规操作"
具体请查看互助需知
我知道了
×
提示
确定
请完成安全验证×
copy
已复制链接
快去分享给好友吧!
我知道了
右上角分享
点击右上角分享
0
联系我们:info@booksci.cn Book学术提供免费学术资源搜索服务,方便国内外学者检索中英文文献。致力于提供最便捷和优质的服务体验。 Copyright © 2023 布克学术 All rights reserved.
京ICP备2023020795号-1
ghs 京公网安备 11010802042870号
Book学术文献互助
Book学术文献互助群
群 号:604180095
Book学术官方微信